HOME  .Maxwell  2.電磁Potential(1)導入(2)gauge条件(3)gauge例  3.相対論(1)4元量(2)不変性  4.tensor(1)T場(2)導入(3)変換(4)tensorとは  5.Max方式(1)旧表(2)新表1(3)新表2  6.応力(1)導入(2)スカラー(3)ベクトル(4)テンソル  7.参考文献  フレーム版

Maxwell方程式系の先見性と電磁ポテンシャル
ローレンツゲージ( Lorenz gauge)の由来

1.Maxwellの深謀遠慮

 電磁気学現象を説明するために、J.C.Maxwell は一連の方程式系を見つけます(1865年論文「電磁場の動力学的理論」)。Maxwellの理論は8つの方程式(A)~(H)で表現されていたが、その内の6個(A)~(F)は各々ベクトル成分の三組から成っていたので、式の数は全部で20個あった。方程式系発見の過程については 広重文献1.§10-6Whittaker文献5.第8章 を参照。

 しかし、現在良く知られている電磁場を記述する方程式は、Maxwellが説明している方程式系とは違い4個の偏微分方程式にまとめられています。複雑に絡み合っていたオリジナルの方程式系から、スカラーポテンシャルとベクトルポテンシャルを取り除いて、今日のすっきりした形にととのえたのは、ヘヴィサイド(O.Heaviside)1885年ヘルツ(H.Hertz)1890年です。

 ちなみに、Heinrich Hertzは1890年の偉大な論文、Go¨ttinger Nachr., Ma¨rz 19, 1890年(“U¨ber die Grundgleichungen der Elektrodynamik fu¨r ruhende Ko¨rper”, Ann, der Phys. , 40, p577, 1890年)およびこれに続く “U¨ber die Grundgleichungen der Elektrodynamik fu¨r bewegter Ko¨rper”, Ann. der Phys., 41, p369, 1890年 に於いて、ベクトルポテンシャルAは、単なる数学的補助概念にすぎないとして、基本方程式群から削除した。そしてMaxwellの方程式系を見通しの良い解りやすい形に整えた。
 このことについては Sommerfeldの説明、および 広重文献1.§10-8. を参照。また、ヘヴィサイドの貢献については Nahin文献3.の説明、および Forbes、Mhon文献4.の説明 を参照。さらに、このあたりは太田文献7.§6.2、§6.3等も参照されたし。

 ところが、相対性理論および量子理論でスカラーポテンシャルとベクトルポテンシャルは復活します。その当たりの説明を木幡文献2.p130~131より下記に引用。
 文中の第4部とはMaxwellの著書“A Treatise in Electricity ans Magnetism”の第4部のことで、方程式を表す記号(A)~(L)は1965年論文の(A)~(H)とは異なっています。(A)~(L)式のもう少し詳しい説明は太田文献7.§5.5などを参照されて下さい。



 上記Maxwellの深謀遠慮§615(p254)は以下に引用。電磁単位系だからD=εE、μ=1だから真空中でH=Bとなっていることに注意。

A Treatise in Electricity ans Magnetism§615(p254)



 これらは、私たちが検討している量の間の主要な関係とみなされる。これらの数式のいくつかを排除するように組み合わせることもできますが、現在の我々の目的は数学的公式系の簡潔化ではなく、私たちが持っている知識のすべての関係を表現することです。有用なアイデアを表現している方程式を削除することは、我々の探求の現段階においては、利益というよりもむしろ損失となるでしょう。
 しかしながら、方程式(A)(E)を組み合わせることによって得ることができる一つの結論があり、それは非常に重要です。
 もし場の中に円形電流以外の形での磁石が存在しないと仮定すると、磁気力()と磁気誘導()の間でこれまでに保持していた区別は消滅する。なぜなら、これらの量が互いに異なった量であるのは、磁化された物質の中だけだからです。
 アンペアの仮説(Art.833で説明されている)によれば、我々が磁化された物質と呼ぶものの性質は分子的な円形電流に起因するので、我々の磁化理論が適用可能なのは物質が巨視的なものであるとみなせるときだけであり、 私たちの数学的方法が個々の分子内で何が起こっているのかを説明できると仮定すれば、円形電流以外の何者も見いださないでしょうし、磁気力()と磁気誘導()がどこでも同じであることを見いだすでしょう。しかし、静電単位系または電磁単位系を常に測定に利用できるようにするためには、係数μをそのままにしておき、その値は電磁単位系では1であることを覚えておかねば成らない。

 科学史の研究者に取って上に引用した“§615の赤記コメント”は結構有名な箇所で、いろいろな解釈がされています。
 この文章の中程では [ベクトルポテンシャルの定義式(A)] と [Maxwellが(変位電流を用いて)拡張したアンペールの法則(E)] からベクトルポテンシャルについて重要な関係式(非同次の波動方程式)が得られる事を、後半では別稿「マクスウェルによるアンペールの法則の拡張」(2)で説明したことや、HとBの違いを静電単位系と電磁単位系との関係で注意している。
 いずれにしても前半でMaxwellが述べた事(電磁ポテンシャルAとφを基礎として導入し、且つそれを最後まで残しておいた事)は正しかった。このことにつきましては、別稿「電磁場の非同次波動方程式」でさらに詳しく説明していますので、どうぞご覧下さい。

[補足説明1]
 上記方程式系中の(B)2.(2)1.で出てくるノイマンの電気力の表現よりもさらに拡張されており、運動している物体の場合への拡張を含む-[B×v]の項が追加されている。
 また、マクスウェルは導入したスカラーポテンシャルとベクトルポテンシャルについて div=0の条件式(2.(3)2.で説明するCoulomb gauge)を用いており、スカラーポテンシャルの満足する方程式は非同次の波動方程式ではなくてポアソンの方程式になる(文献5.p278)。
 そのためスカラーポテンシャルの解は時間の遅延項を含まない式となり、現実の現象に合わない。そのことはマクスウェル自身も認識していたようで、1968年論文の中で、いろいろな改良を試みているようです。

 

HOME  Maxwell  2.電磁Potential(1)導入(2)gauge条件(3)gauge例  3.相対論(1)4元量(2)不変性  4.tensor(1)T場(2)導入(3)変換(4)tensorとは  5.Max方式(1)旧表(2)新表1(3)新表2  6.応力(1)導入(2)スカラー(3)ベクトル(4)テンソル  7.参考文献

2.電磁ポテンシャルとローレンツゲージ(Lorenz gauge)

)導入

 別稿「カルマン渦列(動的安定性解析)」2.(3)で注意したように、熱学、弾性体学、流体力学で開発された様々な数学的テクニックは電磁気学の研究と相補いながら発展する。特にそこで説明したベクトル解析の基本定理

 連続な無限空間で定義され、無限遠においてその値が1/r2程度でゼロになる任意のベクトル場 は、渦無しの場1発散の無い場 2 の和で表すことができる。[ヘルムホルツの定理]

は重要です。
 様々な電磁気的現象の考察を進めるなかで電場、磁場という場の考え方が重要に成ってくる。それらの考え方の導入に最大の功績があったのはファラデーでありマクスウェルですが、電場と磁場が上記の 渦無しの場1発散の無い場 2 (これは 発散に基づく場1渦糸(電流)に基づく場2 といっても良い) に相当するのではないかということは何人かの研究者は気づいていた。
 さらに、次に出てくる ベクトルA はノイマン、ウェーバー、キルヒホフなどが論文の中で電流の誘導に関して用いていたし、W. Thomson(後のLord Kelvin)も電気現象を熱現象や弾性現象との類似性から研究する過程で気づいていた。特にThomsonは1847年の論文で弾性変位を表すベクトルの分布が静電気系の電気力の分布の類似と考えることができることや、磁気誘導

の関係にある ベクトルA を弾性変位と同一視することもできる事を指摘した。
 この考え方はやがてMaxwellに引き継がれる。実際、Maxwell は ファラデー と W.トムソン から多くの啓発を受けて、電磁気学現象を表す数式表現を追求していきます。
 その当たりは、E. Whittaker文献5.第8章“マクスウェル”が詳しいので別稿で引用しています。どうぞそれをお読み下さい。ただし、複雑な電磁気学的現象の数学的表現を見つけ出すには、様々な現象が示す混沌のなからか試行錯誤を繰り返しながら手探りで進めて行かねば成りません。そのためMaxwellの発見過程はたどるのはなかなか大変で、それを説明したWhittakerの文章を理解するのはかなり難しい。そのとき本稿に関係する部分を読み解く鍵は下記別稿で説明した事柄ですから、これらのリンク先を復習されながらお読み下さい。

  1. 「グリーンの定理[積分定理の王]」とくに1.(2)2.(2)
  2. 「カルマン渦列(動的安定性解析)」2.“数学的準備”
  3. 「非同次波動方程式の一般解」
  4. 「線型振動子(電気双極子)による電磁波の放出」1.
  5. 「電磁波の伝播」
  6. 「アインシュタインの特殊相対性理論(1905年)」3.(1)~(2)の中の[補足説明]
  7. 「Purcell著『電磁気学』§6.3」

 

HOME  Maxwell  2.電磁Potential(1)導入(2)gauge条件(3)gauge例  3.相対論(1)4元量(2)不変性  4.tensor(1)T場(2)導入(3)変換(4)tensorとは  5.Max方式(1)旧表(2)新表1(3)新表2  6.応力(1)導入(2)スカラー(3)ベクトル(4)テンソル  7.参考文献

(2)ゲージ条件

 今日、[スカラーポテンシャルφ、ベクトルポテンシャルA] を導入するとき “ローレンツ・ゲージ(Lorenz gauge)” を採用しますが、その条件式を最初に示したのは リーマン と ローレンツ のようです。このローレンツは電子論や相対論で有名なオランダ人の Hendrik Antoon Lorentz(1853年~1928年)ではなくて、デンマーク人の Ludvig Valentin Lorenz(1829年~1891年)です。
 L.V.Lorenz がこの条件式を提示したいきさつは2.(3)で説明する今日のやり方と全く違います。その違いを解説したホィティカーの説明を以下で引用します。

.Lorenzの条件式

 以下は、 Ludwig Valentin Lorenztが最初に“ローレンツ・ゲージ(Lorenz gauge)”を提示した論文, “U¨ber die Intensita¨t der Schwingungen des Lichts mit den elektrischen Stro¨men”, Annalen der Physik und Chemie, 131, 243-263, 1867年 についての ホィティカー(文献5.p304~307) による解説。

 注1)のリーマンの論文に付いては太田文献7.§4.1をご覧下さい。


補足説明1
 今日の教科書では、上記“非同次波動方程式”(2)、(3)式は“ヘヴィサイドとヘルツによる最終的なMaxwell方程式”に“電磁ポテンシャルの定義式”を適用して導きますが、 Ludwig Valentin Lorenz が上記論文を発表した1867年当時は最終的なMaxwell方程式が現れる前でした。
 つまり、最終的なMaxwell方程式系を知らない状況下で、L.V.Lorenz は“遅延ポテンシャルの定義式”から“非同次波動方程式”を導いたのです。このことに付いては、太田文献7.の§4.2(p109-02以降) もご覧下さい。
 
 結局、“遅延ポテンシャルの定義式”と“非同次波動方程式”は同等なのですが、このことの詳しい証明は別稿「線形振動子による電磁波の放出」1.(2)1.を参照されたし。また、前述の遅延ポテンシャルが非同次の波動方程式(2)と(3)の解となることの証明計算は別稿「非同次波動方程式の一般解」3.(3)や、別稿「ポアソン方程式と波動方程式」2.などをご覧下さい。





補足説明2
 つまり、L.V.Lorenz は“遅延ベクトルボテンシャルの定義式”の div を取った式に“電荷保存則(連続の式)”を適用して“ローレンツのゲージ条件(Lorenz gauge)”を導いたのです。
 
 ここの計算手順については別稿「線形振動子による電磁波の放出」1.(2)2.を参照されたし。
 このことに付いては、太田文献7.の§4.2(p109-02以降)§4.2(p111以降)もご覧下さい。




補足説明3
 つまり、L.V.Lorenzは[補足説明1]の手順で導いた“電磁ポテンシャルの非同次波動方程式”(2)(3)から逆に“Maxwellの方程式”(Ⅰ)(Ⅱ)に相当するものを導いた。その過程で“Lorenzのゲージ条件式(4)”を利用したのです。
 そのとき一緒に用いる“ノイマンの関係式”(1)は、今日の電磁ポテンシャルの定義式に他なりません。
 
 この事に付いては、太田文献7.のp111-01~112-02をご覧下さい。また別稿「電磁場の非同次波動方程式」3.(1)3.3.(2)3.では、より系統的に解りやすく説明しています。

補足説明4
 L.V.Lorenzの論文は電磁場を明示的に用いていないので解りにくくてローレンツがマクスウェルとほとんど同等の電磁場の理論に到達していた事がなかなか読み取れません。そのため彼の業績はあまり知られることが無く歴史の中に埋もれてしまっています。実際、上記のようにホィティカーはLorenzの論文をあまり高く評価していません。
 しかし、太田先生が解説されている様に、[遅延ポテンシャルの導入][電磁ポテンシャルの一体化(4元化)]に関してもっと評価されても良いのかもしれません。先に述べた(4)式の Lorenz gauge はまさにベクトルポテンシャルAとスカラーポテンシャルφが合わさって4元的な量になる(3.(1)参照)ことを示しているのですから。太田先生が文献7.第4章§4.2で詳しく解説されていますので、それを導きの糸にしてLorenz論文(英訳版)をお読みになられて下さい。

補足説明5
 Maxwell自身はリーマンとローレンツ(L.V.Lorenz)の論文はしっかり理解しており、正確に評価していた様です。それは1968年に書いた論文[544]や、更に1973年の著書[545]中の記述から解る。以下は文献7.§4.2 p113-03~から引用した。文中の文献[544]、[545]、[542]はこちらを参照


 

.Coulombの条件式

 Maxwellは明示的に示してはいませんが、現在の知識で見ると、彼が導入した“スカラーポテンシャルφ“ベクトルポテンシャルA”は、今日 “Coulomb gauge” と呼ばれるゲージ条件のもとで理論に組み込まれているようです。
 これは、前項で説明したLorenz gauge

のかわりに

とする場合です。

 もちろんMaxwellは1.の深謀遠慮の訳文で注意したように、かれはベクトルポテンシャルに関して非同時波動方程式を導いており、さらに後の部分では、金属中に進入する電磁場の議論でオームの法則から生じる一階時間微分の項も含む非同次波動方程式も考察しています。だから彼には今日言われているクーロンゲージに従ったという意識はありません。

