HOME  TOP  END

 江沢洋著 「現代物理学」 朝倉書店(1996年)

第 1章 力学的な世界観
第 2章 電磁場と光
第 3章 相対性理論(1)
第 4章 相対性理論(2)
第 5章 原子論の発展
    1.ギリシアの原子論
    2.錬金術から化学へ
    3.原子質量の比
    4.気体の体積と分子数
    5.気体分子の速さ
    6.気体分子の大きさ
        6-1.拡散係数  6-2.衝突しない確率  6-3.指数関数  6-4.平均自由行路
        6-5.ジグザグ運動  6-6.分子の半径
    7.演習問題
第 6章 電子とその役割
第 7章 放射能の発見と原子核
第 8章 量子の発見
第 9章 前期量子論
第10章 量子力学の誕生
第11章 観測の理論
第12章 角運動量の量子力学
第13章 原子の構造
第14章 エネルギー準位と物質の構造
第15章 素粒子


HOME  TOP 1.ギリシア原子論 2.錬金術→化学 3.原子量 4.分子数 5.分子速度 6.分子大きさ 7.演習問題 END




HOME  TOP 1.ギリシア原子論 2.錬金術→化学 3.原子量 4.分子数 5.分子速度 6.分子大きさ 7.演習問題 END











HOME  TOP 1.ギリシア原子論 2.錬金術→化学 3.原子量 4.分子数 5.分子速度 6.分子大きさ 7.演習問題 END












HOME  TOP 1.ギリシア原子論 2.錬金術→化学 3.原子量 4.分子数 5.分子速度 6.分子大きさ 7.演習問題 END












 上記“気体分子運動論”に付いての クレーニヒ の成果に付いてはこちらを参照。また、クラウジウス の成果に付いてはこちらを参照されたし。

HOME  TOP 1.ギリシア原子論 2.錬金術→化学 3.原子量 4.分子数 5.分子速度 6.分子大きさ 7.演習問題 END


 この内容については、こちらも参照されたし。 これはもともと、
J. P. Joule, “Some Remarks on Heat, and the Constitution of Elastic Fluids”, Mem. Lit. and Phil. Soc. Manchester, [2], 9, p107, 1851年に発表されたものですが、後に Phil. Mag., 14, p211〜216, 1857年
に採録されている。採録版はこちらで引用







 こういったやり方のより解り易い説明は、「音速の理論2(分子速度と比熱比)」1.(1)を御覧ください。

下記の【注意】の正確な説明は「気体の動力学的理論の例示(1860年)」3.(1)[補足説明3を参照。 


 こういったやり方で気体分子の運動速度を求めた人々は沢山います。その歴史的系譜に付いては「音速の理論2(分子速度と比熱比)」3.歴史的概観を御覧ください。
  (1)ダニエル・ベルヌーイ(Daniel Bernoulli 1700〜1782年) 1738年
  (2)ジョン・ヘラパス(John Herapath 1790〜1868年) 1821年
  (3)ジョン・ジェームズ・ウォーターストン(John James Waterston 1811〜1883年) 1845年
  (4)ジェームス・ブレスコット・ジュール(James Prescott Joule 1818〜1889年) 1851年
  (5)アウグスト・カール・クレーニヒ(August Karl Kro¨nig 1822〜1879年) 1856年
  (6)ルドルフ・クラウジウス(Rudolf Julius Emmanuel Clausius, 1822〜1888年) 1857年、1858年

