HOME  TOP  END

 江沢洋著 「現代物理学」 朝倉書店(1996年)

第 1章 力学的な世界観
    1.自然は時計になった
    2.力と運動とを語る言葉
    3.力の法則
    4.ベクトル
    5.速度と加速度の概念
    6.微分法と積分法
    7.運動の法則
    8.単振動
    9.速度ベクトルと加速度ベクトル
    10.運動の法則一般の場合
    11.楕円振動
    12.角運動量の保存
    13.万有引力
    14.因果律
    15.演習問題
第 2章 電磁場と光
第 3章 相対性理論(1)
第 4章 相対性理論(2)
第 5章 原子論の発展
第 6章 電子とその役割
第 7章 放射能の発見と原子核
第 8章 量子の発見
第 9章 前期量子論
第10章 量子力学の誕生
第11章 観測の理論
第12章 角運動量の量子力学
第13章 原子の構造
第14章 エネルギー準位と物質の構造
第15章 素粒子

HOME  TOP 1.自然は時計になった 2.力と運動とを語る言葉 3.力の法則 4.ベクトル 5.速度と加速度の概念 6.微分法と積分法 7.運動の法則 8.単振動 9.速度ベクトルと加速度ベクトル 10.運動の法則一般の場合 11.楕円振動 12.角運動量の保存 13.万有引力 14.因果律 15.演習問題 END


HOME  TOP 1.自然は時計になった 2.力と運動とを語る言葉 3.力の法則 4.ベクトル 5.速度と加速度の概念 6.微分法と積分法 7.運動の法則 8.単振動 9.速度ベクトルと加速度ベクトル 10.運動の法則一般の場合 11.楕円振動 12.角運動量の保存 13.万有引力 14.因果律 15.演習問題 END










 この当たりに付いては、「古典天文学(プトレマイオス、コペルニクス、ケプラー)」4.「二体問題(two body problem)」「プトレマイオス天動説のエカントとコペルニクス地動説の周転円」「楕円軌道とケプラー方程式」、等々を参照されたし。

HOME  TOP 1.自然は時計になった 2.力と運動とを語る言葉 3.力の法則 4.ベクトル 5.速度と加速度の概念 6.微分法と積分法 7.運動の法則 8.単振動 9.速度ベクトルと加速度ベクトル 10.運動の法則一般の場合 11.楕円振動 12.角運動量の保存 13.万有引力 14.因果律 15.演習問題 END






HOME  TOP 1.自然は時計になった 2.力と運動とを語る言葉 3.力の法則 4.ベクトル 5.速度と加速度の概念 6.微分法と積分法 7.運動の法則 8.単振動 9.速度ベクトルと加速度ベクトル 10.運動の法則一般の場合 11.楕円振動 12.角運動量の保存 13.万有引力 14.因果律 15.演習問題 END


HOME  TOP 1.自然は時計になった 2.力と運動とを語る言葉 3.力の法則 4.ベクトル 5.速度と加速度の概念 6.微分法と積分法 7.運動の法則 8.単振動 9.速度ベクトルと加速度ベクトル 10.運動の法則一般の場合 11.楕円振動 12.角運動量の保存 13.万有引力 14.因果律 15.演習問題 END





HOME  TOP 1.自然は時計になった 2.力と運動とを語る言葉 3.力の法則 4.ベクトル 5.速度と加速度の概念 6.微分法と積分法 7.運動の法則 8.単振動 9.速度ベクトルと加速度ベクトル 10.運動の法則一般の場合 11.楕円振動 12.角運動量の保存 13.万有引力 14.因果律 15.演習問題 END

 この当たりに付いては、「運動の法則」3.(2)を参照されたし。























HOME  TOP 1.自然は時計になった 2.力と運動とを語る言葉 3.力の法則 4.ベクトル 5.速度と加速度の概念 6.微分法と積分法 7.運動の法則 8.単振動 9.速度ベクトルと加速度ベクトル 10.運動の法則一般の場合 11.楕円振動 12.角運動量の保存 13.万有引力 14.因果律 15.演習問題 END

 運動の法則に付いては、「運動の法則」参照されたし。










HOME  TOP 1.自然は時計になった 2.力と運動とを語る言葉 3.力の法則 4.ベクトル 5.速度と加速度の概念 6.微分法と積分法 7.運動の法則 8.単振動 9.速度ベクトルと加速度ベクトル 10.運動の法則一般の場合 11.楕円振動 12.角運動量の保存 13.万有引力 14.因果律 15.演習問題 END

 単振動に付いては、「運動の法則」3.(4)を参照されたし。更に、「調和振動子」(自由振動、強制振動、減衰振動、強制減衰振動)を参照されたし。





 エネルギー保存則に付いては、「仕事とエネルギー」「運動の法則、運動量保存則、エネルギー保存則の関係」「エネルギー保存則の証明」、等々を参照されたし。









 三角関数の加法定理に付いては、「三角関数の公式(図的理解)」3.を参照。






 開平のやり方に付いては、「開平、開立の筆算法メカニズム」を参照。




HOME  TOP 1.自然は時計になった 2.力と運動とを語る言葉 3.力の法則 4.ベクトル 5.速度と加速度の概念 6.微分法と積分法 7.運動の法則 8.単振動 9.速度ベクトルと加速度ベクトル 10.運動の法則一般の場合 11.楕円振動 12.角運動量の保存 13.万有引力 14.因果律 15.演習問題 END











