HOME  TOP  END

 江沢洋著 「現代物理学」 朝倉書店(1996年)

第 1章 力学的な世界観
第 2章 電磁場と光
第 3章 相対性理論(1)
第 4章 相対性理論(2)
第 5章 原子論の発展
第 6章 電子とその役割
第 7章 放射能の発見と原子核
第 8章 量子の発見
第 9章 前期量子論
第10章 量子力学の誕生
    1.複素数
        1-1.虚数  1-2.複素数  1-3.複素数の四則  1-4.複素数の極座標表示
        1-5.複素数の指数関数  1-6.指数関数の微分
    2.シュレディンガー方程式
        2-1.自由粒子の場合  2-2.ポテンシャルの場を通過する粒子  2-3.量子力学における因果律
    3.定常状態
        3-1.固有振動  3-2.井戸型ポテンシャルの場合  3-3.剛体壁の井戸
    4.演算子・固有値・固有関数
        4-1.固有値問題  4-2.演算子  4-3.エルミート演算子の固有値は実数
        4-4.異なる固有値に属する固有関数は直交する  4-5.固有関数の全体は完全系をなす
    5.調和振動子
        5-1.エネルギー固有値  5-2.境界条件の役割  5-3.固有関数系の完全性
        5-4.零点エネルギー
    6.存在確率と対応原理
        6-1.ゆるやかに変わるポテンシャル  6-2.調和振動子の場合  6-3.存在確率
        6-4.確率の流れ
    7.α崩壊の理論
        7-1.  7-2.トンネル効果  7-3.崩壊定数の公式  7-4.ウランの場合
        7-5.ガイガー-ヌッタルの法則
    8.付録:WKBの接続公式など
        8-1.考えの筋道  8-2.下り坂-引き返し点  8-3.上り坂-引き返し点  8-4.束縛状態
        8-5.ポテンシャル障壁の透過率
    9.演習
第11章 観測の理論
第12章 角運動量の量子力学
第13章 原子の構造
第14章 エネルギー準位と物質の構造
第15章 素粒子

HOME  TOP 1.複素数 2.シュレディンガー 3.定常状態 4.固有値問題 5.調和振動子 6.存在確率 7.α崩壊 8.WKB接続公式 9.演習 END


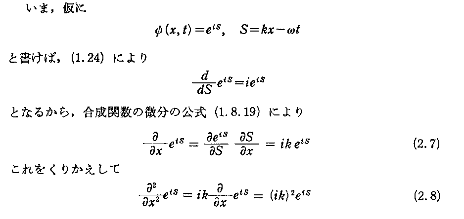
10-1-1

10-1-2







10-1-3






10-1-4





10-1-5




10-1-6



HOME  TOP 1.複素数 2.シュレディンガー 3.定常状態 4.固有値問題 5.調和振動子 6.存在確率 7.α崩壊 8.WKB接続公式 9.演習 END


10-2-1











10-2-2




10-2-3


HOME  TOP 1.複素数 2.シュレディンガー 3.定常状態 4.固有値問題 5.調和振動子 6.存在確率 7.α崩壊 8.WKB接続公式 9.演習 END


10-3-1


10-3-2





















10-3-3





HOME  TOP 1.複素数 2.シュレディンガー 3.定常状態 4.固有値問題 5.調和振動子 6.存在確率 7.α崩壊 8.WKB接続公式 9.演習 END


10-4-1




10-4-2





10-4-3




10-4-4




10-4-5



HOME  TOP 1.複素数 2.シュレディンガー 3.定常状態 4.固有値問題 5.調和振動子 6.存在確率 7.α崩壊 8.WKB接続公式 9.演習 END


10-5-1














10-5-2



10-5-3




10-5-4





HOME  TOP 1.複素数 2.シュレディンガー 3.定常状態 4.固有値問題 5.調和振動子 6.存在確率 7.α崩壊 8.WKB接続公式 9.演習 END



10-6-1













10-6-2






10-6-3




10-6-4









HOME  TOP 1.複素数 2.シュレディンガー 3.定常状態 4.固有値問題 5.調和振動子 6.存在確率 7.α崩壊 8.WKB接続公式 9.演習 END


10-7-1

[補足説明]
 上記の説明は解りにくいので補足します。
 まず、

ですが、散乱角分布の実験結果が

を満足する事からクーロン力であると言えます。
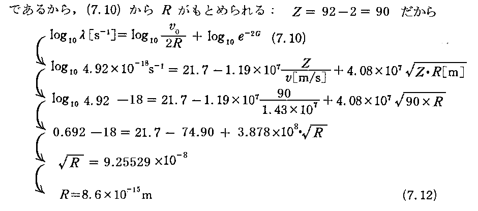
 最近接距離の3×10−14mは、Poのα粒子の速度ve [(7.1)のエネルギー1.41×10−12J も含めて] は6章1節などの方法ですでに測定されているので

より求まる。




 上記の “(7.5.41)の値” はこちらを参照


10-7-2






10-7-3






10-7-4




10-7-5


HOME  TOP 1.複素数 2.シュレディンガー 3.定常状態 4.固有値問題 5.調和振動子 6.存在確率 7.α崩壊 8.WKB接続公式 9.演習 END


10-8-1




10-8-2











10-8-3




10-8-4




10-8-5














HOME  TOP 1.複素数 2.シュレディンガー 3.定常状態 4.固有値問題 5.調和振動子 6.存在確率 7.α崩壊 8.WKB接続公式 9.演習 END

10-9-1

10-9-2

10-9-3

10-9-4

10-9-5


10-9-6

10-X

HOME  TOP 1.複素数 2.シュレディンガー 3.定常状態 4.固有値問題 5.調和振動子 6.存在確率 7.α崩壊 8.WKB接続公式 9.演習 END