HOME  .内積( 1定義 2法則 3単位ベクトル 4成分表示 5応用 ) 2.外積( 1定義 2法則 3単位ベクトル 4成分表示 5応用

ベクトルの内積(スカラー積)と外積(ベクトル積)の成分表示

 ベクトルの内積(スカラー積とも言う)外積(ベクトル積とも言う)の成分表示を説明します。この稿では文章中でベクトルを表すときには太字のアルファベット文字を用いることにする。

1.内積(スカラー積)

(1)ベクトル演算としての内積の定義

 ベクトルの大きさをAとBとし、そのなす角をθとするとき

で持って、二つのベクトルAとBの“内積”又は“スカラー積”という。
 そして普通

などで表す。
 この稿では、最も簡単な左端の表現を用いますが、普通の掛け算演算と混同される恐れが在る場合には中央あるいは右端の表現を用いる。

 

HOME  内積( 1定義 2法則 3単位ベクトル 4成分表示 5応用 ) 2.外積( 1定義 2法則 3単位ベクトル 4成分表示 5応用

(2)内積が満たす代数的性質

 前節で定義したベクトル演算について、次の代数法則が成り立つ。

[証明]
 (1)が成り立つことは内積の定義より明らか。また(3)が成り立つことはベクトルのスカラー倍の意味と、内積の定義より明らか。
 以下で(2)が成り立つことを証明する。ベクトルを下記の様なものだとすると、図より明らかなように


[終わり]

 

HOME  内積( 1定義 2法則 3単位ベクトル 4成分表示 5応用 ) 2.外積( 1定義 2法則 3単位ベクトル 4成分表示 5応用

(3)直交単位ベクトルの内積につて成り立つ性質

 ここでベクトルの直交座標の成分表示を考察する。
 直交座標のx、y、z方向の単位ベクトルをそれぞれi、j、kとすると、内積の意義により

 これらの単位ベクトルを用いると任意のベクトル

の様に表される。ここでA、Ay、Az、・・・・等はそれぞれのベクトルをx座標、y座標、z座標に射影したときの長さを意味する。

 

HOME  内積( 1定義 2法則 3単位ベクトル 4成分表示 5応用 ) 2.外積( 1定義 2法則 3単位ベクトル 4成分表示 5応用

(4)内積の成分表示

 前々節と前節の結論を用いれば、内積の成分表示が直ちに導かれる。

 この関係式はとても重要です。これは“内積演算の分配・結合法則”を利用して導かれたものであることを忘れないで下さい。

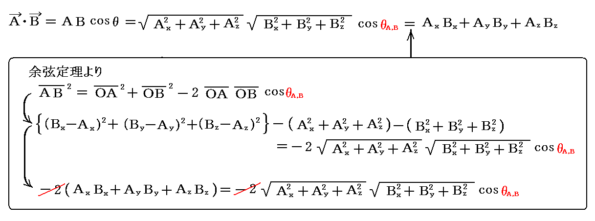
補足説明1
 内積の定義から上記関係式“を証明することは、1.(5)2. [補足説明2]で証明する“余弦定理”を用いても、以下の様にできます。

内積(スカラー積)については。江沢洋「現代物理学」第1章 力学的な世界観 11.2.も参照されたし。

 

HOME  内積( 1定義 2法則 3単位ベクトル 4成分表示 5応用 ) 2.外積( 1定義 2法則 3単位ベクトル 4成分表示 5応用

(5)応用

 前節の成分表示を用いて、幾つかの重要な結論が導かれます。

.内角

 まず、内積の定義より、二つのベクトルの間の角度をθとすると

の関係が成り立ちます。
 そのため、二つのベクトルが垂直でθ=90°なら

が直ちに言えます。また、これが成り立てはは互いに垂直です。

 

.余弦定理

 さらに、下図の様な三角形の各辺の長さについて


が成り立つことが直ちに言えます。これは三角形OABに対して成り立つ“余弦定理”そのものです。

補足説明1
 これはまた、逆に“余弦定理”を用いれば、(Axx+Ayy+Azz)が確かに二つのベルクの大きさAとBを乗じたものに二つのベクトルの成す角θの余弦を乗じたものであることが直接示せるということです。すなわち