HOME  TOP 1.自然は時計になった 2.力と運動とを語る言葉 3.力の法則 4.ベクトル 5.速度と加速度の概念 6.微分法と積分法 7.運動の法則 8.単振動 9.速度ベクトルと加速度ベクトル 10.運動の法則一般の場合 11.楕円振動 12.角運動量の保存 13.万有引力 14.因果律 15.演習問題 END








HOME  TOP 1.自然は時計になった 2.力と運動とを語る言葉 3.力の法則 4.ベクトル 5.速度と加速度の概念 6.微分法と積分法 7.運動の法則 8.単振動 9.速度ベクトルと加速度ベクトル 10.運動の法則一般の場合 11.楕円振動 12.角運動量の保存 13.万有引力 14.因果律 15.演習問題 END

1-11-1
 ここは、「質点の二次元運動(放物運動、楕円運動)」2.も参照されたし。







1-11-2


 ここでは、(11.11)式から(11.12)式が成り立つ事の証明に、“余弦定理”を用いていますが、“余弦定理”そのものの証明は、「ベクトルの内積(スカラー積)と外積(ベクトル積)の成分表示」1.(5)2. [補足説明2]を参照されたし。
 厳密な展開は、「ベクトルの内積(スカラー積)と外積(ベクトル積)の成分表示」1.を参照されたし。ただしそこでは、(11.12)式を内積の定義とし、それから(11.11)式が成り立つ事を証明しています。そして、その応用として“余弦定理”が成り立つ事も証明しています。


HOME  TOP 1.自然は時計になった 2.力と運動とを語る言葉 3.力の法則 4.ベクトル 5.速度と加速度の概念 6.微分法と積分法 7.運動の法則 8.単振動 9.速度ベクトルと加速度ベクトル 10.運動の法則一般の場合 11.楕円振動 12.角運動量の保存 13.万有引力 14.因果律 15.演習問題 END

1-12-1






1-12-2



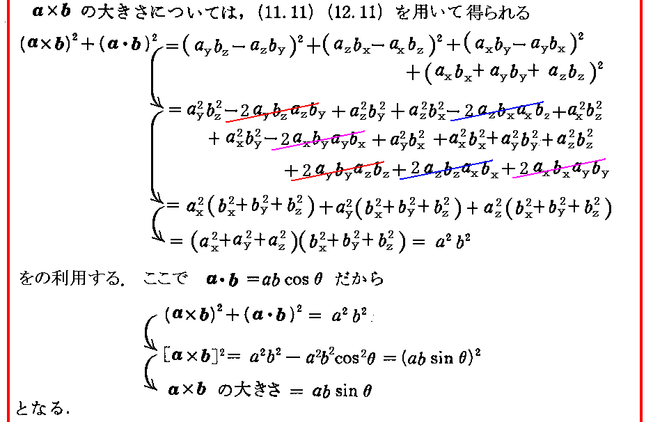
 ここも厳密な展開は、「ベクトルの内積(スカラー積)と外積(ベクトル積)の成分表示」2.を参照されたし。
 ただしそこでは、本稿とは逆に外積(ベクトル積)の定義としてまず上記後半部の(12.11)式を定め、それから(12.12)式が成り立つ事を証明しています。

HOME  TOP 1.自然は時計になった 2.力と運動とを語る言葉 3.力の法則 4.ベクトル 5.速度と加速度の概念 6.微分法と積分法 7.運動の法則 8.単振動 9.速度ベクトルと加速度ベクトル 10.運動の法則一般の場合 11.楕円振動 12.角運動量の保存 13.万有引力 14.因果律 15.演習問題 END








 この当たりは、「古典天文学(プトレマイオス、コペルニクス、ケプラー)」4.(8)3.を参照。このことに付いては、更に「楕円軌道の発見と万有引力の法則(「プリンキピア」の説明)」第T編・第2章・命題4・系6を参照されたし。




 上記の事柄に付いては、「万有引力の法則への補足」を参照されたし。

 この事に付いては、
「レーマーが光速度を計算した方法(1676年)」1.(1)[補足説明2]
『プリンキピア』の第3篇、命題19,20
「回転地球に固定された座標系におけるニール(Neil)の放物線とフーコー(Foucault)の振り子
等々を参照されたし。
1-13-1
 下記の節は、ニュートンの説明「楕円軌道の発見と万有引力の法則(「プリンキピア」の説明)」第T編・第3章・命題11.楕円の焦点が向心力中心のときの向心力法則[問題6]の方が解り易いです。。















1-13-2

HOME  TOP 1.自然は時計になった 2.力と運動とを語る言葉 3.力の法則 4.ベクトル 5.速度と加速度の概念 6.微分法と積分法 7.運動の法則 8.単振動 9.速度ベクトルと加速度ベクトル 10.運動の法則一般の場合 11.楕円振動 12.角運動量の保存 13.万有引力 14.因果律 15.演習問題 END





HOME  TOP 1.自然は時計になった 2.力と運動とを語る言葉 3.力の法則 4.ベクトル 5.速度と加速度の概念 6.微分法と積分法 7.運動の法則 8.単振動 9.速度ベクトルと加速度ベクトル 10.運動の法則一般の場合 11.楕円振動 12.角運動量の保存 13.万有引力 14.因果律 15.演習問題 END

1-15-1

1-15-2

1-15-3

1-15-4

1-15-5

1-15-6

1-16

HOME  TOP 1.自然は時計になった 2.力と運動とを語る言葉 3.力の法則 4.ベクトル 5.速度と加速度の概念 6.微分法と積分法 7.運動の法則 8.単振動 9.速度ベクトルと加速度ベクトル 10.運動の法則一般の場合 11.楕円振動 12.角運動量の保存 13.万有引力 14.因果律 15.演習問題 END