 

HOME  Maxwell  2.電磁Potential(1)導入(2)gauge条件(3)gauge例  3.相対論(1)4元量(2)不変性  4.tensor(1)T場(2)導入(3)変換(4)tensorとは  5.Max方式(1)旧表(2)新表1(3)新表2  6.応力(1)導入(2)スカラー(3)ベクトル(4)テンソル  7.参考文献

(3)ゲージ条件の適用

 以下では、[ヘヴィサイドとヘルツが整えた今日のMaxwell方程式系] から出発して、 [スカラーポテンシャルφとベクトルポテンシャルAの非同次波動方程式] を導きます。その過程で“電磁ポテンシャルの定義式”を用い、“ローレンツゲージ(Lorenz gauge)” を適用します。
 ここでの展開が今日の一般的なやり方です。

.Maxwell方程式

 最初に、ヘヴィサイドやヘルツが整理して導いたMaxwell方程式系を復習します。

 この方程式系は別稿「マクスウェルによるアンペールの法則の拡張」(1)で説明していますが、本稿では“非有利化Gauss単位系”で論じる事にします。有利化されていないGauss単位系です。
 
 そして、話を簡単にするためにH.A.Lorentzに従って、電媒質、磁媒質を考慮した表記を避けて、真空中に電荷と電流のみが存在する明晰な形で説明します。また磁場を表す量としてBではなくHを用います。
 
 このようにするのは非有利化Gauss単位系で展開されている アインシュタインの1905年の原論文 と比較しやすくし、また Whittaker 著『エーテルと電気の歴史』ランダウ・リフシュツ著『場の古典論』 などを参照しやすくするためです。単位系の詳細については別稿「電磁気学の単位系が難しい理由」5.(4)をご覧下さい。


“Gauss単位系”ではε0=1、μ0=1、γ≒c と置けばよい。また真空中ではは同じ量となる。
 そのため以下の法則が成り立つ。

 まず、《Maxwell方程式(3)》より div=0 である。ところで別ページで証明したように《div=0なるベクトルポテンシャルのrotで表される》(任意のベクトルに対して divrot=0 が常に成り立つ)が言えるので、

なるベクトル関数Aが存在する。
 これを《Maxwell方程式(2)》に代入すると

となるスカラー関数φが存在する。ここで別ページで証明した《rotを取ったベクトルがつねに0である場合には元のベクトルはあるスカラー関数Ψの勾配で表せる》ことを用いた。任意のスカラー関数φに対して rot(gradφ)=0 が常に成り立つ。
 1.で説明した(A)式が(7)式に相当し、(B)式が(8)式に相当するので、これらの“(7)式、(8)式はもともと、Maxwell自身が最も基本的な関係と捉えていたもの”です。今日、φが スカラーポテンシャル 、が ベクトルポテンシャル と言われるものですが、まとめて“電磁ポテンシャル”と呼ぶ。

 (7)、(8)式を用いて《Maxwell方程式(1)》を変形すると

となる。
 同じく、《Maxwell方程式(4)》を変形すると

となる。上で用いたベクトル演算公式の証明はこちら

補足説明1
 ところで、その定義式から解るように電磁ポテンシャルには任意性があります。最初に電磁ポテンシャルが0とφ0で与えられた場合、それらに gradχ や -(1/c)∂χ/∂t を加えた

も定義式(7)(8)を満足します。
 そのことは上式を定義式に代入してみれば

となるので簡単に確かめられる。
 ここでχは時間的に変化する任意のスカラー関数であってかまいませんが、の組みからの組みへ移る事を“ゲージ変換”(gage transformation)と言います。観測可能な量である電場や磁場ゲージ変換しても、その値を変えません。
 このように電磁ポテンシャルが持つ任意性を“ゲージ自由度”といいます。実際の電場Eや磁場Hを定めるAやφを確定するには、その自由度を制限するさらなる条件が必要で、その制約条件を“ゲージ条件”と言います。
 Lorenz条件式に対する上記の説明は、ランダウ・リフシュツ著『場の古典論』の中で説明されているものです。推測ですが、多くの書籍で採用されているこの説明は、おそらく『場の古典論』からの受け売りなのでしょう。
 いずれにしましても、Maxwellの理論の至らなかった所は、結局この自由度が存在することを見抜けなかった所にあるのかも知れません。以下で、gauge条件について二つの場合を検討します。

 

.Coulomb gauge

 “クーロンゲージ”と呼ばれるゲージ条件は

とすることです。
 この式が成り立つ場合には

となりますので、与えられた0からこの式により任意関数χを決めることができます。このχを用いてゲージ条件を確定します。
 このゲージ条件のもとで(9)、(10)式は

となります。
 このとき(9’)式は(10’)式を見る限りスカラーポテンシャルφが時間的な変動する解も含んでいる方程式に見えます。つまり電荷密度ρの分布状況が時間的に変化する場合も含んでいるように見えます。しかし、特殊相対性理論から解る様に電荷密度ρの分布の時間的変化がタイムラグ無しに直ちに全空間のスカラーポテンシャルの状況を決めることはできません。あらゆる信号は光速度以上で伝わることはできないのですからスカラーポテンシャルの変動には必ず時間的な遅れが生じます。つまり(9’)式の“ポアソンの方程式”は電荷密度の分布が時間的に変化しない静的な場合のみ正しい式で、電荷分布が時間的に変化する場合のφを定めることはできません。そのため(9’)式が成り立つのなら、(10’)式の右辺の∂φ/∂tの項も本来 0 とならねばなりません。それは電荷分布が静的である事を意味します。
 つまり、クーロンゲージを選択することは∂φ/∂t=0とすることと同じです。だから(9’)(11’)は以下のようになります。

 これは、電流密度の時間的変動によるベクトルポテンシャルAの時間的な変動解も含んでいますから(11)(12)式を代入して(8)式から導かれる電場には動的な成分も含まれる事になります。そのためこの方程式系の解は、静的な電荷密度分布による静電場の解と、電流密度の時間的な変動から生じる動的な電場と磁場の解を重ね合わせたものになります。
 ここで注意して欲しい事は、時間的に変化する電流密度が作る場でも常にdiv=0となる(つまりゲージ条件を満たす)ベクトル場が解として存在することです。

補足説明1
 実際、別稿Whittaker 著『エーテルと電気の歴史』p278で説明されている様に、Maxwellはこのクーロンゲージに相当する理論を展開したのですが、これはかなり特殊な状況です。彼が何故このようなゲージ条件を採用したのか良く解りませんが、以下の事情だったのではないでしょしうか?
 別稿5.(3)2.でも述べたようにMaxwellの理論が展開された1860年代はJ.J.Thomsonによる電子の発見(1897年)よりも遙か昔です。だから、Maxwellの電磁気学理論は、電荷の実態が何か良く分かっていない時代の電媒質(誘電体)中心の立場に立つものです。実際、Maxwell自身も「自分の理論によるとすべての電荷は、媒質の偏極のおつりのようなものである("TreatiseⅠ"p167)」と述べています。ですから、電荷が単独に存在してその分布を自由に変えるという発想はなかったのでしょう。電荷は常に物質と共に有り、媒質の編極の結果電荷が現れたとしてもつねに静止していると考えていたのではないでしょうか?
 またMaxwellの時代には、ニュートンの重力理論以来、作用は無限の速度で伝達して状況に反映されるという遠隔作用の考え方が物理理論に於いて支配的だったのですから、たとえ場の考え方に移行したMaxwellにとっても電荷の作用が無限大速度でスカラーポテンシャルの分布に反映するという考え方に抵抗は無かったのかも知れません。Maxwell自身が電磁波が有限の速度でしか伝播しないという考えに到達するのはもう少し後になってからです。
 もちろん当時すでに電流の概念はありましたし、電流は電荷の移動であるという考え方はありました。Maxwell理論の中でも独立した存在で [(12)式として] 理論の中に現れます。しかし、Maxwellの考えている電荷や電流は電媒質の中に埋もれておりその実態は明瞭ではありません。
 
 ところで、Maxwellの提示した(11)式は現実の現象と合わない矛盾を抱えています。広重文献1.§10-8 p38で説明されているように、このことは後に議論のまととなったようで、これがポテンシャルφやを取り除いたによる電磁場方程式が生まれた一つの理由かも知れません。Maxwell自身もこの不都合には気付いていたようですが!
 
 いずれにしても、(ローレンツH.A.Lorentzが看破した)今日の電磁気学では、 [電媒質の中ではなくて] 真空中での電荷と電流の概念が中心的な役割を担います。ローレンツによって示された電磁気学の新しい解釈は、それまで混沌としていた多くの事柄を極めて明瞭な形で理解することを可能にした。その当たりはアインシュタインの説明(同じくセグレの引用文)を参照されて下さい。

補足説明2
 “電流密度”の分布状況の時間的な変化が無い場合は、ベクトルポテンシャルAも時間的な変化はないとして、2A/∂t2 の項を削除できます。
 そうすると(12)式は

となります。
 この場合には“静的な電荷分布”“定常的な電流分布”により、スカラーポテンシャルφとベクトルポテンシャルAが完全に決定されます。これらの解は時間的に変動しませんから、これを(7)、(8)式に適用して得られる電磁場は時間的に変動しない静的なものとなります。その具体的な解法は別稿「カルマン渦列(動的安定解析)」2.(3)をご覧下さい。

補足説明3
 上記[補足説明2]で説明した状況(すなわち静電荷定常電流のみが存在)のとき、Maxwellの方程式は

となります。
 これは電場ベクトルE磁場ベクトルHが別稿「カルマン渦列(動的安定解析)」2.(3)で説明した[ヘルムホルツの定理]で言う渦無し場1発散の無い場2 に相当することを意味します。
 つまり、電磁気学においても連続な無限空間で定義され、無限遠においてその値が1/r2程度でゼロになる任意の静的なベクトル場 は、渦無しの場発散の無い場 の和で表すことができる。
 別項で引用した Whittaker 著「エーテルと電気の歴史(上・下巻)」第8章“マクスウェル”中にしばしば出てくる“発散的な場”“循環的な場”はこの渦なしの場E(あるいはφ)発散のない場H(あるいはA)を指している。

 

.Lorenz gauge

 電荷分布や電流分布の時間的に変化に対応して、スカラーポテンシャルφやベクトルポテンシャルAが時間的に変化する解が得られる方程式系にするために、L.V.Lorenzが採用したゲージ条件が

です。これは2.(2)1.の(4)式として説明したもので、今日“ローレンツゲージ(Lorenz gauge)”と呼ばれています。
 この場合には、

となるが、この右辺は既知のφ0とA0だから、この方程式を解いてχを決めればゲージ条件が確定します。

 L.V.Lorenz がこの条件を採用した理由は、2.(2)1.で説明した様に、この条件の下で(9)式と(10)式が、 φ と 電荷電流に旨く対応する“非同次波動方程式”になるからです。
 すなわち

となる。
 これらの式は、時間的に一定の場(つまりρや が時間的に変化しない)に対しては前項補足説明2“ポアソンの方程式”(11)と(12’)に帰着します。
 また、電荷や電流の無い真空中の変化する場に対しては右辺がゼロの“同次波動方程式”に帰着する。これはまさに真空中を伝播する電磁波を解とする方程式です。

補足説明1
 非同次波動方程式(13)、(14)式の一般解は詳しく研究されていて良く知られている。(13)、(14)の解は、右辺をゼロとした同次波動方程式の解と、右辺を持つ非同次波動方程式の特殊解との和として表すことができる。このことは別稿「カルマン渦列(動的安定解析)」2.(3) と別稿「非同次波動方程式の一般解」 をご覧下さい。
 特殊解を求めるためには全空間を無限に小さな領域に分割し、これらの体積要素の1つに位置している電荷要素と電流要素が作る場を決定する。場の方程式の線型性の為に実際の場は、これらすべての要素が作る場の和となる。そのとき、今求めようとしている(x,y,z,t)におけるφやAの状態を決定するのは時刻tにおける(x’,y’,z’,t)のρや ではなくて(x’,y’,z’,t-r/c)のρや の状態です。
 L.V.Lorenzはこのような時間的な遅れを含む解が得られる様に“ローレンツの条件式(Lorenz gauge)”

をつけくわえました。そうすると電磁ポテンシャルが満たすべき方程式は対称的で綺麗な形の非同次波動方程式(13)、(14)式となった。
 その一般解

となります。
 上記の右辺の第一項が非同次波動方程式(13)、(14)式の解である事の証明は別稿「ポアソン方程式と波動方程式」2.(2)をご覧下さい。
 補足しますと、右辺の第二項として添えられている同次波動方程式の解は電荷や電流の存在しない空間に初期条件として与えられている電磁波そのものです。つまり、真空の空間を飛び回っている光子の集合体を意味します。

補足説明2
 最終的な電磁場の解は、前述[補足説明1]の 電磁ポテンシャル解φと を(7)、(8)式

に代入することで得られる。

補足説明3
 そもそも“電磁ポテンシャルとは何か?”については前野氏の説明をご覧下さい。

 

HOME  Maxwell  2.電磁Potential(1)導入(2)gauge条件(3)gauge例  3.相対論(1)4元量(2)不変性  4.tensor(1)T場(2)導入(3)変換(4)tensorとは  5.Max方式(1)旧表(2)新表1(3)新表2  6.応力(1)導入(2)スカラー(3)ベクトル(4)テンソル  7.参考文献

3.電磁ポテンシャルと相対性理論

 ここからいよいよ特殊相対性理論で見通しの良い4次元表現の話に入るのですが、本稿では4元ベクトルの定義とローレンツ変換式の表現を下記右側のものを用います。普通の教科書では左側の定義や表現が多いのですが、あえて前稿「4元速度(4元運動量、4元電流密度)、4元加速度と4元力」6.の方針を踏襲します。

 “4元ベクトル”の定義を下記右側のものを利用します。(左側が普通良く使われる定義です。なぜ左側が良く使われるのかといいますと、第4成分にcを掛けたものを用いるとすべての成分の次元を同じにすることができるからです。しかし、本来第4成分は第1~第3成分とは次元的に全く異なるものですから、本稿ではあえて右側のような次元の統一をしない形で論じています。そちらの方が理解しやすいと思うからです。)

