HOME  TOP  END

 江沢洋著 「現代物理学」 朝倉書店(1996年)

第 1章 力学的な世界観
第 2章 電磁場と光
    1.電気
        1-1.近接作用・遠隔渡洋  1-2.電気流体  1-3.エレキテル究理原  1-4.電荷の保存
        1-5.力は距離の2乗に反比例する
    2.場という概念
        2-1.場所場所での磁針の向き  2-2.エルステッドの発見  2-3.電流と磁気
        2-4.電磁誘導の発見
    3.電磁場の基礎法則
        3-1.電場と磁場  3-2.電場の湧き出し  3-3.磁場の湧き出し  3-4.電場の渦度
        3-5.磁場の渦度  3-6.変位電流
    4.電磁波
        4-1.波動方程式  4-2.光速  4-3.電磁波の偏り  4-4.因果律  4−5.電磁波の発生
    5.演習問題
第 3章 相対性理論(1)
第 4章 相対性理論(2)
第 5章 原子論の発展
第 6章 電子とその役割
第 7章 放射能の発見と原子核
第 8章 量子の発見
第 9章 前期量子論
第10章 量子力学の誕生
第11章 観測の理論
第12章 角運動量の量子力学
第13章 原子の構造
第14章 エネルギー準位と物質の構造
第15章 素粒子

HOME  TOP 1.電気  2.場という概念  3.電磁場の基礎法則  4.電磁波  5.演習問題  END


2-1-01





2-1-02


2-1-03






2-1-04




2-1-05












HOME  TOP 1.電気  2.場という概念  3.電磁場の基礎法則  4.電磁波  5.演習問題  END

2-2-01





2-2-02
 本節に付いては、「エルステッドによる「電流の磁気作用」の報告(1820年)」も参照されたし。





2-2-03



2-2-04
 本節に付いては、「電磁誘導及び電気分解の法則(Faraday 1791〜1867年)」も参照されたし。



















 

HOME  TOP 1.電気  2.場という概念  3.電磁場の基礎法則  4.電磁波  5.演習問題  END


2-3-01





2-3-02
























2-3-03






2-3-04




















2-3-05
 本節に付いては、「ビオ・サバールの法則(1820年)を見つけた方法」も参照されたし。























 



 



2-3-06
 本節に付いては、「マクスウェルによるアンペールの法則の拡張」も参照されたし。













 上記の事柄に付いては、「Maxwell方程式系の先見性と電磁ポテンシャル ローレンツゲージ( Lorenz gauge)の由来」や、「電磁場の非同次波動方程式」や、Nahin「オリヴァー・ヘヴィサイド」、p206〜209、p234〜236や、Forbes、Mahon「物理学を変えた二人の男(ファラデー、マクスウェル、場の発見)」も参照されたし。

 

HOME  TOP 1.電気  2.場という概念  3.電磁場の基礎法則  4.電磁波  5.演習問題  END


2-4-01





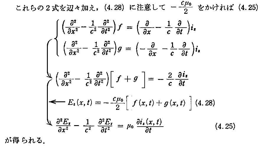
 “波動方程式”及び、その解法に付いては、「波動方程式と一般解」3.を参照されたし。





2-4-02


 上記の事柄に付いては、「質量、時間、長さの標準単位」を参照されたし。
 更に以下の事柄に付いては、「電磁気学の単位系が難しい理由」4.(1)も参照されたし。




 志田林三郎に付いては、「静電単位と電磁単位における1単位の電気量の比較」と、「志田林三郎」を参照されたし。

2-4-03





2-4-04





2-4-05






 上記の公式(1.6.21)はこちらを参照。








 ここは、「電磁波の伝播」2.も参照されたし。

 §3.4 はこちらです。


 ここは、Purcell「電磁気学」5章“動いている電荷の場”5.7も参照されたし。



 (4.43)式に付いては、「線型振動子(電気双極子)による電磁波の放出」2.4 も参照されたし。

 

HOME  TOP 1.電気  2.場という概念  3.電磁場の基礎法則  4.電磁波  5.演習問題  END

2-5-01

2-5-02

2-5-03

2-5-04

2-5-05

2-5-06

2-5-07

2-5-08

2-6-01

HOME  TOP 1.電気  2.場という概念  3.電磁場の基礎法則  4.電磁波  5.演習問題  END