HOME  TOP  END

 江沢洋著 「現代物理学」 朝倉書店(1996年)

第 1章 力学的な世界観
第 2章 電磁場と光
第 3章 相対性理論(1)
第 4章 相対性理論(2)
第 5章 原子論の発展
第 6章 電子とその役割
第 7章 放射能の発見と原子核
第 8章 量子の発見
第 9章 前期量子論
第10章 量子力学の誕生
第11章 観測の理論
    1.観測量
        1-1.位置と運動量  1-2.非可換性
    2.状態と観測
        2-1.測定値とその確率  2-2.確率とは何か  2-3.状態ベクトルの射影  2-4.平均値の公式
    3.波束の収縮
        3-1.非因果的収縮  3-2.超光速?  3-3.粒子と波
    4.不確定性関係
        4-1.分散と標準偏差  4-2.不確定性  4-3.量子力学的状態
    5.位置の固有状態
    6.スピン
        6-1.コマの首振り運動  6-2.スピン角運動量の演算子  6-3.行列の算法
        6-4.スピンの大きさ  6-5.スピンの状態ベクトル  6-6.s2とszの固有状態
        6-7.スピンの首振り  6-8.斜め向きのスピン
    7.二つのスピンからなる系
        7-1.状態ベクトル  7-2.首を曲げて見る
    8.EPRのパラドックス
        8-1.攪乱なしの観測  8-2.遠隔作用的な相関  8-3.観測−偏光の相関
    9.演習問題
第12章 角運動量の量子力学
第13章 原子の構造
第14章 エネルギー準位と物質の構造
第15章 素粒子


HOME  TOP 1.観測量 2.状態と観測 3.波束の収縮 4.不確定性関係 5.位置の固有状態 6.スピン 7.二つのスピンからなる系 8.EPRのパラドックス 9.演習問題 END


 (10.2.15) はこちらです。§10.4 はこちらです。
11-1-1


 上記の(10.4.9) はこちらです。

 下記の(10.4.6) はこちらです。


 (10.5.1) はこちらです。
11-1-2

HOME  TOP 1.観測量 2.状態と観測 3.波束の収縮 4.不確定性関係 5.位置の固有状態 6.スピン 7.二つのスピンからなる系 8.EPRのパラドックス 9.演習問題 END


 (10.5.17) はこちらです。
11-2-1

11-2-2



11-2-3


 §10.4 はこちらです。




11-2-4

HOME  TOP 1.観測量 2.状態と観測 3.波束の収縮 4.不確定性関係 5.位置の固有状態 6.スピン 7.二つのスピンからなる系 8.EPRのパラドックス 9.演習問題 END


11-3-1



11-3-2
下記ボルンの確率解釈(§10.6)はこちらを参照。




11-3-3








HOME  TOP 1.観測量 2.状態と観測 3.波束の収縮 4.不確定性関係 5.位置の固有状態 6.スピン 7.二つのスピンからなる系 8.EPRのパラドックス 9.演習問題 END


11-4-1

11-4-2





11-4-3

HOME  TOP 1.観測量 2.状態と観測 3.波束の収縮 4.不確定性関係 5.位置の固有状態 6.スピン 7.二つのスピンからなる系 8.EPRのパラドックス 9.演習問題 END




HOME  TOP 1.観測量 2.状態と観測 3.波束の収縮 4.不確定性関係 5.位置の固有状態 6.スピン 7.二つのスピンからなる系 8.EPRのパラドックス 9.演習問題 END


11-6-1






11-6-2



11-6-3





11-6-4


11-6-5




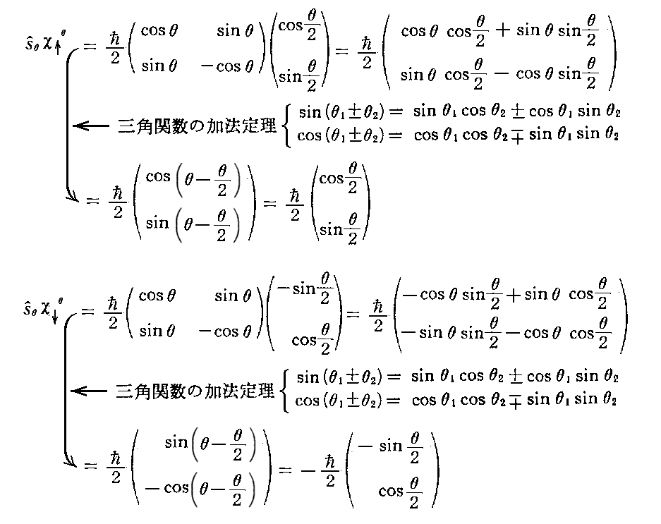
11-6-6






11-6-7










11-6-8





HOME  TOP 1.観測量 2.状態と観測 3.波束の収縮 4.不確定性関係 5.位置の固有状態 6.スピン 7.二つのスピンからなる系 8.EPRのパラドックス 9.演習問題 END


11-7-1







11-7-2


HOME  TOP 1.観測量 2.状態と観測 3.波束の収縮 4.不確定性関係 5.位置の固有状態 6.スピン 7.二つのスピンからなる系 8.EPRのパラドックス 9.演習問題 END


11-8-1



11-8-2


11-8-3








HOME  TOP 1.観測量 2.状態と観測 3.波束の収縮 4.不確定性関係 5.位置の固有状態 6.スピン 7.二つのスピンからなる系 8.EPRのパラドックス 9.演習問題 END


11-X

HOME  TOP 1.観測量 2.状態と観測 3.波束の収縮 4.不確定性関係 5.位置の固有状態 6.スピン 7.二つのスピンからなる系 8.EPRのパラドックス 9.演習問題 END