HOME  太陽静止)()()  2.二体問題)()()  3.中心力  4.ポテンシャル  5.文献

二体問題(two body problem)

 本稿は、A.Sommerfeld著「理論物理学講座T 力学」講談社(1969年刊)§6の引用。ただし、かなり改変しています。

1.一体問題(太陽静止)

)ケプラーの第二法則

.角運動量の保存

 ここでは、惑星運動を取り扱う。
 太陽の質量は他の惑星に対して圧倒的に大きいので、最初太陽は静止しているとしよう。太陽も動くとした取り扱いは第2章で述べる。
 運動の第2法則は、太陽質量をM、惑星質量をmとすると、万有引力により

となる。太陽の中心を座標原点Oとし、Oから惑星に向かう動径ベクトル としている。

 ところで、[動径ベクトルの方向][力のベクトルの方向]同一直線上で互いに反対向きであるから

となる。
 これは太陽(原点O)の周りを回る惑星の持つ角運動量は常に一定であることを示している。
また、O点から引いた動径ベクトルrが単位時間にスイープする面積(面積速度)は

と表されますから、角運動量が保存されると言うことは面積速度が一定である事を意味する。すなわち、これがケプラーの第二法則 “太陽から惑星にひいた動径は、等しい時間に等しい面積を掃く”です。
 これは、惑星に働く力 が動径ベクトル に並行である(これを“中心力”という)から導かれたものであることに注意して下さい。つまり、力が“中心力”の場合、“角運動量保存則”(面積速度一定の法則)が常に成り立つ

.面積速度の保存

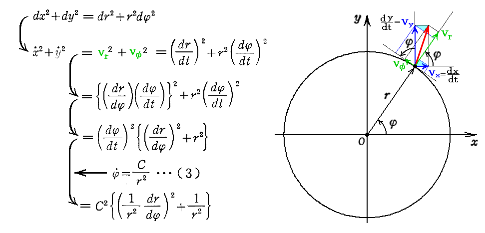
 さらに補足すると、先ほどのベクトル方程式は惑星が運動する軌道はある一定のベクトルNに対して垂直な一つの平面内に存在することを示している。
 そのため、その二次元平面内に基準となるx軸と、それに対して動径がなす角φを導入すると、単位時間に惑星に向いた動径ベクトルが掃く面積(下図の黄色三角形の面積)に対して

の関係式が成り立つ。

 

HOME  太陽静止)()()  2.二体問題)()()  3.中心力  4.ポテンシャル  5.文献

(2)ケプラーの第一法則

.標準的な導き方

 惑星の軌道方程式を得るために、(1)式を成分に分解する。

すなわち、惑星運動の速度ベクトルの先端の描く図形(ホドグラフ)は円となる
 惑星の位置座標を、太陽を中心(原点O)とする、極座標て表すと

となる。
 ここで、@×(−sinφ)+A×cosφ を作ると

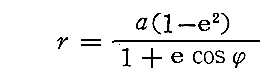
となる。 (6)式の導出については別稿「楕円軌道の発見と万有引力の法則」5.(3)1.を、円錐曲線については別稿「二次曲線の性質」5.などを復習して下さい。(6)→(6a)の変形は1.(3)1.で境界条件を設定して正確に論じます。

 (6)式は原点を一つの焦点とする円錐曲線の方程式です。従ってケプラーの第一法則 “惑星は、太陽を一つの焦点とする楕円軌道を描く”が得られる。もちろん、彗星の様に双曲線や放物線軌道となる場合もあります。
 ちなみに、第一法則、第二法則は1605年にほぼ書き上げられていた“Novae Astronomiae”(新天文学)の中で発表されている。ただし、この本が出版(1609年)されるまでにはさらに4年の歳月を要した。
 この本の出版年は、ガリレオが望遠鏡観測の成果を報告した小冊子「星界の報告」を出版した1610年の前年です。

.エネルギー保存則から導く

 (6)式はエネルギー保存則を利用しても導ける。(4)式から出発する。

ここで

となるので、(7)式は2次元運動の場合の“エネルギー保存則”を表している。

 次に、(7)式から(6)式を導く。
 そのとき、次の関係式を使う。

ここは別稿 「3次元極座標(球座標)での“速度ベクトル”、“加速度ベクトル”の成分表示」2.(2)などを復習されたし。

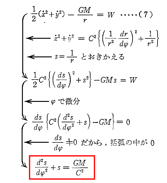
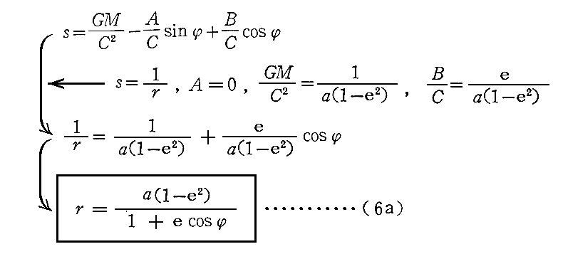
 すなわち、(7)式から s に関して定数係数の2階線形微分方程式が得られる。このような非斉次の微分方程式の一般解は、斉次微分方程式