ただし、これらは反変ベクトル表示の場合です。そのため添字のx,y,zは右肩に書くべきかも知れません。
共変ベクトルの場合は、本稿の計量テンソル定義に従うと、上記右側の表現の第4成分に-cを乗じたものになります。

 そのため、“ローレンツ変換式”の表現も下記右側のものを使用します。(式の対称性が良いので、左側が普通良く使われるのですが、本稿ではあえて右側を用います。)

 そのため“ミンコフスキー時空”“基本計量共変テンソル”“基本計量反変テンソル”も下記右側のものになります。(左側が普通良く使われる定義です。)

 これらの取り決めにより、種々の4元量の第4成分に表れる“c”や“1/c”の付き方が普通の教科書と違ってきます。その違いの為に、かえって共変・反変や計量テンソルの意味が読み取りやすいと思いますので、本稿ではあえて右側の定義を用います。

 “電磁気学の単位系”については以前述べたものを踏襲します。

 本稿では“非有利化Gauss単位系”で論じる。また磁場を表す量としてBではなくHを用います。
 このようにするのはアインシュタインの原論文と比較しやすくし、ランダウ・リフシュツ著『場の古典論』を参照しやすくするためです。単位系の詳細については別稿「電磁気学の単位系が難しい理由」5.(4)をご覧下さい。

 

HOME  Maxwell  2.電磁Potential(1)導入(2)gauge条件(3)gauge例  3.相対論(1)4元量(2)不変性  4.tensor(1)T場(2)導入(3)変換(4)tensorとは  5.Max方式(1)旧表(2)新表1(3)新表2  6.応力(1)導入(2)スカラー(3)ベクトル(4)テンソル  7.参考文献

(1)電磁ポテンシャルは4元量

 2.(3)3.で説明したように、 Lorenz gauge の元では電磁ポテンシャルの満たすべき方程式は4成分からなる同型の方程式(13)、(14)式に帰着する。ところで、これらの方程式系の右辺の(jx,jy,jz,ρ)は、別稿「4元速度(4元運動量、4元電子流密度)、4元加速度と4元力」3.(2)で説明したように、“4元電流密度”としてローレンツ変換に従うことが解っている。
 ならば、電磁ポテンシャルの4成分(Ax,Ay,Az,φ/c)“ローレンツ変換”に従って変換される“4元ベクトル”を構成するのではないかと予想される。以下でこの予想が正しいことを確かめる。

 やり方としては別稿「4元速度(4元運動量、4元電流密度)、4元加速度と4元力」3.(2)[補足説明4]で説明した方法を使えばよい。そこを復習して(jx,jy,jz,ρ)(Ax,Ay,Az,φ/c)の形を考慮すると、“電荷保存則”∂ρ/∂t+div j =0“Lorenzのゲージ条件”(1/c)∂φ/∂t+div A =0 が全く同形のスカラー方程式であることが解る。だから、そこのやり方が使えます。

 ここでは、S系(x,y,z,t)のx軸の正方向に速度で運動しているS’系(x’,y’,z’,t’)を考えます。
 まず、別稿「アインシュタインの特殊相対性理論(1905年)」3.(1)[補足説明1]で説明したように、 t’は(x,y,z,t)の関数、x’、y’、z’も(x,y,z,t)の関数だから、微分法の性質より

が成り立つ。
 これを用いると“ローレンツゲージの条件式”

となる。
 これはベクトルポテンシャルAとスカラーポテンシャルφ/cが座標(x,y,z,t)と全く同一のローレンツ変換

に従って変換されれば、“ローレンツゲージの条件式”ローレンツ変換に対して形を変えないことを示している。
 すなわち

となる。
 このとき、(Ax,Ay,Az,φ/c)ローレンツ変換に従う“4元電磁ポテンシャル”ですが、このことは、後で解るようにミンコフスキー4次元時空に於ける4元反変ベクトルであることを示しています。このことについては[補足説明5]をご覧下さい。

補足説明1
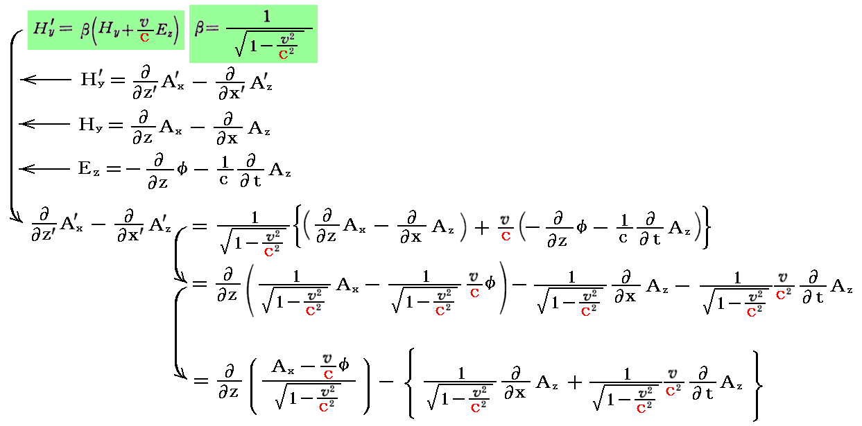
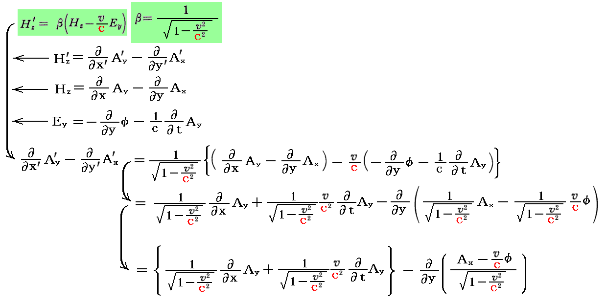
 別なやり方として、[アインシュタインが求めた電磁場の変換式]

を用いても良い。式中のvは座標系の移動速度であって荷電粒子の速度では無いことに注意。アインシュタインはこの変換式をMaxwell方程式がローレンツ変換に対して不変であることから導いた(別稿「アインシュタインの相対性理論(1905年)」3.(1)を参照)。
 まず、電磁場と電磁ポテンシャルの関係(7)、(8)式が、S系とS’系に付いて等しく成りたつローレンツ変換不変式とする。

 ならば、それぞれの座標系で以下の関係式が成り立つ。

 これらを[アインシュタインが求めた電磁場の変換式]の左辺と右辺に代入する。そうすると[拡大図



拡大図



となる。
 ここで、微分演算子の変換則

を考慮すると、前記のS’系表示とS系表示の間で成り立つ等式は、電磁ポテンシャルが前述のローレンツ変換式

に従って変換されることを示している。

補足説明2
 [補足説明1]では[電磁場の変換式][微分演算の変換式][電磁ポテンシャルの定義(7)(8)式がローレンツ変換不変]であることを用いて[電磁ポテンシャルの変換式]を導いた。
 ところで、その逆に[電磁ポテンシャルの変換式][微分演算の変換式][電磁ポテンシャルの定義(7)(8)式がローレンツ変換不変]であることを用いて[電磁場の変換式]を導くこともできます。式変形の拡大版はこちら

補足説明3
 [補足説明1]で示した[微分演算の変換式]を良く眺めてみると

と表される。つまり、[座標の微分演算]ローレンツ逆変換の転置行列に従って変換される。
 一方、[電磁ポテンシャル]ローレンツ変換に従って変換されるので、 Lorenz gauge の条件式

を下記の様に行列表示してみれば、



の様に、4元ベクトル(Ax,A,Az,φ/c)divローレンツ変換に対して不変であることが解ります。
 すなわち、“Lorenz gauge 条件式”がローレンツ変換不変であることは、“電磁ポテンシャル”が4元ベクトルを成していれば当然満たされることです。
 
 つまり、4元ベクトル4元div は常にローレンツ変換不変スカラーとなる
 このとき補足しますと、(∂/∂x,∂/∂y,∂/∂z,∂/∂t)4.(4)4.[例3]で説明する様に共変ベクトルに相当する4元div演算子です。一方(A,A,A,φ/c)は後で説明するように反変ベクトル表示です。だから “Lorenz の条件式”

は、共変ベクトル反変ベクトル“縮約内積”に相当する演算操作で作られたスカラーです。スカラーは当然のことながら座標変換に対して不変です
 このとき更に補足しますと、4.(4)4.[例4]で説明するように、(∂/∂x,∂/∂y,∂/∂z,-1/c・∂/∂t)反変ベクトルに相当する4元div演算子です。“Lorenz の条件式”がこの演算子と縮約内積て得られるスカラー方程式であると考えるためには(A,A,A,-cφ)が電磁場ポテンシャルの共変ベクトル表示であるとしなければ成りません。3.章最初に掲げている一覧表で、この形の電磁ポテンシャルを共変ベクトルとしているのはその為です。
 
 3.(1)の最初で説明した様に、(j,j,j,ρ)(A,A,A,φ/c)と同様な4元ベクトルであり、“電荷保存則”∂ρ/∂t+div j =0“Lorenzのゲージ条件”(1/c)∂φ/∂t+div A =0 と全く同形のスカラー方程式です。
 ならば、電荷保存則も4元ベクトル(j,j,j,ρ)4元div だから、ローレンツ変換不変のスカラーであることが言えます。これは電荷保存則がローレンツ変換に対して不変である事を単に言っているだけではなくて、“電荷そのものがローレンツ変換に対して不変”であることを言っている。これはアインシュタインが1905年論文で強調している事柄です。粒子の持つ質量という属性はローレンツ変換に対して不変ではないのですから、電荷の不変性は Einstein にとって驚愕の事実だったでしょう。
 
 補足しますと、ここの(j,j,j,ρ)(A,A,A,φ/c)はどちらも(後で説明するように)反変ベクトルですから、(j,j,j,ρ)(A,A,A,φ/c)の様に書くべきです。

補足説明4
 [補足説明3]で示した微分演算は左から乗じられていますが、ローレンツ変換表示したとき


と置ける事実を用いていることに注意してください。つまり、[微分演算][ローレン逆変換行列の係数]の順番を勝手に入れ替えているわけではありません。
 ただし、時空微分演算が作用する行列の係数が時空座標(x,y,z,t)の関数のときには、作用する微分演算が縦行列か横行列かの違いと、作用する順番の違いは重要です
 たとえば



は全く異なる意味を持っています。 

補足説明5
 ここで定義した4元量(Ax,Ay,Az,φ/c)は、ローレンツ変換に従う。
 このことは、4元電磁ポテンシャルはミンコフスキー4次元時空に於ける4元反変ベクトル場を構成している事を意味します。“反変”とは座標変換(ローレンツ変化)と同じ変換に従って変換される量であることを意味します。
 このとき、後で解るように、“4元電磁ポテンシャル”(Ax,Ay,Az,φ/c)にミンコフスキー時空の基本計量共変テンソル

を乗じてできる

ローレンツ逆変換に従う4元共変ベクトルになります。
 そのとき、共変表現の電磁ポテンシャルを(A,A,A,-cφ)≡(A1,A2,A3,A4と書き、もとの4元反変ベクトル(A,A,A,φ/c)=(A,A,A,φ/c)≡(A1,A2,A3,A4と書くべきでしょう。
 同じ4元電磁ポテンシャルと言っても反変表現と共変表現では、その定義式が違います。この当たりは4.(4)で詳しく説明しますので、そこを読まれた後にここの説明を振り返られて下さい。

 

HOME  Maxwell  2.電磁Potential(1)導入(2)gauge条件(3)gauge例  3.相対論(1)4元量(2)不変性  4.tensor(1)T場(2)導入(3)変換(4)tensorとは  5.Max方式(1)旧表(2)新表1(3)新表2  6.応力(1)導入(2)スカラー(3)ベクトル(4)テンソル  7.参考文献

(2)電磁ポテンシャルの非同次波動方程式はローレンツ変換不変

 ベクトルポテンシャルAとスカラーポテンシャルφ/cで構成される4元成分(Ax,Ay,Az,φ/c)で表示された“非同次波動方程式”も“ローレンツ変換”に対して不変に保たれる事が証明できる。

 その為にまず、偏微分に関して成り立つローレンツ変換関係を導く。ここでも、S系(x,y,z,t)のx軸の正方向に速度で運動しているS’系(x’,y’,z’,t’)へのローレンツ変換を考える。
 まず、 t’は(x,y,z,t)の関数、x’、y’、z’も(x,y,z,t)の関数だから、微分法の性質より

だから、2次微分の変換式は

が言える。つまり、波動方程式の演算子(“ダランベール演算子”と呼ばれる)はローレンツ変換に対して不変になる。
 そのため演算子の部分をローレンツ変換すると

となる。

となる。

となる。
 さらに、y成分(16)式と、z成分(17)式の両辺はそのままの形でローレンツ変換される。
 よって、ベクトルポテンシャルA と スカラーポテンシャルφ/c から構成される4つの非同次波動方程式は、ローレンツ変換により

となるので、ローレンツ変換不変な形をしている。

補足説明1
 これまでに説明したように、(jx,jy,jz,ρ)(Ax,Ay,Az,φ/c)が4元ベクトルとしてローレンツ変換に従うのですから、この二つの4元量により構成される4元的な非同次波動方程式がローレンツ変換不変であるのは当たり前です。
 空間の各点ごとに与えられているスカラー場がρであり、φ/cの場です。また同じ空間の同じ点ごとに(jx,jy,jz(Ax,Ay,Az)のベクトル場が与えられています。これらの量をS系から観測するか、S系に対して等速度で動いているS’系から観測するかの問題なのですが、S’系から見た(j’x,j’y,j’z,ρ’)(A’x,A’y,A’z,φ’/c)はそれぞれのS系での値をローレンツ変換した値を持つと言うだけです。
 S系での(Ax,Ay,Az,φ/c)はS系で与えられている(jx,jy,jz,ρ)の分布状況に拠って非同次波動方程式によって定められたものです。またS’系での(A’x,A’y,A’z,φ’/c)はS’系で与えられている(j’x,j’y,j’z,ρ’)の分布状況に拠って非同次波動方程式に拠って定められたものです。
 だから、(jx,jy,jz,ρ)(Ax,Ay,Az,φ/c)4元反変ベクトルとして同一のローレンツ変換に従うのですから、互いの関係を規定する非同次波動方程式“ローレンツ変換不変”であってしかるべきです。

