HOME  TOP  END

 江沢洋著 「現代物理学」 朝倉書店(1996年)

第 1章 力学的な世界観
第 2章 電磁場と光
第 3章 相対性理論(1)
第 4章 相対性理論(2)
第 5章 原子論の発展
第 6章 電子とその役割
第 7章 放射能の発見と原子核
第 8章 量子の発見
第 9章 前期量子論
第10章 量子力学の誕生
第11章 観測の理論
第12章 角運動量の量子力学
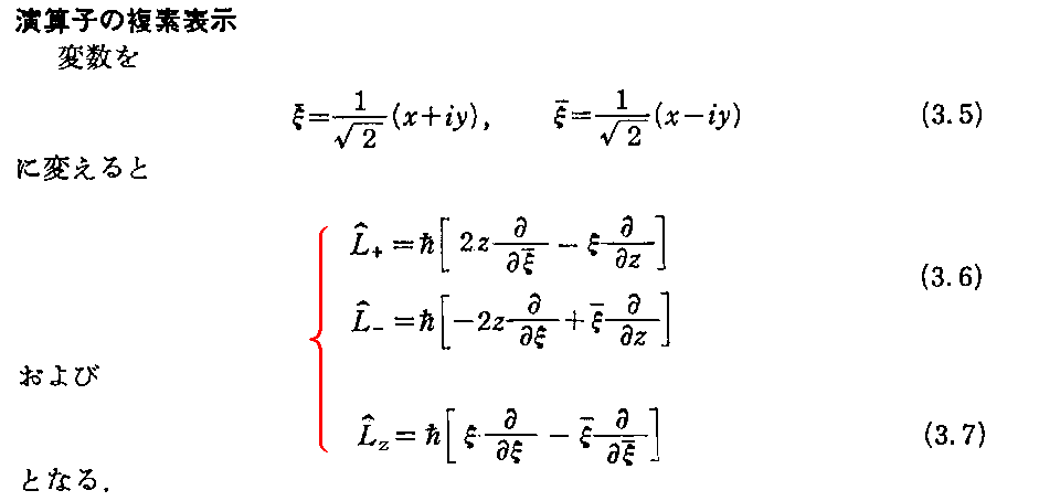
    1.軌道角運動量
        1-1.量子力学への翻訳  1-2.軌道角運動量の演算子
    2.軌道角運動量のs状態とp状態
        2-1.3成分の同時固有状態:s状態  2-2.同時固有状態の条件  2-3.p状態
    3.角運動量の固有状態はとけれだけあるか?
        3-1.上げ・下げ演算子  3-2.z成分が最大の状態  3-3.角運動量の大きさ
    4. rの方向の波動関数
    5.スピンも角運動量の仲間
        5-1.交換関係  5-2.角運動量の和
    6.角運動量の一般論
        6-1.角運動量の固有値  6-2.角運動量の合成
    7.演習問題
第13章 原子の構造
第14章 エネルギー準位と物質の構造
第15章 素粒子

HOME  1.TOP 1.軌道角運動量 2.軌道角運動量のs状態とp状態 3.角運動量の固有状態はとけれだけあるか 4. rの方向の波動関数 5.スピンも角運動量の仲間 6.角運動量の一般論 7.演習問題 END






12-1-1




12-1-2











HOME  1.TOP 1.軌道角運動量 2.軌道角運動量のs状態とp状態 3.角運動量の固有状態はとけれだけあるか 4. rの方向の波動関数 5.スピンも角運動量の仲間 6.角運動量の一般論 7.演習問題 END


12-2-1



12-2-2



12-2-3








HOME  1.TOP 1.軌道角運動量 2.軌道角運動量のs状態とp状態 3.角運動量の固有状態はとけれだけあるか 4. rの方向の波動関数 5.スピンも角運動量の仲間 6.角運動量の一般論 7.演習問題 END


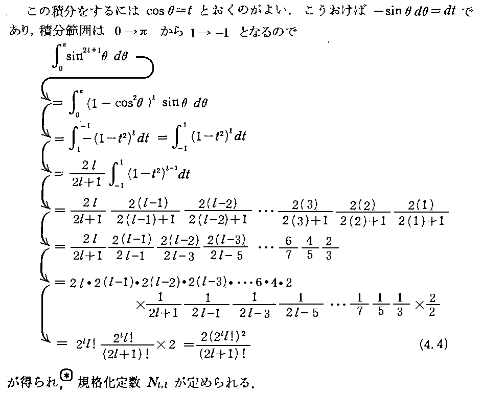
12-3-1



12-3-2

12-3-3






HOME  1.TOP 1.軌道角運動量 2.軌道角運動量のs状態とp状態 3.角運動量の固有状態はとけれだけあるか 4. rの方向の波動関数 5.スピンも角運動量の仲間 6.角運動量の一般論 7.演習問題 END

















HOME  1.TOP 1.軌道角運動量 2.軌道角運動量のs状態とp状態 3.角運動量の固有状態はとけれだけあるか 4. rの方向の波動関数 5.スピンも角運動量の仲間 6.角運動量の一般論 7.演習問題 END


12-5-1





12-5-2

HOME  1.TOP 1.軌道角運動量 2.軌道角運動量のs状態とp状態 3.角運動量の固有状態はとけれだけあるか 4. rの方向の波動関数 5.スピンも角運動量の仲間 6.角運動量の一般論 7.演習問題 END





12-6-1






12-6-2










HOME  1.TOP 1.軌道角運動量 2.軌道角運動量のs状態とp状態 3.角運動量の固有状態はとけれだけあるか 4. rの方向の波動関数 5.スピンも角運動量の仲間 6.角運動量の一般論 7.演習問題 END

12-7-1

12-7-2

12-7-3

12-8

HOME  1.TOP 1.軌道角運動量 2.軌道角運動量のs状態とp状態 3.角運動量の固有状態はとけれだけあるか 4. rの方向の波動関数 5.スピンも角運動量の仲間 6.角運動量の一般論 7.演習問題 END