となる。

補足説明2
 “余弦定理”は、直角三角形について成り立つ“ピタゴラスの定理(三平方の定理)”を用いれば簡単に証明できます。

角度θが鋭角でも鈍角でも下記の関係が成り立つ。

 

HOME  内積( 1定義 2法則 3単位ベクトル 4成分表示 5応用 ) 2.外積( 1定義 2法則 3単位ベクトル 4成分表示 5応用

2.外積(ベクトル積)

 外積についても、内積と同様な手順で説明できます。

(1)ベクトル演算としての外積の定義

 ベクトルの大きさをAとBとし、そのなす角をθとする。

このとき、その大きさが、クトルが作る平行四辺形の面積

に等しく、かつその方向がこの平行四辺形に垂直なベクトルを、二つのベクトル“外積”又は“ベクトル積”と言う。
 このき、そのベクトルの方向がからに向かって右ネジを回すとき、ネジの進む方向と同じである場合を

で表し、からに向かって右ネジを回すとき、ネジの進む方向と同じである場合を

で表すことにする。つまり演算の順序が異なると、その結果を表すベクトルの方向は逆転する。
 この稿では、最も簡単な左端の表現を用いますが、普通の掛け算演算と混同される恐れが在る場合には中央あるいは右端の表現を用いる。

 

HOME  内積( 1定義 2法則 3単位ベクトル 4成分表示 5応用 ) 2.外積( 1定義 2法則 3単位ベクトル 4成分表示 5応用

(2)外積が満たす代数的性質

 前節で定義したベクトル演算について、次の代数法則が成り立つ。

[証明]
 (1)が成り立つことは外積の定義より明らか。また(3)が成り立つことはベクトルのスカラー倍の意味と、外積の定義より明らか。
 以下で(2)が成り立つことを証明する。ベクトルを下記の様なものだとする。

 今、上図の様な、ベクトルを含みベクトルに平行な面を持つ平行六面体の角柱OBDCAEGFを考える。またO点を通りベクトルに垂直な平面πを考える。ベクトルを平面πへの射影したベクトルをB’C’とする。
 このとき、平行四辺形OAEBの面積と長方形OAE’B’の面積は等しく、平行四辺形OAFCの面積と長方形OAF’C’の面積は等しい。また平行四辺形OAGDの面積と長方形OAG’D’の面積は等しい。つまり

が成り立つ。
 このときπ平面上のベクトルの方向に関して

であることが言える。
 このことと、|A×B|:|A×C|=OB’:OC’ であることを考慮すると、平行四辺形OB’D’C’と平四辺形OHJIは互いに相似となる。つまり、平四辺形OHJIの大きさは、平行四辺形OB’D’C’の辺の長さをOA倍したものです。
 このとき、ベクトルA×BとベクトルA×Cを足したベクトルは(A×B+A×C)であるが、これこそベクトル(B+C)をπ平面へ射影したベクトルOD’を90°回転してOA倍したものです。これはベクトルA×(B+C)を意味するので、分配の法則が成り立つことが証明できたことになる。
[終わり]

 

HOME  内積( 1定義 2法則 3単位ベクトル 4成分表示 5応用 ) 2.外積( 1定義 2法則 3単位ベクトル 4成分表示 5応用

(3)直交単位ベクトルにつて成り立つ性質

 ここでベクトルの直交座標の成分表示を考察する。
 直交座標のx、y、z方向の単位ベクトルをそれぞれi、j、kとすると、外積の定義と、前項の代数法則(1)により

  これらの単位ベクトルを用いると任意のベクトル

の様に表される。ここでA、Ay、Az、・・・・等はそれぞれのベクトルをx座標、y座標、z座標に射影したときの長さを意味する。

 

HOME  内積( 1定義 2法則 3単位ベクトル 4成分表示 5応用 ) 2.外積( 1定義 2法則 3単位ベクトル 4成分表示 5応用

(4)外積の成分表示

 前々節と前節の結論を用いれば、外積の成分表示が直ちに導かれる。


 この関係式はとても重要です。特に剛体の力学を論じるとき必須の公式となります。
 これは“外積演算の交換・分配・結合法則”を利用して導かれたものであることを忘れないで下さい。