補足説明2
 波動方程式が真に正しい物理法則を表しており“相対性原理”を満たしているのなら、波動方程式は二つの慣性系で同じ形になる。そのことから逆に座標変換法則(“ローレンツ変換”)を導くことができる。
 その証明は
 吉田伸夫著『完全独習相対性理論』講談社(2016年刊)p41~47の説明
 藤井保憲著「時空と重力」産業図書(1979年刊)第1章§2 “Lorentz変換”(p6~10)
などを参照されたし。
  ところで、このことによってローレンツ変換を最初に導いたのは、Abraham Pais著「神は老獪にして・・・」産業図書(1986年刊)6章“神は老獪にして・・・”p152 によると、ウォルデマール・フォークト(1887年)だそうです。つまり、フォークトは新しい時空変数に移るとき変換式

に従って移ると、波動方程式 □φ=0 が同じ形を保つことを示した。
 
[2019年8月追記]
 松田卓也・木下篤哉著「相対論の正しい間違え方」丸善(2001年刊)によると、いわゆるローレンツ変換を最初に書き記したのは上記のフォークト(1887年)と言うことになります。さらにフィツジェラルド(1889年)、ラーモア(1898、1900年)、などが同様な変換式をローレンツ(1892年、1899年、1904年)以前に導入しているそうです。
 この当たりについては、文献7.太田浩一著「マクスウェルの渦アインシュタインの時計(現代物理学の源流)」東京大学出版会(2005年刊)第7章にも、その経過が詳しく説明されていますのでご覧下さい。
 
 
[2020年3月追記]
 ここでは、[4元電磁ポテンシャルがローレンツ変換によって変換される4元量である]ことと、[4元電磁ポテンシャルの(非同次)波動方程式がローレンツ変換不変である]ことを説明しました。
 ならば、次に[Maxwell方程式のローレンツ変換不変性]が問題になります。実際、別稿の[補足説明]で説明したように[4元電磁ポテンシャルの(非同次)波動方程式][Maxwell方程式系]基礎方程式系として等価なのですから。
 しかし、やがて解りますが電磁場は4元ベクトルでは無くて、2階テンソルです。また電流密度・電荷密度も一緒になって4元ベクトルとなります。そのため[Maxwell方程式系]のローレン変換不変性を見通すのはなかなか難しい。
 実際、Einsteinの1905年論文§6及び§9の説明からその事を見通すのはかなり難しいです。 3.(1)[補足説明1]で掲げた[アインシュタインが求めた電磁場の変換式]をご覧になればお解りになります。Einstein自身も1905年の段階では、その事は全く見通せてはいません。
 Einstein がその事を理解するのは ミンコフスキーの仕事 を正しく理解した後のことです。そのことから Einstein は ミンコフスキーの仕事 を高く評価する様になるのですから。
 
 そのため、[Maxwell方程式系]のローレン変換不変性については、
江沢洋著「動く電気力線は磁場を生む」(『物理の授業-東京の高校教育』mo.4, 1976年1月, 東京物理サークル) 
を御覧下さい。とても解りやすく説明されています。
 これらの知識を踏まえて、本稿では5.(2)と、5.(3)で詳しく説明します。

補足説明3
 3.(1)[補足説明3]4元div演算微分演算子のローレンツ変換式

を適用して説明しました。
 “ダランベール演算子”に関しても同様な議論が出来ます。ここで、ダランベール演算子は4元時空微分演算子ベクトルの自分自身の内積のような微分演算子です。そのため論理的につじつまの合う理論形式にするには、別稿「特殊ローレンツ変換から一般ローレンツ変換へ」3.(3)[補足説明1]で説明したミンコフスキー時空計量テンソルの 逆行列 G-1 “基本計量反変テンソル”を間に挟まないといけません。そうしないと方程式の係数も合いません。このように計量テンソルを用いて反変と共変の性質を変換しておかないと旨くローレンツ変換不変の方程式表現に成らないのです。さらに、電磁ポテンシャルと4元電流密度ベクトルの列表示の右側にもミンコフスキー時空計量テンソルの “基本計量共変テンソル”を乗じておいても良い。

 上式の行列表示を展開してみれば確かに電磁ポテンシャルの非同次波動方程式となる。これがローレンツ変換に対して不変式であることは直ちに解ります。


式変形途中のLとGの行列積関係式は別稿「特殊ローレンツ変換から一般ローレンツ変換」3.(3)[補足説明3]を参照。

補足説明4
 [補足説明3]では両辺の右側から計量テンソルをかけた形の方程式にしたが、これは省略して下記の形でも良い。なぜなら、ダランベール演算子はスカラー演算子だから、それを作用させるベクトルは共変でも反変でも良かったのです。どちらの場合も(作用させるベクトルの反変or共変をそのまま引き継いだ)ベクトル方程式になるのですから。

この形のとき、これがローレンツ変換不変式であることの確認は以下のようになる。


確かにローレンツ変換不変式であることが解る。

補足説明5
 くどいようですが、[補足説明3]や[補足説明4]で述べた “ダランベール演算子”“スカラー演算子”である に付いて今一度強調しておきます。
 上記[補足説明3]や[補足説明4]の最初に記した

は、別稿「基底ベクトル・双対基底ベクトルと反変成分・共変成分」2.(5)で説明した、3次元リーマン空間における共変ベクトルの自分自身との内積により、スカラーを生じる手順

と同じです。
 もちろん特殊相対性理論の4次元時空はリーマン時空の特別な場合である4次元擬ユークリッド空間ですが、ユークリッド空間では無くて擬ユークリッド空間ですから、4次元斜交座標で議論する4次元リーマン空間と同様な取り扱いをしなければ成りません。つまり反変と共変の違いが生じてくるのです。
 すなわち、元の“grad演算子”共変ベクトルと同様な座標変換則を満たすのですから、“grad演算子”の内積(divgrad)に相当する“ダランベール演算子”を構成するときには、ミンコフスキー時空の“反変計量テンソル”を間に挟んだ形で表現しなければ成らなくなるのです。
 ここは、非常に解りにくい所ですが、“ダランベール演算子”は元々“共変ベクトル”的な“grad演算子”を二つ縮約したような演算子です。しかし、共変ベクトル同士を縮約することはできません。それで一方を“反変ベクトル”的な“grad演算子”に変換しておいてから縮約するということです。

補足説明6
 更に補足しますとミンコフスキー時空は擬ユークリッド空間ですが、基底・双対基底ベクトル自体は全空間にわたって変化しない空間です。そのため、反変・共変の違いは出てきますが、微分そのものは通常の微分演算と同じです。
 ところが、一般のリーマン空間では、基底・双対基底ベクトルが場所と共に変化していきますから、通常の微分ではなくて、“共変微分”で考えなけばならなくなります。
 “共変微分”については別稿「基底ベクトル・双対基底ベクトルと反変成分・共変成分」4.(5)をご覧頂くとして、ここでは“ダランベール演算子”がリーマン空間ではどうなるかだけ注意しておきます。
 例えば、スカラーφに対するダランベール方程式 □φ=0 は、通常の微分では

と表されるのだが、これは

の共変形式に拡張されねばならない(共変微分の表記法ついては別稿「テンソル解析学」6.(3)1.[補足説明1]を参照)。
 φはスカラーなので、その共変微分は普通の微分と同じ(別稿「テンソル解析学」6.(3)1.[補足説明0]を参照)なので

となります。ここで生じる φ,i“共変ベクトル”なので、その共変微分は

となります。(別稿「基底ベクトル・双対基底ベクトルと反変成分・共変成分」4.(5)5.、あるいは別稿「テンソル解析学」6.(3)3.を参照)
 これを先ほどの式に代入することで、共変形式のダランベール方程式 □φ=0

が得られる。
 リーマン空間におけるスカラー関数にこの微分演算を施したものは、“ベルトラミの第2微分係数”と呼ばれる事もある。このことについては別稿3.(4)4.などをご覧下さい。
 これはリーマン時空における“ダランベール演算子”を考察するときに必要になります。

 

HOME  Maxwell  2.電磁Potential(1)導入(2)gauge条件(3)gauge例  3.相対論(1)4元量(2)不変性  4.tensor(1)T場(2)導入(3)変換(4)tensorとは  5.Max方式(1)旧表(2)新表1(3)新表2  6.応力(1)導入(2)スカラー(3)ベクトル(4)テンソル  7.参考文献

4.電磁場は4×4=16成分の4元テンソル場

)何故テンソル場なのか

 (Ax,Ay,Az,φ/c)から(7)、(8)式

によって定められる電磁場()も、(Ax,Ay,Az,φ/c)が定められている同じ時空点での場の表現を与えます。つまり(jx,jy,jz,ρ)(Ax,Ay,Az,φ/c)が定まっている同じ時空点での6成分からなる場を表すものです。
 電磁場()は6成分から構成されますから、その場は単なる“スカラー場”でも無ければベクトル場”でもありません。S’系での電磁場(E’とH’)の値はアインシュタインが最初に導いたように、S系の同一点でそれぞれを表す電磁場(EとH)から“ローレンツ共変の変換式”に拠って導かれました(別稿「アインシュタインの特殊相対性理論(1905年)」3.(1)を復習されたし)。それはの6成分からなる“ローレンツ変換共変の変換式”ですが、決して4元ベクトルを変換する“ローレンツ変換”そのものではありません。
 別稿「4元速度、4元加速度と4元力」で説明したように、三次元速度三次元力がローレンツ変換共変の変換式に従うが決してローレンツ変換そのものに従って変換されているわけではありませんでした。このとき、三次元速度の時間微分を固有時による微分にして、さらに第4成分としてdt/dτを付け加えて“4元速度”とするとローレンツ変換に従うようになりました。また三次元力も第4成分として仕事率を付け加えて“4元力”にするとローレンツ変換に従うようになりました。
 ならば、6成分からなる電磁場(EとH)も、何らかの新規の見方に拠って、たとえば4×4=16成分“テンソル場”のようなものと見なすことによって、ローレンツ変換に従う様にできないのでしょうか?

 別稿「電磁場の応力(マクスウェルの応力)」2.(3)4.で説明した応力テンソル場の配列は単なる数学的な工夫でしか無いのですが、3×3=9個の量に拠って各点の状況を定める場の一種でした。それと同じように、電磁場も4×4=16個の量に拠って各点の状況を定めるテンソル場と見なそうと言うのです。
 その為にはテンソル場の成分のローレンツ変換とは何を意味するのか見つけなければ成りません。つまりテンソル場の座標変換公式とはどの様な形になるのか見つける必要があります。

 

HOME  Maxwell  2.電磁Potential(1)導入(2)gauge条件(3)gauge例  3.相対論(1)4元量(2)不変性  4.tensor(1)T場(2)導入(3)変換(4)tensorとは  5.Max方式(1)旧表(2)新表1(3)新表2  6.応力(1)導入(2)スカラー(3)ベクトル(4)テンソル  7.参考文献

(2)ローレンツの力の法則

 前項で述べた“テンソル場”の座標変換公式を見つけるには、4元ベクトルである4元力4元速度電磁場(EとH)が関係している物理法則を利用すればよい。
 そのための格好の物理法則が“ローレンツの力の法則”

です。

 4元力の3次元表示は別項「4元速度、4元加速度と4元力」5.(3)で説明したように

でした。ここで、S’系はS系のx軸に沿って速度Vでx軸の正方向へ移動しているとしてます。またその移動速度を電荷の移動速度vと混同しないように大文字の“V”で現しています。上記成分表示式の分母の平方根記号内の座標系の移動速度ではなくて“電荷の移動速度”です。それは座標時を固有時に置き換える関係で出てきた速度なのですから。もちろん電荷の移動速度v座標系の移動速度Vとは何の関係もありません

 まず、この第4成分 t の表現を“ローレンツの力の法則”により電磁場(EとH)3次元速度vによる表現に置き換えると

と成ります(電磁場中で電荷に対して成される仕事が電場によるものしか現れないのは、磁場による力が電荷の移動方向に対してつねに垂直にしか働かないからです)。
 同様にして4元力のすべての成分を書き記すと

となります。最後の項は“4元速度”の表現にしてある。4元速度の 3次元表示4元表示 の関係は別稿「4元速度、4元加速度と4元力」2.(3)を復習されたし。

 これを行列表示すると



となります。ただし、最後の項は行列(4行4列)ベクトル(4行1列)の積の形で表してある。
 このように考えると、電場Eと磁場Hは一緒になって“4元テンソル場”Fijを構成していることが解る。テンソル場には元々別稿「電磁場の応力(マクスウェルの応力)」2.(3)4.で説明した以上の意味はありませんので、これをテンソル場と見なして何の不都合もありません。
 これは、電磁テンソル場の中で運動する荷電粒子には電磁テンソル場によってどの様な力が働くかを示しているベクトル方程式です。

補足説明1
 上記の電磁テンソル場は普通の教科書の表記と少し違いますが、それは4元ベクトルの第4成分の定義を普通の教科書と違って定義していることと、単位系として(MKSA有利化単位系ではなくて)非有利化gauss単位系を用いているからです。
 4元ベクトル量の定義として別稿「4元速度、4元加速度と4元力」6.(1)で説明した右側のものを用い、“ローレンツの力の法則”をMKSA有利化単位系での形に変更すると、普通の教科書の表記と一致することが確かめられます。

補足説明2
 ここで、ベクトルの表現を(4行1列)ではなくて、(1行4列)で現すと

となります。この場合の電磁テンソル場は最初のテンソル場の“転置行列”に成ります。
 これは、別稿「電磁場の応力(マクスウェルの応力)」2.(3)4.でテンソルを導入したとき説明した事情と同じで、行列の積の定義による制約から生じることです。
 そのため、(4行1列)表示と(1行4列)表示の違いが後で出てくるベクトルの“反変ベクトル”表示や “共変ベクトル”表示と関係するわけではありませ。これは単に縦に並べるか、横に並べるかの違いを意味するだけです。その当たりは、4.(4)5.を参照して下さい。

補足説明3
 ちょうど良い機会ですから、“テンソル”(tensor)の説明を岩波「理化学辞典」から引用しておきます。
 “テンソルとは複数の成分をもち,空間の座標変換に対していくつかのベクトルの成分の積に対応した変換をうけるものをいう。”
 例えば3階テンソル ij の変換は

となる。ここで l、m、n のように同じ添字が2度現われる場合は,その添字についての和をとる(縮約)ものと約束(これを“アインシュタインの規約”という)してΣを省略した。
 上の添字がM個,下の添字がN個なら