の一般解に、非斉次微分方程式の一つの特解を付け加えておけば良い。非斉次微分方程式の一つの特解は明らかに

である。斉次微分方程式の一般解は sinφ と cosφ の和で与えられるから、 A/C と B/C を、任意の定数として、非斉次微分方程式の一般解として

が得られる。これは前述の(6)式と一致する。
 エネルギー保存則からの導出については別稿「楕円軌道の発見と万有引力の法則」5.(3)2.もご覧下さい。

 

HOME  太陽静止)()()  2.二体問題)()()  3.中心力  4.ポテンシャル  5.文献

(3)ケプラーの第三法則

.境界条件の適用

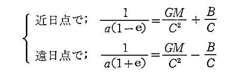
 (6)式に境界条件を入れる。φ=0とφ=πのときの動径が楕円の長軸に一致する様にする。この軸上に近日点と遠日点が存在する。近日点をrの極小点(φ=0)とし、遠日点を極大点(φ=π)とする。そこでは当然dr/dφ=0が成り立つ。この条件を(6)式に適用するとA=0となる。

 上図より、楕円の離心率をeとすれば、

となる。ここで(6)式を考慮すれば

となる。この2式を加、減すると

これらの値を用いれば、(6)式は

となり、以前求めた円錐曲線の標準的な形(6a)式で表される。円錐曲線については別稿「二次曲線の性質」5.などを復習して下さい。

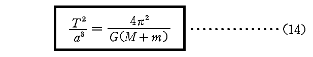
.ケプラーの第三法則

 ケプラーの第三法則を導く為に、面積定数 C を、公転周期 T で置き換える。(2’)式から、1周期Tで動径ベクトルは楕円の全面積を覆うことがわかるので、このことから

が得られる。

 G 及び M は、すべての惑星運動に対する定数であるから、(10)式からケプラーの第三法則 “周期Tの2乗は、長径の3乗に比例する”が得られる。
 ケプラーは1619年に発表した“Harmonices mundi”(宇宙の調和)に於いて非常な興奮をもって語っている。
 『・・・・・私は遂に明らかにした。私の希望と期待以上に、天体の運行に表れている“自然の調和”が、広範に且つ詳細にわたって成立していることを見出した。私が以前考えていたよりも、より完全に。・・・・』

補足説明1
 “公転周期“Tと軌道要素である“長軸半径”a、“離心率”eが解ると(9)式を用いることで、楕円軌道方程式

で表される地点(r,φ)の“公転軌道速度”a 、e 、φ 、T の関数として表せます。それは

の様になるのですが、この式の導出については別稿「ブラックホール質量の決定法」2.(4)2.2.[補足説明1]をご覧下さい。

 

HOME  太陽静止)()()  2.二体問題)()()  3.中心力  4.ポテンシャル  5.文献

2.二体問題(太陽も運動)

 前章の最後に求めたケプラーの第三法則の(10)式の表現は厳密には正しくない。この式は惑星の質量mが太陽の質量Mに比較して十分小さいときにのみ成立する。
 本章では、上記の近似をやめて、天体を2体問題として厳密に取り扱う。

)二体問題の運動方程式

 下図の様に、(x,y)を太陽の座標、(x,y)を惑星の座標とする。

 ニュートンの運動の第三法則(作用反作用の法則)によると、S(太陽)に働く力とP(惑星)に働く力は相等しく、方向は逆向きです。したがって完全な運動方程式は

となる。

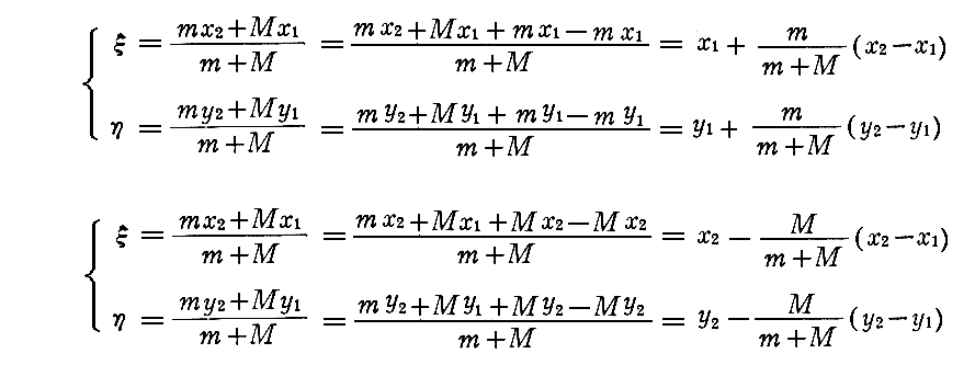
 ここで相対座標(x,y)を以下の様に定義する。そして、太陽位置を原点として固定した座標系(下右図)を“相対座標系”と言うことにする。