補足説明1
 このとき、この成分表示で示されるベクトルの大きさが、実際にベクトルとベクトルが作る平行四辺形の面積である事は直ちに確認できる。外積ベクトルA×Bの大きさは、直交座標成分表示にタゴラスの定理を適用して

と変形できる。

補足説明2
 上で説明した様にベクトル積

の大きさはベクトルAとベクトルBが作る平行四辺形の面積でした。
 そのため上記の式とベクトル との内積

は前述の平行四辺形をyz平面へ射影した図形の面積となります。同様に

は前述の平行四辺形をzx平面へ射影した図形の面積であり

は前述の平行四辺形ををxy平面へ射影した図形の面積となります。

外積(ベクトル積)については。江沢洋「現代物理学」第1章 力学的な世界観 12.2.も参照されたし。

 

HOME  内積( 1定義 2法則 3単位ベクトル 4成分表示 5応用 ) 2.外積( 1定義 2法則 3単位ベクトル 4成分表示 5応用 )

(5)応用

 前節の成分表示を用いて、幾つかの重要な結論が導かれます。

.三ベクトルの外積

三つのベクトルの外積(A×B)×Cを成分表示で表してみる。外積の成分表示を用いると


ここで(A×B)の外積の順番をいれかえると、2.(2)で述べた(1)交換法則により

となる。ここでC→A、A→B、B→Cの置き換えを行えば

となる。
 つまり外積の演算の結合順序を変えると異なったベクトルとなる。これは外積の定義に従って実際にベクトルを求めてみれば直ちに明らかになることです。

 三ベクトルの外積A×(B×C)に関するこの公式は、別稿「電磁場の応力(マクスウェルの応力)」2.(3)2.などで用いました。

 

.平行六面体の体積

 下記の様な三つのベクトルA、B、Cで構成される平行六面体の体積は直ちに求まる。

 内積と外積の定義より

の関係が成り立ちます。
 これは行列式

に等しい。これを

の様に表して、ベクトルA、B、C“スカラー三重積”と呼ぶ。ここでベクトルA、B、Cは互いに右手回りのサイクリックな関係になっていることに注意。もしが作る平面に対して図の反対側にあれば、スカラー三重積の値は負になる。

補足説明
 上記平行六面体の体積をVとすると、その2乗V2

となる。
 ところで、別ページで説明する行列式の性質[定理3]と[定理13]から
  (1)転置行列の行列式は元の行列の行列式の値と同じ。
  (2)2つの行列の積を作り、その行列式の値を計算すると、それは元の2つの行列の行列式を計算して乗じたものに等しい。
が成り立つ。
 そのため上記の関係は以下のように変形できる。

 一般相対性理論ではV2は基本計量テンソルgijの行列式で表される。このことについては別稿「基底ベクトル・双対基底ベクトルと反変性分・共変成分(計量テンソルとは何か、クリストッフェル記号とは何か)」2.(7)を参照されたし。

 

.スカラー三重積の性質

 i、j、kを右手直交座標系の単位ベクトルとすれば、直ちに

が言える。
 次に、下記のいずれの表現も、同一の平行六面体の体積を示しているので、直ちにこれらの関係式が成り立つことが言える。

また、内積(スカラー積)の交換の法則を上式に適用すると

が言える。このときベクトルA、B、Cの順番はサイクリックに回さなければならないことに注意。
 上記の二式と内積、外積の交換法則により、[A,B,C]の任意の二つの順番を入れ替えると符号が変わることが解る。

 

.“ラグランジュの恒等式” と “コーシー・シュワルツの不等式”

 二つのベクトル外積A×BC×Dの内積を変形する。このとき前項と前々項の結論を用いれば

が成り立つ。
 ここでA=CB=Dのときには

が成り立つ。これは“ラグランジュ(J.L.Lagrange)の恒等式”と言われ、有用な関係式です。
 ここで左辺は常に ≧0 であるから

が成り立つ。これは“コーシー・シュワルツの不等式”と言われ、有用な関係式です。

HOME  1.内積( 1定義 2法則 3単位ベクトル 4成分表示 5応用 ) 2.外積( 1定義 2法則 3単位ベクトル 4成分表示 5応用