階テンソルとよばれる。

階テンソルはスカラー

階テンソルはそれぞれ反変ベクトル共変ベクトルであり、

のものはM階反変テンソル(contravariant tensor)N階共変テンソル(covariant tensor)とも呼ばれる。
また一般のテンソルは混合テンソル(mixed tensor)という。
 同種のテンソルの和はやはり同種のテンソルであり、またベクトルの内積を一般化した意味での縮約を上の添字と下の添字の対について行ない、例えば次のように別種のテンソルを作ることができる。

 ベクトルの内積をきめる計量テンソル gij

階テンソルの一種であるが、それと

の関係にある 逆行列 gij を導入すれば、テンソルの添字は、例えば

のように上下できる。
《添字の上げ下げの意味は別稿「基底ベクトル・双対基底ベクトルと反変成分・共変成分」2.(4)~(5)を参照》
 また ij=Tji のとき対称テンソルij=-Tji のとき反対称(交代)テンソルという。
 
《これらの意味の詳細は4.(4)“テンソルとは何か”を参照して下さい。》

 

HOME  Maxwell  2.電磁Potential(1)導入(2)gauge条件(3)gauge例  3.相対論(1)4元量(2)不変性  4.tensor(1)T場(2)導入(3)変換(4)tensorとは  5.Max方式(1)旧表(2)新表1(3)新表2  6.応力(1)導入(2)スカラー(3)ベクトル(4)テンソル  7.参考文献

(3)電磁4元テンソル場のローレンツ変換

 以下の議論では、ベクトルテンソル“成分添え字”の上下の位置も考慮して添え字を付けることにする。

.一般的議論

 前項の結論を用いれば電磁4元テンソル場のローレンツ変換とは何かが判明します。一般的に論じるために前項の“電磁テンソル場”を  で表す事にする。つまり

とします。つまり、これは(11)型の“混合テンソル”を表している。
 また、S系からS’系への“ローレンツ変換”の行列表現とS’系からS系への“ローレンツ逆変換”の行列表現を下記のように記す事にします。逆変換であることを表すために成分表示Lの右肩に-1を付けています

 まず、S’系に於けるローレンツの力の法則を行列表示する。“ローレンツの力の法則”は相対性原理を満たしており、S’系においても同様な方程式で表せるとします。すべての成分に ’ を付けることでS’系での値である事を表しています。
 これをローレンツ変換に拠って変形していく。




となります。
 上記の式変形で用いた[ローレンツ逆変換行列][ローレンツ変換行列]の積が[単位行列]に成ることは、実際に行列の乗算を行ってみれば簡単に確認できます(別稿「特殊ローレンツ変換から一般ローレンツ変換」3.(2)[補足説明3]など参照)。

 右辺の三つの4元テンソルの積は当然のことですがS系での電磁場4元テンソル場に一致しなければ成りません。つまり

と成らねばなりません。
 この両辺の左側から“ローレンツ変換行列”を、右側から“ローレンツ逆変換行列”を乗じる。
 そして左辺に関して

となることを考慮すると、左辺はS’系での電磁4元テンソル場に帰る。そのため以下の式が得られる。

 これが最終的に求めたかった電磁4元テンソル場ローレンツ変換を表す式です。つまり、“電磁4元テンソル”(11)型2階混合テンソル“ローレンツ変換”とは、“電磁4元テンソル”の左側から[ローレンツ変換行列]を乗じ、右側から[ローレンツ逆変換行列]を乗じる事です。

補足説明1
 上記の“ローレンツの力の法則”は相対性原理を満たしており、S’系においても同様な方程式で表せるとします。」の記述についてですが、“ローレンツの力の法則”が相対性原理を満たしているかどうかは先験的に解ることではありません。
 アインシュタインは電磁場のローレンツ変換共変の変換則を導くとき、Maxwell方程式がローレンツ変換不変であることを拠り所にして導きました。そのとき、Maxwell方程式が相対性原理を満たしているかどうかは先験的に保証されたものでは無かったことを思い出して下さい。
 それと同じで取りあえず相対性原理を満たしていると仮定して調べてみようと言うことです。

補足説明2
 ここの証明法から解るように、テンソルに対するこのローレンツ変換手順は、電磁テンソル場以外の任意の4元テンソルに対しても適用できます。つまり4元ベクトル4元ベクトル=Tで結びつける任意の4元テンソル場Tに対して言えます。

補足説明3
 証明過程の途中で出てきた

(11)型2階混合テンソル“ローレンツ逆変換”を示している。
 つまり、“電磁4元テンソル”(11)型2階混合テンソル“ローレンツ逆変換”とは、“電磁4元テンソル”の左側から[ローレンツ逆変換行列]を乗じ、右側から[ローレンツ変換行列]を乗じる事です。

補足説明4
 テンソル“ローレンツ変換”という言い方には注意が必要です。テンソルの成分をS系での値からS’系への値へ変換する“座標変換則”を意味しており、4元ベクトルの座標変換(いわゆるローレンツ変換)と同じ形をしているわけではありません。
 また、後の4.(4)6.で説明するように、もっと違う形の座標変換則で変換される4元テンソルもあります。ここで解ったのは“電磁4元テンソル”(11)型2階混合テンソルの変換則に付いてであることに注意して下さい。
 その当たりを本来のテンソルの定義との対応を見やすくするには、前記の表示を次のようにした方が良いかも知れない。
順方向の変換式

逆方向の変換式

 つまり、添字に ’ を付ける付けないとその上下の位置関係で、それが座標変換前あるいは変化後のテンソルか判別できる。さらに、ローレンツ変換の行列表示もローレンツ変換あるいは逆変換のどちらかが直ちに判別できる。

補足説明5
 この節の説明は何を言っているのか解りにくいと思いますが、別稿「曲面幾何学」3.(2)6.で説明する“テンソルの商法則”の内容そのものです。
 つまり

に於いて f は(1,0)型テンソル、 u も(1,0)型テンソルですから、“テンソルの商法則”により上式で表される T は(p-0,q-1)=(1,0)だからp=1,q=1となって T は(p,q)=(1,1)型テンソルです。
 故に、(1,1)型テンソルとしての座標変換則に従って変換されると言うことです。

 

.具体的確認

 実際にそうなっていることを具体的な成分表示で確認してみます。
 別稿「特殊ローレンツ変換から一般ローレンツ変換」1.(1)に記したローレンツ変換式とその逆変換式により、右辺を計算すると




となる。
 これを、左辺のS’系に於ける電磁4元テンソル場の具体的表現である

と等置すると、アインシュタインか求めた変換式(別稿「アインシュタインの相対性理論(1905年)」3.(1)を参照)

が確かに成り立っていることが確認できる。
 ここで注意して欲しいのは、アインシュタインが導いた式のvは電荷の移動速度ではなくて“座標系の移動速度”だった事です。だからアインシュタインが導いた式と比較するときは、アインシュタインの電磁場変換式のvをVで置き換えて比較しなければ成りません。もちろんβ中のvについても同様です。
 “4元ベクトル”を導入すると、“物体(電荷)の移動速度”“座標系の移動速度”が錯綜して現れますがくれぐれも両者を混同しないで下さい。

補足説明1
 ここでは特殊ローレンツ変換の場合で確認しましたが、別稿で求めた一般ローレンツ変換を用いると、電磁テンソル場のより一般的なローレンツ変換公式が得られます。

 

HOME  Maxwell  2.電磁Potential(1)導入(2)gauge条件(3)gauge例  3.相対論(1)4元量(2)不変性  4.tensor(1)T場(2)導入(3)変換(4)tensorとは  5.Max方式(1)旧表(2)新表1(3)新表2  6.応力(1)導入(2)スカラー(3)ベクトル(4)テンソル  7.参考文献

(4)テンソルとは何か

.テンソルの定義

 テンソルとは或る座標点(時空点)に於けるベクトルを同じ座標点(時空点)に於ける別なベクトルに変換する関数の様なものでした。もう少し具体的に言うとそのテンソルとベクトルの内積を作って新たなベクトルB=TAを構成するようなもので、行列で表して行列の積の定義を利用すと旨く表せる様な量のことでした。もちろんテンソルTはベクトルAやベクトルBと同じ座標点(時空点)の各点で定義されているある種の場を表します。この当たりは別稿「電磁場の応力(マクスウェルの応力)」2.(3)4.で説明した所です。
 そのときB=TAは一つの“ベクトル方程式”となり、一つの“物理的法則”を表します。ここで相対性理論により、あらゆる物理法則は座標変換(ローレンツ変換)に対してその形を変えない“相対性原理”を満たしているべきです。
 そのため、4.(3)1.で説明したようにテンソルは座標変換に対して

の様に変換されるべきものでした。
 ならば、逆にこのようなやり方の座標変換によって変換されるものをテンソルと定義しても良いでしょう4.(3)[補足説明3]で引用したテンソルの定義はまさにそのことを言っています。

 “テンソルとは複数の成分をもち,空間の座標変換に対していくつかのベクトルの成分の積に対応した変換をうけるものをいう。”
 例えば3階テンソル ij の変換は

となる。ここで l、m、n のように同じ添字が2度現われる場合は,その添字についての和をとる(縮約)ものと約束(これを“アインシュタインの規約”という)してΣを省略した。

 

.4元電磁テンソル場はテンソル定義を満たしている

 4元電磁テンソル場がその定義を満たしていることを確認します。ここでの説明は別稿「特殊ローレンツ変換から一般ローレンツ変換へ」3.(2)で説明した一般ローレンツ変換を用います。

 ベクトルは或る時空点に於ける粒子の4元速度ベクトルであり、それは以下のように座標変換(ローレンツ変換)された。

同様に、ベクトルは同じ時空点に於ける(先の4元速度を持つ)粒子に働く4元力ベクトルで、以下のように座標変換(ローレンツ変換)される。

 所で、時空座標そのものは次のように変換された。

そのため座標変換の行列要素を

と置くことが出来る。この表現を用いるとローレンツ変換の行列要素は

と置くことが出来る。
 またローレンツ逆変換

だから、その行列表現は

となる。
 このとき、座標成分反変成分であり、座標の偏微分成分共変成分だった事をエモいだれたし。そのためローレンツ変換も、ローレンツ逆変換混合テンソルに成ります。
 そのため、すでに出てきたローレンツ変換、ローレンツ逆変換はすべて混合テンソル表現で書かれていたのです。

 これらの表現を用いると電磁テンソル場のローレンツ変換は[拡大版

となる。
 文字表示を解りやすくするために(x,y,z,t)→(xx,xy,xz,xt)、(x’,y’,z’,t’)→(x’x,x’y,x’z,x’t)と置くことにし、かつ行列要素の計算式を4.(2)[補足説明2]で説明したsummation記号“Σ”を使った表示にすると各行列要素は

となる。

 さらに、重なった添え字に付いて和を取る“Σ”記号を省略する“アインシュタインの規約”に従った表示にすると

となり、まさに

(“2階混合テンソル”)の定義を満たしていることが確認できる。

 

.その他のテンソル

 4.(2)[補足説明3]の定義に従って様々なテンソルが得られる。たとえば、本稿で議論している“4元力ベクトル”“4元速度ベクトル”の座標変換は

となるので、

です。
 そのとき、これらを横に並べて表示したものの座標変換は

となるだけで、やはり

でテンソルの共変・反変は変わりません。
 後で解りますが、4元力ベクトルが

となる共変表示は

のようにして求まります。この当たりの共変反変の変換は4.(4)5.を参照して下さい。
 また、別稿「ミンコフスキーの4次元世界」4.(2)5.[補足説明]もご覧下さい。ただし、そこでは4元ベクトルの定義や計量テンソルの定義がここと異なりますので、表示形が少し違っています。そこでは3章の最初で注意した対応表の左側の定義を用いていたからです。

補足説明
 それでは、3階のテンソルや4階のテンソルとはどの様なものであろうか。
 本稿で説明したベクトルA(1階テンソル)をベクトルB(1階テンソル)に変換するものが《2階のテンソル》Tであったから、《3階のテンソル》とはベクトル(1階テンソル)を2階テンソルに変換したり、逆に2階テンソルをベクトル(1階テンソルに変換するようなものです。
 その様に考えれば、《4階のテンソル》とは2階テンソルを2階テンソルに変換、あるいは1階テンソルを3階テンソルに変換、あるいは3階テンソルを1階テンソルに変換する様なものだと言えます。
 
 この当たりは“テンソルの商法則”と言われるものが関係するところで、別稿「曲面幾何学」3.(2)6.や、別稿「ミンコフスキーの4次元世界」3.(4)などをご覧頂ければ解ります。つまり、テンソルとはテンソルの商法則を満たすようなものだと定義することもできます。
 
 そのときテンソル同志を乗じて“縮約”する操作ベクトルの“内積”の操作を拡張したようなものです。なぜならベクトル1階テンソルそのものだったからです。つまり《1階のテンソル》とは、ベクトル(1階テンソル)に作用して(内積の操作により)0階のテンソル(スカラー)を生じる様なものだったからです。

 

.反変ベクトルと共変ベクトル

 テンソルの定義の中に“共変”“反変”といった分けのわからない概念がでてきましたが、それは4.(2)[補足説明3]で説明しましたように4元ベクトルが従う座標変換の違いによって決まります。
 反変共変を根本的に理解するには別稿「基底ベクトル・双対規定ベクトルと反変成分・共変成分」1.(3)~2.(1)をご覧下さい。

例1
 普通の“ローレンツ変換行列”との積に従って変換されるものが、反変ベクトルでした。すなわち変換行列が

であるものです。
 
 ちなみに別稿「4元速度(4元運動量、4元電流密度)、4元加速度と4元力」で説明した“4元変位、4元速度、4元運動量、4元電流密度、4元加速度、4元力”はすべて“ローレンツ変換行列”との積に従って変換されましたから、すべて“反変ベクトル”です。
 
 実はこれらのベクトルには“共変ベクトル”表示もあるのですが、そのことは[補足説明3]で説明します。

 今後は“反変ベクトル”を表すのに指標を右上に付け、“共変ベクトル”を表すのに指標を右下に付けることにします。そのときのベクトル表示が(1行4列)の横表示であろうと、(4行1列)の縦表示であろうと指標の位置は変わりません。

例2
 例えば、

に於いて、左側の形で行列表示した反変ベクトルを座標変換するとき、つまり [(1行4列)の横表示した“反変ベクトル”の場合は右側から[ローレンツ変換行列の転置行列]をかけることになります。

