HOME  TOP  END

 江沢洋著 「現代物理学」 朝倉書店(1996年)

第 1章 力学的な世界観
第 2章 電磁場と光
第 3章 相対性理論(1)
    1.運動の相対性と電磁現象
    2.マイケルソン・モーリーの実験
    3.ローレンツ短縮
    4.ローレンツの電子論
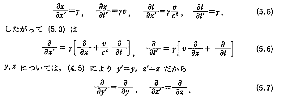
    5.マックスウェル方程式のローレンツ変換
    6.偏微分の変数変換
    7.演習問題
第 4章 相対性理論(2)
第 5章 原子論の発展
第 6章 電子とその役割
第 7章 放射能の発見と原子核
第 8章 量子の発見
第 9章 前期量子論
第10章 量子力学の誕生
第11章 観測の理論
第12章 角運動量の量子力学
第13章 原子の構造
第14章 エネルギー準位と物質の構造
第15章 素粒子

HOME  TOP 1.運動の相対性と電磁現象 2.マイケルソン・モーリーの実験 3.ローレンツ短縮 4.ローレンツの電子論 5.マックスウェル方程式のローレンツ変換 6.偏微分の変数変換 7.演習問題 END


HOME  TOP 1.運動の相対性と電磁現象 2.マイケルソン・モーリーの実験 3.ローレンツ短縮 4.ローレンツの電子論 5.マックスウェル方程式のローレンツ変換 6.偏微分の変数変換 7.演習問題 END





 「マイケルソン・モーリーの実験(1887年)」を参照。






 ここは、別稿「マイケルソン・モーリーの実験(1887年)」fig4-06.GIFを参照されたし。

HOME  TOP 1.運動の相対性と電磁現象 2.マイケルソン・モーリーの実験 3.ローレンツ短縮 4.ローレンツの電子論 5.マックスウェル方程式のローレンツ変換 6.偏微分の変数変換 7.演習問題 END


HOME  TOP 1.運動の相対性と電磁現象 2.マイケルソン・モーリーの実験 3.ローレンツ短縮 4.ローレンツの電子論 5.マックスウェル方程式のローレンツ変換 6.偏微分の変数変換 7.演習問題 END









HOME  TOP 1.運動の相対性と電磁現象 2.マイケルソン・モーリーの実験 3.ローレンツ短縮 4.ローレンツの電子論 5.マックスウェル方程式のローレンツ変換 6.偏微分の変数変換 7.演習問題 END

 マクスウェル方程式のローレンツ変換に付いては、別稿「アインシュタインの特殊相対性理論(1905年)」3.(1) や 別稿「Maxwell方程式系の先見性と電磁ポテンシャル(ローレンツゲージ Lorenz gauge の由来)」3. などを参照されたし。








HOME  TOP 1.運動の相対性と電磁現象 2.マイケルソン・モーリーの実験 3.ローレンツ短縮 4.ローレンツの電子論 5.マックスウェル方程式のローレンツ変換 6.偏微分の変数変換 7.演習問題 END




HOME  TOP 1.運動の相対性と電磁現象 2.マイケルソン・モーリーの実験 3.ローレンツ短縮 4.ローレンツの電子論 5.マックスウェル方程式のローレンツ変換 6.偏微分の変数変換 7.演習問題 END

3-7-01

3-7-02

3-8

HOME  TOP 1.運動の相対性と電磁現象 2.マイケルソン・モーリーの実験 3.ローレンツ短縮 4.ローレンツの電子論 5.マックスウェル方程式のローレンツ変換 6.偏微分の変数変換 7.演習問題 END