HOME  TOP 1.ギリシア原子論 2.錬金術→化学 3.原子量 4.分子数 5.分子速度 6.分子大きさ 7.演習問題 END


 5.6節の本質は、「音速の理論2(分子速度と比熱比)」1.(2)[補足説明]の説明を御覧ください。
5-6-1




 ロシュミットが気体の粘性から分子の大きさを推定した方法は、別稿「アボガドロ数の測定法」4.を参照されたし。
5-6-2






5-6-3






5-6-4







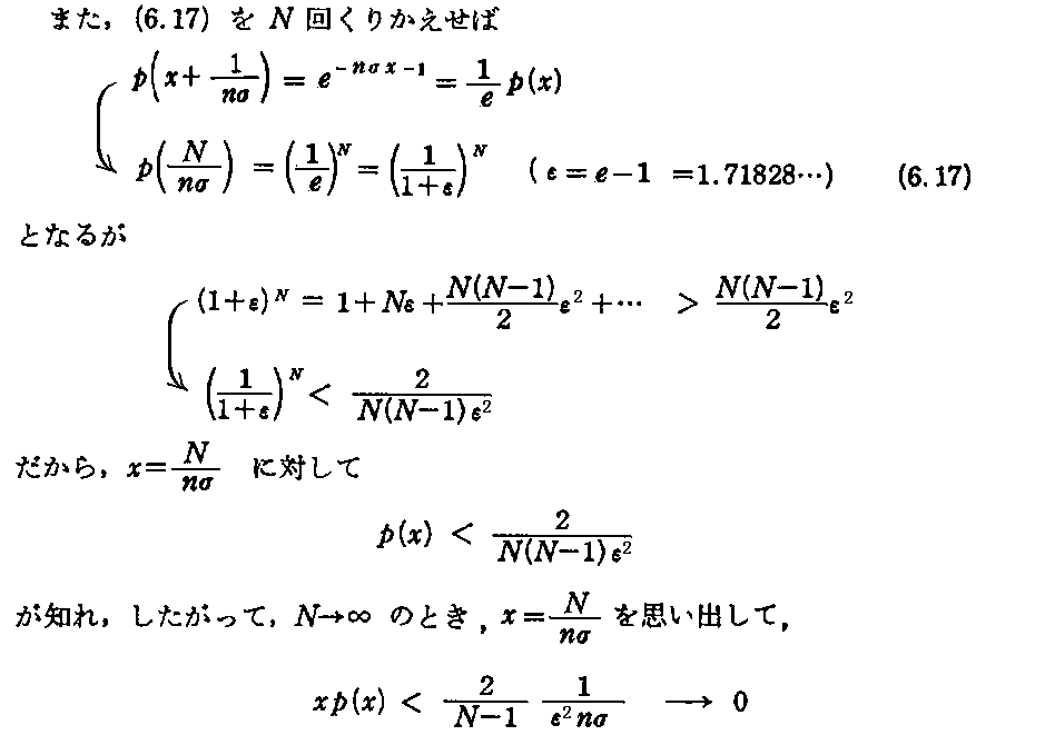
 ここの説明は,平均自由行程の概念を最初に導入した クラウジウスの1858年論文 をトレースしたものです。クラウジウスの原論文も是非参照されたし。

 クラウジウスの考え方をさらに発展させ、“平均自由行程”λ を気体の “粘性係数”・“熱伝導係数”・“拡散係数” と結びつけて λ を求める方法を示したのがJ. C. Maxwellです。
 彼は1860年に、その当たりを含めた気体分子運動論の画期的な論文を発表します。そのことについては別稿“気体の動力学的理論の例示”(1860年)(マクスウェルの速度分布則1) を参照されたし。
 以下の節はその事に付いての説明です。
5-6-5




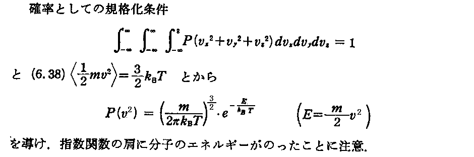
 (5.10)式こちらを参照されたし。
 (6.26)式は別稿「気体の動力学的理論の例示”(1860年)(マクスウェルの速度分布則1)」3.(1)[補足説明1]〜[補足説明3] を参照されたし。

5-6-6












HOME  TOP 1.ギリシア原子論 2.錬金術→化学 3.原子量 4.分子数 5.分子速度 6.分子大きさ 7.演習問題 END

5-7-1



 この問の解答は、別稿「気体の動力学的理論の例示”(1860年)」2.(1) を参照されたし。
5-7-2

 この問の解答は、別稿「気体の動力学的理論の例示”(1860年)」3.(1)[補足説明1]〜[補足説明3] を参照されたし。
5-7-3

5-7-4

5-7-5

5-7-6

5-8

HOME  TOP 1.ギリシア原子論 2.錬金術→化学 3.原子量 4.分子数 5.分子速度 6.分子大きさ 7.演習問題 END