例3
 次に、共変ベクトルの定義とは何なのでしょうか。その例はすでに出てきています。3.(1)[補足説明3]で出てきた4元座標微分演算

がそうです。
 
 4元(反変)座標の微分演算と同じ様に、座標変換に際して“ローレンツ逆変換の転置行列”との積に従って変換されるもの、すなわち

に従って変換されるものを共変ベクトルと定義します。

例4
 ここで、補足しますと上記の組み合わせを下記のように変形することもできます。上記の[例3]反変座標での微分演算でしたが、共変座標での微分演算と見なすわけです。
 ただし、現段階では反変座標と共変座標の関係を説明していませんので、以下の議論を理解するのは難しいと思います。詳細は「基底ベクトル・双対基底ベクトルと反変成分・共変成分」を学習された後に振り返られるしかないのですが、取りあえず、ミンコフスキー時空に於ける反変座標と共変座標の関係は3.章の最初一覧表と二番目の一覧表でご確認ください。

この形にして見れば明らかなように、4元(共変)座標の微分演算

は座標変換に際して“ローレンツ変換”との積に従って変換されますから反変ベクトルと見なせます。

例5
 さらに、

に於いて、左側の形で行列表示した共変ベクトルを座標変換するとき、つまり [(1行4列)の横表示した“共変ベクトル”の場合は右側からローレンツ逆変換の転置行列の転置行列]すなわち[ローレンツ逆変換行列]をかけることになります。
 このあたりはすでに説明した幾つかの例(3.(1)[補足説明3]3.(2)[補足説明3])で行っていますのでそれらを復習して下さい。
 
 このときのローレンツ逆変換の転置行列は(L-1と表されますが、これはローレンツ変換Lミンコフスキー時空計量テンソルGと以下の様な関係にあります。

 このことは別稿「特殊ローレンツ変換から一般ローレンツ変換へ」3.(3)[補足説明3]で説明しました。それ以外にも重要な関係式をそこで説明しましたから適宜参照して下さい。

補足説明1
 f(x,y,z,t)=f(x’,y’,z’,t’)をS系とS’系の同一点で定義されているスカラー場とすると、それを(反変)座標で偏微分したベクトル(∂f/∂x,∂f/y,∂f/∂z,∂f/∂t)つまりスカラー場 f の4元勾配ベクトルは座標変換に於いて“ローレンツ逆変換行列の転置行列”で変換されます。このことは偏微分の座標変換に伴う表現に帰ってみれば明らかです。

だから、(反変)座標で偏微分したベクトル(∂f/∂x,∂f/y,∂f/∂z,∂f/∂t)つまり“スカラー場 f の4元(反変)勾配ベクトル”“共変ベクトル”の代表例です。
 
 ここで補足しますと、[例4]説明しましたように(共変)座標での偏微分演算はある意味反変ベクトルとみなすことができました。だから(反変)座標で偏微分したベクトル(∂f/∂x,∂f/y,∂f/∂z,(-1/c)∂f/∂t)つまり“スカラー場 f の4元(共変)勾配ベクトル”“反変ベクトル”の代表例です。実際

となり、“ローレンツ変換”で変換されます。

補足説明2
 ベクトルに関して説明した反変・共変の定義は2階テンソルに関してもそのまま成り立ちます。4.(3)で導入した電磁4元テンソル場は4.(4)2.で説明したように2階混合テンソルであると言いました。実際、電磁4元テンソル場の座標変換則は

で表されましたが、左からローレン変換行列を右側からローレンツ逆変換行列をかけています。このとき右側からかけた為に見かけ上“ローレンツ逆変換行列の転置行列”“転置行列”、即ちただの“ローレンツ逆変換行列”をかけることになったのです。
 その当たりは、行列要素の計算式を4.(2)[補足説明2]で説明したsummation記号“Σ”を使った表示で見ると、ちゃんと混合テンソルの変換に成っていることが解ります。

補足説明3
 本稿の段階で説明すると混乱するので取り上げたくはないのですが、今後の見通しをよくするために補足しておきます。
 
 先ほど
 『“4元変位、4元速度、4元運動量、4元電流密度、4元加速度、4元力”はすべて“ローレンツ変換行列”との積に従って変換されましたから、すべて“反変ベクトル”です。』
と説明しましたが、実際には
 『“4元変位、4元速度、4元運動量、4元電流密度、4元加速度、4元力”ですべて“ローレンツ逆変換の転置行列”との積に従って変換されるものもあります。つまり、“共変ベクトル”の場合もあります。』
 さらに、今から様々な階数の共変や反変のテンソルが出てきますが、それらの反変テンソルに対応して共変テンルソが、共変テンソルに対応して反テンソルが存在します。
 つまり反変か、共変かは同じ物理量の異なった成分表現形式でしかないのです。その両者は同じ物理量の異なった表現形式でしかありません。だからこそ、計量テンソルに依って互いの表現形式は移り変わることができます。そして、“計量テンソル”こそが、同じ物理量なのに反変表示と共変表示があらわれる事になった時空間の特徴を表すテンソルです。
 
 
 このように言いましても、本稿の段階では、なぜ反変と共変の違いが生じるのか、また反変と共変とは何かを説明していませんので、何のことか解らないと思います。
 このことにつきましては、別稿「基底ベクトル・双対基底ベクトルと反変成分・共変成分」1.(3)とその続きの2.(1)~(7)を学ばれてから本稿を振り返られて下さい。そこまで学ばれましたらなば座標変換の意味も計量テンソルの意味もすべて明らかになると思います。
 
 ただし、上記の稿では一般相対性理論のための準備の説明なので、時空間の場所と共に計量テンソルが変化する一般的な場合で説明しています。しかし、本稿のミンコフスキー時空間の計量テンソルは全時空領域で同一なものが利用できます。
 ミンコフスキー時空の計量テンソルとは、時間座標と空間座標の間の特別な関係を特徴づけるものです(それを簡潔に言えば、『光速度が常に一定に成る様に時間と空間の座標が関係付けられている』と言うことです)。
 一般相対性理論の計量テンソルはそれをさらに拡張したものです。つまり一般相対性理論の計量テンソルの特殊な場合(つまり質量・エネルギーによる時空間のゆがみが無視できる場合)がミンコフスキー時空間の計量テンソルです。

 

.ベクトルの反変・共変の変換と計量テンソル

[例1]
 別項「特殊ローレンツ変換から一般ローレンツ変換へ」3.(3)[補足説明3]で説明した計量テンソルGとローレンツ変換テンソルLの性質を利用すると反変ベクトルを共変ベクトルに変換するには元の反変ベクトルに計量テンソルGを乗じておけば良いことが解る。
 実際、反変4元ベクトルで表し、それをローレンツ変換したものをA’で表して、その変換式の両辺にGをかけると

となる。ただしローレンツ変換行列を表す。
 これは“反変4元ベクトル”A左側から計量テンソルGをかけたもの GA“ローレンツ逆変換の転置行列”によって新たな座標での4元ベクトルに変換されることを意味している。つまり GA は “共変4元ベクトル” となる。

[例2]
 (1行4列表示)した反変4元ベクトルの場合は右側から計量テンソルG を乗をじたものが共変ベクトルになります。なぜなら(1行4列表示)した反変4元ベトクルのローレツン変換は右から を乗じることになるからです。実際

となりますから、(1行4列表示)した AG が共変4元ベクトルの変換式に従っていることが解ります。

[例3]
 全く同様にして、共変4元ベクトルで表し、それにローレンツ逆変換の転置行列で新しい座標系での4元ベクトルB’に変換したとする。そのとき

となる。
 これは“共変4元ベクトルB”左側から計量テンソルの逆行列G-1をかけたもの -1“ローレンツ変換”によって新たな座標での4元ベクトルに変換されることを意味している。つまり -1 は “反変4元ベクトル” となる。

[例4]
 (1行4列表示)した共変4元ベクトルの場合は右側から計量テンソルの逆行列-1 を乗をじたものが反変ベクトルになります。なぜなら(1行4列表示)した共変4元ベトクルのローレツン変換は右から (L-1 の転置行列 -1 を乗じることになるからです。実際

となりますから、(1行4列表示)した BG-1 が反変4元ベクトルの変換式に従っていることが解ります。

 以上をまとめると、反変4元ベクトルに“計量テンソル”を乗じると共変4元ベクトルになり、共変4元ベクトルに“計量テンソルの逆行列テンソル”を乗じると反変4元ベクトルになる事が解る。

補足説明1
 別項「特殊ローレンツ変換から一般ローレンツ変換へ」3.(3)[補足説明1]で説明したミンコフスキー4次元時空の4元座標ベクトルローレンツ変換に従って新しい座標系の値に変換されましたから、これは[反変ベクトル]です。
 そのとき、[4次元座標ベクトル][同じ4次元座標ベクトルに計量テンソルをかけたもの]の積は[反変ベクトル][共変ベクトル]の内積となります。

そのとき、これは座標変換で変わることのないスカラーと成るのでした。そのことは簡単に証明できました。

 二つの4元ベクトルがそれぞれにローレンツ変換に関わる性質と整合性を保つために上記の様に右側からかける4元ベクトルを共変ベクトルにしておかねば成らなかった。内積の結果得られるスカラーをΣを使った表現、さらにアインシュタインの縮約表現にすると

となり、上下が互いに対角の位置にある添え字 についての和を取ることになっている。
 
 3.(2)[補足説明3]でダランベール演算子を含んだ電磁ポテンシャルの非同次波動方程式の行列表現に於いて微分演算子の内積の間に計量テンソルの逆行列G-1を挟んでおかねば成らなかったのも同じ理由です。
 また、そのときの電磁ポテンシャル(Ax,Ay,Az,φ/c)と4元電荷密度(jx,jy,jz,ρ)は添え字を下に付けていますが、反変4元ベクトルですから、本当は添え字を上に付けるべきだったことに注意して下さい。

 

.混合テンソル・反変テンソル・共変テンソル

 2階テンソルに付いても同様に反変、共変、混合テンソルが定義出来ます。

[例1]
 まず混合テンソルですが、4.(4)4.[補足説明1]で説明した様に、4.(2)で導入した“電磁4元テンソル場”がその例です。

[例2]
 混合テンソルの例として、反変ベクトルA=(Ax,Ay,Az,At)と共変ベクトルB=(Bx,By,Bz,Bt)の“直積”があります。実際

となりますが、これは(次に示す様に)確かに、2階混合テンソルの変換規則に従って座標変換されます。

[例3]
 このとき反変ベクトルA=(Ax,Ay,Az,At)と共変ベクトルB=(Bx,By,Bz,Bt)のかける順番を入れ替えた“直積”もあります。この場合

となります。これも確かに、2階混合テンソルです。しかし、 の添え字の上下が先ほどの の上下と入れ替わっていることに注意して下さい。添え字の位置の上下入れ替わりは重要です。座標変換の変換則の形が異なるからです。実際、この混合テンソルの座標変換規則は

となります。
 同じ2階混合テンソルと言っても前者の場合と座標変換規則が異なります。両者の違いは行列要素に付けた添え字の上下の位置関係が逆転していることで読み取れます。

[例4]
 同様に考えれば、反変ベクトルA=(Ax,Ay,Az,At)と反変ベクトルC=(Cx,Cy,Cz,Ct)の“直積”2階反変テンソルとなります。

これの座標変換則は

となります。
 この場合添え字 が両方とも右上に付けられていることに注意して下さい。添え字の位置関係とテンソルの座標変換則が対応しています。

補足説明1
 別稿「特殊ローレンツ変換から一般ローレンツ変換へ」3.(3)[補足説明3]で説明したように 計量テンソルの逆行列G-1

の性質を満たします。
 これは 計量テンソルの逆行列G-1 は座標変換に対して2階反変テンソルとして振る舞う事を示しています。すなわち-12階反変テンソル です。
 だからこそ。4.(4)5.で述べた様に任意の共変ベクトルにG-1をかけると、[G-1の上付き添え字][G-1をかけられたテンソルの下付添え字]が縮約されて[上付き添え字]の反変ベクトルに成ったのです。 

[例5]
 さらに、、共変ベクトルB=(Bx,By,Bz,Bt)と共変ベクトルD=(Dx,Dy,Dz,Dt)の“直積”2階共変テンソルとなります。

これの座標変換則は

となります。
 この場合添え字 が両方とも右下に付けられていることに注意して下さい。添え字の位置関係とテンソルの座標変換則が対応しています。

補足説明2
  別稿「特殊ローレンツ変換から一般ローレンツ変換へ」3.(3)[補足説明3]で説明したように 計量テンソル行列G

の性質を満たします。
 これは 計量テンソル行列G は座標変換に対して 2階共変テンソル として振る舞う事を示しています。すなわち2階共変テンソルです。
 だからこそ。4.(4)5.で述べた様に任意の反変ベクトルに をかけると、[Gの下付き添え字][Gをかけられたテンソルの上付添え字]が縮約されて[下付き添え字]の共変ベクトルに成ったのです。

[補足説明3] 
 ここで、 “計量テンソル行列”G“計量テンソルの逆行列”G-1 の座標変換に付いて重要な注意をしておきます。
 G=〔gij〕 や -1=〔gij は空間そのものの性質をあらわしており、“ミンコフスキー時空”ではその中での座標系の取り方で変化するようなものではありません。つまり、座標に関係しない定数です。
 しかし、一般相対性理論で取り扱うより一般的な時空間である“リーマン時空”では、 G も G-1 も座標変換と共に変化します。つまり、その行列要素は座標の関数で座標値と共に変化します。だから座標変換すれば当然それに伴って変化します。例えば、球対称の重力場に於ける計量であるシュワルツシルド計量なども極座標表示と直交座標表示でその成分表示が全く異なる(あるいはこちらを参照)事などから解ります。
 このことに付いては別稿「曲面上の幾何学」3.(2)2.[補足説明2]を参照されて下さい。

 

.2階テンソルの 反変性・共変性 の変換と計量テンソル

 テンソルに “計量テンソル” G“計量テンソルの逆行列テンソル” G-1 を乗じることで、テンソルの添え字を下げたり上げたりできます。そのとき、左側から乗じると左側の添え字が、右側から乗じると右側の添え字が上げ下げされます。

 添え字の上げ下げに付いて幾つか例を挙げて説明します。証明には別稿「特殊ローレンツ変換から一般ローレンツ変換へ」3.(3)[補足説明3]で説明した関係式を用いればよい。

[例1]
 2階混合テンソルT右側から -1 を乗じた TG-12階反変テンソルTij となることは以下のようにして解ります。
 
 まず 2階混合テンソルT

で新しい座標系へ変換されます。
 このときTG-1 が新しい座標へ変換されるときの変換則は

となります。これは TG-12階反変テンソルTij の変換則に従って変換されていることを示している。

[例2]
 2階反変テンソルVij右側から を乗じた VG2階混合テンソルV となることは以下のようにして解ります。
 
 まず2階反変テンソルVij

で新しい座標系へ変換されます。
 このとき、VG が新しい座標へ変換されるときの変換則は

となります。これは VG2階混合テンソルV の変換則に従って変換されていることを示している。

[例3]
 2階共変テンソルWij左側から -1 を乗じた -12階混合テンソルW となることは以下のようにして解ります。
 
 まず2階共変テンソルWij

で新しい座標系へ変換されます。
 このとき、-1 が新しい座標へ変換されるときの変換則は

となります。これは -12階反変テンソルW の変換則に従って変換されていることを示している。

[例4]
 2階共変テンソルWij右側から -1 を乗じた WG-12階混合テンソルW となることは以下のようにして解ります。
 
 まず2階共変テンソルWij

で新しい座標系へ変換されます。
 このとき、WG-1 が新しい座標へ変換されるときの変換則は

となります。これは WG-12階混合テンソルW の変換則に従って変換されていることを示している。

他の組み合わせについても同様に証明できます。

 

HOME  Maxwell  2.電磁Potential(1)導入(2)gauge条件(3)gauge例  3.相対論(1)4元量(2)不変性  4.tensor(1)T場(2)導入(3)変換(4)tensorとは  5.Max方式(1)旧表(2)新表1(3)新表2  6.応力(1)導入(2)スカラー(3)ベクトル(4)テンソル  7.参考文献

5.Maxwell方程式

)Maxwell方程式

 2.(3)1.で説明したMaxwell方程式を以下の様に並べてみると

及び

の二つのグループに分けられる。

 

HOME  Maxwell  2.電磁Potential(1)導入(2)gauge条件(3)gauge例  3.相対論(1)4元量(2)不変性  4.tensor(1)T場(2)導入(3)変換(4)tensorとは  5.Max方式(1)旧表(2)新表1(3)新表2  6.応力(1)導入(2)スカラー(3)ベクトル(4)テンソル  7.参考文献

(2)Maxwell方程式の4元テンソル表現( アンペール(ビオ=サバール)法則 + ガウスの法則 )

 前節二つのグループのうち前者は4.(2)で導いた電磁場テンソルと旨く対応しているので、直ちに以下の行列形式の方程式であることが解る。



 このとき、4元電流密度ベクトルとして3.章右側の定義を採用している本稿では行ベクトル表示の右側にもミンコフスキー時空計量テンソル を乗じておかねば成りません。このように計量テンソルを用いて反変と共変の性質を変換しておかないと方程式の係数も旨く合いませんし、ローレンツ変換不変の方程式表現に成りません。

そのようにしておくとベクトルとテンソルの積に伴う縮約により、両辺共に1階の共変ベクトルになります。

 ここは非常に解り難いところです。まず、電磁場テンソルが(1,1)型混合テンソルになることは4.(2)“ローレンツの力の法則”で説明した

から解ります。
 そのように電磁場テンソルが(1,1)型混合テンソルならば、共変ベクトルである微分演算と縮約した左辺は共変ベクトルになります。だから右辺も共変ベクトル表示の4元電流密度でなければ成らない。そのために右辺には計量テンソルが掛かっているのです。

 前述の4元テンソル方程式(実際はベクトル方程式)がローレンツ変換不変の方程式であることは直ちに解ります。



補足説明1
 上記では右辺の右側から計量テンソルをかけた形の方程式にしたが、この両辺の右側から計量テンソルの逆行列-1 を乗じた下記の形でも良い。このようにすると電磁場4元テンソルは2階反変テンソルになりますが、方程式の係数も旨く変換されてつじつまが合っていることに注意して下さい。普通の教科書では、この形の記述が多い。

 実際、この形でも

となり、元の方程式系と同じであることが解ります。
 この形のとき、これがローレンツ変換不変式であることの確認は以下のようになる。

補足説明2
 2階混合テンソル

の左側からミンコフスキー時空計量テンソル(2階共変テンソル)

を乗じると、2階共変テンソルが得られます。

このようにできることは、4.(4)7.で説明しました。
 説明がかなり錯綜してきましたので、電磁場テンソルの成分をij,Fij,F,F の様に右側に付ける指数の上下で表して電磁場テンソルの表現をまとめておきます。




 
 後で解りますが、これらの中で は特に重要です。また、ここで  は異なった表現になることに注して下さい。これらは下記の変換によって互いに関係づけられています。

 
 このとき、ij,Fij は“交代(反対称)テンソル”ですが、,F は“交代(反対称)テンソル”でもなければ“対称テンソル”でもないことに注意して下さい。ただし、とF の関係は互いに転置して符号を逆にしたものになっています。
 
 更に ij,Fij,F の成分表示は、3.で述べた4元ベクトルや計量テンソルの定義の違い、別稿4.(1)1.[補足説明2]で述べたds2の定義の違い、用いている単位系の違い、等々により異なります。このことは、例えば別稿4.(2)6.[補足説明2]などの表現と比較してみられると解ります。

補足説明3
 [補足説明1]で導いた“テンソル方程式”
 
を用いて表すと、


となります。ここで指数 i についての縮約に“アインシュタインの規約”を適用しています。

補足説明4
 更に補足します。上記の形で表した(1)(4)式は4元ベクトル方程式と見なせるので、この両辺の4元divを取ると


となります。これは、別稿「マクスウェルによるアンペールの法則の拡張」(2)で説明したMaxwell方程式(1)(4)式が電荷保存則と等価であることの相対論的な導出です。このことは、別稿「ミンコフスキーの4次元世界」4.(2)4.ですでに説明しています。
 この当たりに付いては別稿「電磁場の非同次波動方程式」3.(2)3.[補足説明1]も参照されて下さい。

 

HOME  Maxwell  2.電磁Potential(1)導入(2)gauge条件(3)gauge例  3.相対論(1)4元量(2)不変性  4.tensor(1)T場(2)導入(3)変換(4)tensorとは  5.Max方式(1)旧表(2)新表1(3)新表2  6.応力(1)導入(2)スカラー(3)ベクトル(4)テンソル  7.参考文献

(3)Maxwell方程式の4元テンソル表現( ファラデーの電磁誘導の法則 + divH=0 )

 次に、(1)節で説明した二つのグループの後者について考える。

を変形していくと




となります。
 この表現はとても解りにくいが、(0,1)階共変テンソル(1階共変ベクトル)と(0,2)階共変テンソルの“直積”から作られる(0,3)階共変テンソル“テンソル方程式”を表している。
 このテンソルは4×4×4=64個の成分を持ちます。その(i,j,k)成分ki+∂ik+∂ji であるということです。そして、上記のテンソル方程式は、その全ての成分が 0 であることを示している。
 このとき、テンソル方程式の形から解るように64個成分それぞれが一つのテンソル方程式の1成分ですから方程式が64個あることになります。ただし、64個の方程式の内で独立なのは4個だけです。それは(i,j,k)として(1,2,3)(1,2,4)(1,3,4)(2,3,4)を持つものです。そうなることは別稿「ミンコフスキーの4次元世界」4.(2)2.[補足説明2]を、あるいは別稿「対称テンソルと反対称テンソルの独立成分の数」2.(2)を参照して下さい。この独立な4個が前記のMaxwell方程式の4式に相当します。
 その3階共変テンソル(テンソル方程式の成分)を ijk と表すと、これは

に従って新しい座標系に変換されます。
 そのとき ijk=0 が成り立てば座標変換した新しい座標系に於いても

が成り立ちますから、上記のテンソル方程式はローレンツ変換に対して不変となります。これは、テンソル T の全成分が 0 の場合、 の成分はどの座標系に置いても全て 0 であるというテンソルの重要な性質を表している。

補足説明1
 2階共変テンソルFij は交代(反対称)テンソルだったので ij=-Fji が成り立ちます。これを微分して得られる ij も共変ベクトルと2階共変テンソルの“直積”ですから、当然3階共変テンソルTijk となります。このことは別項「ミンコフスキーの4次元世界」3.(3)3.“乗法”を参照して下さい。“直積”の意味は4.(4)6.を参照して下さい。
 このとき下記の様にkijの指標を循環的に入れ替えたものを加え合わせた

も、当然3階共変テンソルの(i、j、k)成分とみなすことができます。このことは別項「ミンコフスキーの4次元世界」3.(3)1.“加法・減法”を参照して下さい。
 しかも、この3階共変テンソルTijk はijkの指数の任意の組を入れ替えると符号が変わる“完全交代テンソル”(完全反対称テンソル)です。このことの証明は別稿「ミンコフスキーの4次元世界」3.(9)3.[補足説明1]を参照して下さい。

補足説明2
 ここで、次の事に注意して下さい。ijk3階共変テンソルなので2階テンソルの様に“行列表現”で表すことはできません。また、そのテンソル方程式5.(2)[補足説明3]の様に列ベクトル(演算子)と行列の積の形で表すこともできません。
 つまり、いままで用いてきた“行列表現”は便利で解りやすいのですが、3階以上の高階のテンソルを取り扱わなければならない一般相対性理論の世界では破綻します。やがて破綻しますが、それが使える範囲ではとても便利で解りやすい表現法なので、使えるところには利用していきます。次章でも威力を発揮します。

補足説明3
 ここで取り上げた2つのMaxwell方程式[ファラデーの電磁誘導の法則 と divH=0]は、Maxwellが“Treatiseの§615”に書き残した深謀遠慮に関係します。
 実際のところ、別稿「ミンコフスキーの4次元世界」4.(2)2.[補足説明3]で説明するように、Maxwell方程式[ファラデーの電磁誘導の法則 と divH=0]をまとめた前述の3階テンソル方程式は、電磁ポテンシャルによる電磁場の定義式[2.(3)1.の(7)と(8)式]から演繹的・恒等的に直接導かれます
 そのためこの3階テンソル方程式は電磁ポテンシャルによる電磁場の定義式で代用できます。相対論的な方程式としてはそちらの方が見通しが良いかもしれません。もちろん物理的な意味の明瞭さにおいては、元々の ファラデーの電磁誘導の法則 と divH=0 の方が優れているのは確かです。
 この当たりについては別稿「電磁場の非同次波動方程式」3.(2)3.も参照されて下さい。

 

HOME  Maxwell  2.電磁Potential(1)導入(2)gauge条件(3)gauge例  3.相対論(1)4元量(2)不変性  4.tensor(1)T場(2)導入(3)変換(4)tensorとは  5.Max方式(1)旧表(2)新表1(3)新表2  6.応力(1)導入(2)スカラー(3)ベクトル(4)テンソル  7.参考文献

6.電磁場の[応力・運動量・エネルギーテンソル]

)導入

 別稿「電磁場のエネルギー密度とポインティングベクトル」2.(3)[補足説明3]《電磁場のエネルギー収支》を表す“スカラー方程式”を説明した。また、別稿「電磁場の応力(マクスウェルの応力)」3.(3)5.[補足説明1]《電磁場の運動量の収支》を表す“ベクトル方程式”を説明した。そして、互いの関係はそれぞれの[補足説明]の中で注意しました。
 これらの方程式の構成要素をよくよく眺めてみて、さらに本稿3.(2)で説明した非同次波動方程式(ベクトル方程式+スカラー方程式)の4元化や、4.(2)で説明した“ローレンツ力の法則”の4元化のプロセスを振り返れば、上記の“スカラー方程式”“ベクトル方程式”は4元的に統合されて、4元方程式となり、ローレンツ変換不変方程式を構成するのではないかと予想される。
 実際、そうであることを以下で確認する。そのためにまず、上記引用元の方程式を本稿で用いている“非有利化Gauss単位系”で導き直しておきます。そのとき磁場としてではなくてを用います。このようにするのはすでに述べたようにランダウ・リフシュツ著『場の古典論』との対応を考慮してのことです。

 

HOME  Maxwell  2.電磁Potential(1)導入(2)gauge条件(3)gauge例  3.相対論(1)4元量(2)不変性  4.tensor(1)T場(2)導入(3)変換(4)tensorとは  5.Max方式(1)旧表(2)新表1(3)新表2  6.応力(1)導入(2)スカラー(3)ベクトル(4)テンソル  7.参考文献

(2)電磁場エネルギー収支のスカラー方程式

 別稿「電磁場のエネルギー密度とポインティングベクトル」2.(3)の結論を非有利化Gauss単位系で導き直す。
 非有利化Gauss単位系でのMazwell方程式の(2)と(4)式を用いる。

ここで、・(4’)式+・(2’)式の辺々を足し算する。このとき利用するベクトル微分演算は別ページの引用を参照。

非有利化Gauss単位系でPoyntingベクトルや電磁場のエネルギー密度が上記で表される事は別稿4.(3)3.を参照。
成分表示にすると

となります。
 さらに電流密度 をρで置き換える表示も可能です。もちろん =(vx,vy,vz)は電流密度要素の移動速度ベクトルです。

 

HOME  Maxwell  2.電磁Potential(1)導入(2)gauge条件(3)gauge例  3.相対論(1)4元量(2)不変性  4.tensor(1)T場(2)導入(3)変換(4)tensorとは  5.Max方式(1)旧表(2)新表1(3)新表2  6.応力(1)導入(2)スカラー(3)ベクトル(4)テンソル  7.参考文献

(3)電磁波運動量収支のベクトル方程式

 別稿「電磁場の応力(マクスウェルの応力)」3.(3)5.の説明をGauss単位系で議論し直すと、Maxwell応力テンソルは

となります。
 時間的な変化をする電磁場内の任意の体積領域Vの表面に働くMaxwellの応力の表面積分を考えます。つまり

のそれぞれのベクトル成分の表面力の和を計算する。
 Maxwellの応力テンソクの各行をそれぞれ一つのベクトルと見なしたとき、そのベクトルと領域表面の面要素dSの内積を領域表面全体にわたって表面積分します。さらにその表面積分をベクトル解析におけるガウスの定理により体積積分に直します。




微少体積要素dVに対する微分型の方程式にすると

となる。
 さらに電流密度 をρで置き換える表示も可能です。もちろん =(vx,vy,vz)は電流密度要素の移動速度ベクトルです。

 

HOME  Maxwell  2.電磁Potential(1)導入(2)gauge条件(3)gauge例  3.相対論(1)4元量(2)不変性  4.tensor(1)T場(2)導入(3)変換(4)tensorとは  5.Max方式(1)旧表(2)新表1(3)新表2  6.応力(1)導入(2)スカラー(3)ベクトル(4)テンソル  7.参考文献

(4)方程式の統合と4元化

 前節と前々節の結論を一緒に並べてみると

となる。
 この方程式の意味は別稿「電磁場のエネルギー密度とポインティングベクトル」2.(3)[補足説明3]《電磁場のエネルギー収支》を表す“スカラー方程式”と、別稿「電磁場の応力(マクスウェルの応力)」3.(3)5.[補足説明1]《電磁場の運動量の収支》を表す“ベクトル方程式”の説明で尽くされています。空間次元に付いてはベクトル方程式として、時間次元に付いてはスカラー方程式として別個に解釈すればよい。
 これを行列表示の方程式にすると

となります。
 右辺を上記の様に変形したのは、4.(2)で導入したローレンツの力の法則とその4元テンソル表示と結びつけるためです。そのとき得たテンソル方程式は反変ベクトルの4元力]混合テンソルの電磁場テンソル]反変ベクトルの4元電流密度]の積に結びつけられるものでした。それとの整合性を保つためには上記の様に変形する必要があります。
 ただし、右辺に表れる負符号を消すために両辺に-1を乗じる

となります。
 ここで元の応力テンソルの表現(“Maxwellの応力テンソル”は対称テンソル t=T )に帰り

であることに注意すると

となる。

 今までの議論から、4元Div演算(∂/∂x,∂/∂y,∂/∂z,∂/∂t)共変ベクトル4元電流密度(jx,jy,jz,ρ)反変ベクトル、右辺の[電磁4元テンソル]2階混合テンソルであることは解っています。
 だからローレンツ変換不変の方程式であるためには、右辺にミンコフスキー時空計量テンソル G を挟んでおかねばなりません。このの働きは4元電流密度ベクトルを共変ベクトルに変換すると考えても良いし、あるいは[電磁4元テンソル]を2階共変テンソルにすると考えても良い。いずれにしても両方を掛け算して縮約したとき右辺は共変ベクトルに成ります。
 また、右辺の様子から左辺の[応力・運動量・エネルギーテンソル]2階混合テンソルでなければならないことが解ります。なぜなら、共変ベクトルである、4元Div演算[応力・運動量・エネルギーテンソル]を掛け算して縮約した結果が共変ベクトルに成らねばならないからです。この事実を用いると、必然的に[応力・運動量・エネルギーテンソル]の構成要素のローレンツ変換共変の座標変換公式が定まります。

 この方程式がローレンツ変換不変であることは簡単に証明できます。



 最終的に両辺とも1階共変ベクトルになります。そして左辺は“テンソルの発散”を意味します。このあたりについては、別稿「ミンコフスキーの4次元世界」4.(2)6.(ただし有利化Gauss単位系)もご覧下さい。また、4元電流密度の反変ベクトル表示共変ベクトル表示については3.(1)[補足説明5]や別稿「基底ベクトル・双対基底ベクトルと反変成分・共変成分」などをご覧下さい。

補足説明1
 4.(4)7.あるいは5.(2)[補足説明1]で説明したように上記の両辺の右側からミンコフスキー時空計量テンソルの逆行列 G-1 を乗じておくと、両辺のそれぞれのテンソルは2階反変テンソルになります。

 この場合にも、最終的に両辺とも1階反変ベクトルになり、左辺は“テンソルの発散”を意味する。普通の教科書ではこの形の記述が多い。このようにしても、方程式のローレンツ変換不変性は変わりません。その証明は簡単です。

補足説明2 
 さらに補足すると上記の2階混合テンソルに左からミンコフスキー時空計量テンソル G を乗じると2階共変テンソルとしての応力・運動量・エネルギーテンソルが得られます。

また、この2階共変テンソルの右側からミンコフスキー時空計量テンソルの逆行列 G-1 を乗じると混合テンソルとなる。

この混合テンソルは前出のものとは形が違いますが、この左側から-1を乗じると前出の2階反変テンソルに、右側からを乗じると前出の2階共変テンソルに戻ります。
 
 このとき“応力・運動量・エネルギーテンソル”2階反変2階共変のいずれの表現でも“対称テンソル”になります。しかし混合テンソルの表現では対称テンソルでもなければ交代(反対称)テンソルでもないことに注意して下さい。
 また、混合テンソルのの関係は互いに転置行列の関係になっている事に注意して下さい。元の2階共変、2階反変テンソルが対称テンソルの場合には常にそうなります。ただし、元の2階共変、2階反変テンソルが交代(反対称)テンソルの場合は、転置して符号を変えたものになります。電磁場テンソルがそうでした。
 
 さらに、混合テンソル表現の応力・運動量・エネルギーテンソルの対角要素の和は常に0となる性質があります。これは元の電磁場の成分表示に戻って対角要素を加算すれば簡単に確かめられます。
 
 この章の説明と別稿「ミンコフスキーの4次元世界」4.(2)6.と比較してみて下さい。そこと少し表現が異なりますが、それは基本計量テンソルの定義がここと異なるからです。また、用いている単位系もこちらは非有利化Gauss単位系ですが、別稿参照先は有利化Gauss単位系の違いがあります。

補足説明3
 ここで導いた方程式が正しいかどうかが、何かもっと別の根本的な原理から証明できるわけではありません。
 ここで統合したベクトル方程式とスカラー方程式は、もともとMazwellの電磁気学で個別に正しいだろうと思われていた式です。それらを統合したとき、その右辺の形を見ると4.(2)で導いた4元的なローレンツの力の法則の運動方程式に出てきた電磁場のテンソルが現れています。そして、上記で説明した様に、この運動方程式がローレンツ変換不変であることを利用して応力・運動量・エネルギーテンソルに対するこの方程式はローレンツ変換に対して不変な形をしているはずだと考えたわけです。
 それだからこそ、これは[応力・運動量・エネルギーテンソル]という物理量に対して成り立つ正しい方程式だと予想されると言うことです。つまり、この方程式がローレンツ変換に対して不変であり相対性原理を満たしていれば電磁場のローレンツ変換式を始めとして、Maxwell方程式を含めたすべての電磁気学理論と矛盾なく共存することが確かめられるという事です。
 物理法則とは、現実の現象を旨く説明し且つその法則から導かれるすべての事柄が無矛盾で、その無矛盾性が未来永劫に渡って破綻することが無いだろうと予想されることでしか、その正当性を証明することはできないようなものです。
 ところで、この“応力・運動量・エネルギーテンソル”は一般相対性理論で中心的な役割を担います。

補足説明4](2018年10月追記)
  物理学の定理に“ネーターの定理”というものがあります。“系に連続的な対称性が在る場合それに対応する保存則が存在する”という定理です。具体的には、“時間の一様性からエネルギー保存則が導かれ、空間の一様性から運動量保存則が導かれる”と言うものです。
 ネーターがどの様に証明したのかは知らないのですが、このことの説明は例えばランダウ・リフシュツ著『力学』第2章に書かれています(引用1引用2を参照)。この記述はランダウ流の説明なのでしょうが、それなりにもっともらしく書かれています。このことについては別稿「運動の法則、運動量保存則、エネルギー保存則の関係」2.でも取り上げています。
 
 そこで、話は上記[補足説明2]に戻るのですが、ネーターの定理で言うエネルギー保存則は時間の一様性に基づいていました。また運動量保存則は空間の一様性に基づいていました。ならばミンコフスキー時空の一様性からエネルギー・運動量テンソルの存在を一気に導けないのでしょうか? ランダウ・リフシュツ著『場の古典論§32によると、それは可能の様です。
 私自身その詳細を完全に理解できているとは言い難いのですが、別稿で引用紹介しますのでご覧下さい。

 

補足説明5  この注意は重要です。!
 “反変”“共変”の違いや、“計量テンソル”というものを考えなければならなくなったのは、“ミンコフスキー時空”の特質によります。
 自然現象を記述する方程式はベクトル微分演算、ベクトル量、テンソル量の積の形の方程式(スカラー方程式、ベクトル方程式、テンソル方程式)で表現されます。そして“特殊相対性原理”により、それらの方程式が、座標変換に対して不変な形を保たねばなりません
 そのとき方程式を構成するベクトル微分演算、ベクトル量、テンソル量の座標変換が“ローレン変換”で変換されるものと、“ローレンツ逆変換の転置行列”で変換されるものがあることが解りました。その事を方程式の中で旨く表し、かつ座標変換に対して方程式が不変の形を保つためには、ミンコフスキー時空の特質を表す“計量テンソル”というものも旨く利用して方程式を表さねば成らない事が解ったのです。
 
 このようなことは、ミンコフスキーの着想に従ってあらゆる物理量をミンコフスキー時空の特質にマッチした4元的な量として捕らえ直すことで初めて解ってきたことであり可能になったことです。
 物理方程式をこのような形で捕らえ直すことは、ミンコフスキー時空よりもさらに一般的なリーマン時空を取り扱わねばならない一般相対性理論に向かうには避けて通れない道です。
 アインシュタインは最初ミンコフスキーの4元化のプロセスを「余分な学識」とみなして評価していなかったのですが、1912年以降この4元化のプロセスは避けて通れない過程であることを理解して、特殊から一般相対論への移行を大いに容易にした点でミンコフスキーの業績を高く評価する事になります。アインシュタインの1916年文献§17もご覧下さい。
 
 それにしても、これらの4元化のプロセスには電磁ポテンシャル、電磁場テンソルの4元性が深く関わっています。方程式の4元化の見通しを得るには、最初に述べた、Maxwellが“Treatiseの§615”に書き残した深謀遠慮が必要だったのではないでしょうか。

 

HOME  Maxwell  2.電磁Potential(1)導入(2)gauge条件(3)gauge例  3.相対論(1)4元量(2)不変性  4.tensor(1)T場(2)導入(3)変換(4)tensorとは  5.Max方式(1)旧表(2)新表1(3)新表2  6.応力(1)導入(2)スカラー(3)ベクトル(4)テンソル  7.参考文献

7.参考文献

  この稿を作るに当たって、下記文献を参考にしました。感謝!

  1. 広重徹著「物理学史 Ⅱ」倍風館(1968年刊)§10-6.Maxwell§10-8.電磁場とエーテルを引用
  2. 木幡重雄著「電磁気の単位はこうして作られた」工学社(2003年刊)
  3. Paul J. Nahin著「オリヴァー・ヘヴィサイド」海鳴社(2012年刊)p206~209、p234~236を引用
  4. Nancy Forbes、Basil Mahon著(米沢冨美子、米沢恵美訳)「物理学を変えた二人の男(ファラデー、マクスウェル、場の発見)」岩波書店(2016年刊)
    とても面白い本です。このなかのp240~245を引用
  5. Edmund Whittaker著,“A history of the theories of aether & electricity (Two Volumes Bound As One)”, Dover, Ⅰ:The Classical Theories(1910年刊)、Ⅱ:The Modern Theories(1953年刊) 下記訳本はⅠの古典論の部分のみです。また、残念な事に訳本では引用文献のリストが省略されています。原本リストの参照が必要です。
    Edmund T. Whittaker 著「エーテルと電気の歴史(上・下巻)」講談社( 1976年刊)この中の第8章“マクスウェル”p273~315を別稿で引用しています。
  6. 太田浩一著「マクスウェル理論の基礎(相対論と電磁気学)」東京大学出版会(2002年刊)§5.1
  7. 太田浩一著「マクスウェルの渦アインシュタインの時計(現代物理学の源流)」東京大学出版会(2005年刊)第4章、第7章
    かなりマニアックに詳しく説明されています。引用文献のリストは貴重です。
  8. J.C.Maxwell著, “Scientific Papers Vol.Ⅰ”, “Scientific Papers Vol.Ⅱ”
    マクスウェルの科学論文集です。netから無料ダウンロードできます。
  9. 石井俊全著「一般相対性理論を一歩一歩数式で理解する」ベレ出版(2017年刊)第1章、第2章、第4章
  10. ランダウ、リフシッツ著「場の古典論(増訂新版)」東京図書(1964年刊) Gauss単位系(磁場H)
    この中から§32~35“エネルギー・運動量テンソル”を別稿で引用。
  11. Ludwig Valentin Lorenz, “U¨ber die Intensita¨t der Schwingungen des Lichts mit den elektrischen Stro¨men”, Annalen der Physik und Chemie, 131, 243–263, 1867年英訳版はこちら
  12. 平川浩正著「相対論(第2版)」共立出版社(1986年)MKSA有理化単位系 §2-1、§2-3、§2-5を参照されたし。なお、この本の第4章を別稿「Riemann幾何学」として引用しています。
  13. 吉田伸夫著「完全独習相対性理論」講談社(2016年刊)p41~47
  14. 矢野健太郎著「近代数学新書 相対性理論」至文堂(1967年刊)有利化Gauss(Lorentz-Heaviside)単位系(磁場H)
    第2章§6、第3章、第4章については別稿「ミンコフスキーの4次元世界」で、第5章は別稿「一般相対性原理と等価原理で、第6章は別稿「テンソル解析学(絶対微分学)」で、第7章は別稿「テンソル解析学の一般相対性理論への応用」で引用しています。
  15. Abraham Pais著「神は老獪にして・・・」産業図書(1986年刊)第6章“神は老獪にして・・・”
    この中の特に6b.をご覧下さい。

[参考文献の追記(2019年4月)]
 最近読んだので紹介が遅れましたが、下記文献の該当章にも解りやすく詳しく説明されています。ただ何をもって解りやすいと言うかは問題がありますが。

  1. 内山龍雄著「相対性理論」岩波書店(1977年刊)第Ⅲ章“相対論的電磁気学”
  2. 中野董夫著「相対性理論」岩波書店(1984年刊)第8章“電磁気学”
HOME  1.Maxwell  2.電磁Potential(1)導入(2)gauge条件(3)gauge例  3.相対論(1)4元量(2)不変性  4.tensor(1)T場(2)導入(3)変換(4)tensorとは  5.Max方式(1)旧表(2)新表1(3)新表2  6.応力(1)導入(2)スカラー(3)ベクトル(4)テンソル  7.参考文献