 また、重心座標を

で定義する。
 重心座標(ξ,η)は線分SP(x2−x1,y2−y1)をm:Mに内分する点になります。このことは、以下の関係式が成り立つ事から簡単に証明できる。

 先ほどの太陽と惑星に対する運動方程式を引き算して、相対座標系での表現を用いると

となる。
 また、互いに加算すると、もとの座標系における重心座標は

の方程式を満たすことがわかる。

 

HOME  太陽静止)()()  2.二体問題)()()  3.中心力  4.ポテンシャル  5.文献

(2)二体問題の解

 (13)式から共通重心座標は等速直線運動(慣性運動)をすることが直ちに解ります。そのため、今後は共通重心座標(ξ,η)が静止した状況の解を考えれば良い。

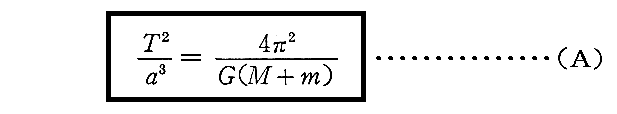
 相対座標系における(12)式を(4)式と比較すれば、質量をのぞいて全く同じ形をしている。そのため、相対座標系に対して“第一法則”、“第二法則”はそのまま成立する。すなわち、惑星Pは太陽Sを焦点とした面積速度一定の楕円運動を行う。

 また、(12)式は(4)式の M を(M+m)に置き換えただけだから、“第三法則”M を (M+m) で置き換えた

の形が成立する。(こちらのページも参照されたし)
 つまり、 M を M+m に置き換えなければ成らないので、2/a3はもはや定数ではない。そのため第三法則は惑星ごとに異なった値になる。つまり、いわゆる“ケプラーの第三法則”はもはや成り立たなくなると言うことです
 しかし、 m は M に比較して極めて小さいので、近似的には従来の形の第三法則が成り立つと考えて良い。

 このとき、重心位置を固定して計算すれば、重心の速度を 0 と置くことができる。そのため“重心座標系”として重心位置を原点として固定した座標系をとることにする。
 例えばM:m=2:1の場合

の様に座標原点を取る。

 そのような“重心座標系”を採用すると、太陽Sの座標(x1,y1)と惑星Pの座標(x2,y2)は、(11a)の相対座標(x,y)と

の関係にあることになる。そうなることは(ξ,η)=(0,0)として先ほどの関係式を適用すれば明らかです。

 上記の関係式を図示するには、相対座標の原点S’と重心座標の原点である重心位置(ξ,η)=(0,0)を重ねて表示すれば良い。

補足説明1
 このことを、M:m=2:1の場合で、幾つかの“離心率” について示すと下図の様になる。図ごとに“真近点離角” φを適当に変えています。このとき、常に [線分SPの長さ]=[線分S’P’の長さ] となっていることに注意。さらに、主星と伴星の公転軌道は互いに相似形となり、互いの離心率も等しい



 

HOME  太陽静止)()()  2.二体問題)()()  3.中心力  4.ポテンシャル  5.文献

(3)星の質量を知る方法

 星が連星系を構成する場合には、白色矮星や中性子星の質量、恒星ブラックホールの質量、銀河中心部の超巨大ブラックホールの質量、などなど・・・・星の質量の見積は、基本的に本節で説明する方法で行われます。

1.実視連星の場合

 連星系の主星と伴星の両方が観測可能な実視連星で、しかも連星系までの絶対的な距離が年周視差などの観測から解っている場合両星の質量を決定する事ができます。
 “実視連星”の場合天球上での互いの公転運動を観測できるので、別稿「連星の軌道決定法」2.で説明した方法により、天球面に射影された視楕円軌道では無くて、実際の真楕円軌道についての、主星の楕円軌道長半径 a1 、伴星の楕円軌道の長半径 a2 、相対運動の楕円軌道の長半径 a が求まる。
 そしてさらに、連星系の“年周視差”が解っていれば観測からも求まる連星系の公転運動の視角度を年周視差角度で割れば実際の長半径距離がそれぞ地球の公転半径の何倍として確定します。もちろんその計算には地球の公転軌道面と連星系視線方向の関係を考慮する必要があります。
 公転周期 T も観測から知ることができます。
 以下で、質量を知る具体的な方法を説明します。

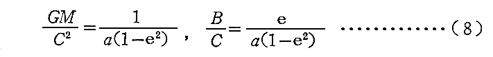
 質量を知るには、二体問題の場合にも成り立つ、2.(2)で求めた関係式

が必要です。

 さらに、2.(2)で説明した

の関係式を用います。
 この比例関係から、主星と伴星の軌道及び相対座標の軌道は互いに相似形となり、離心率eも互いに等しくなります。この2つの事実を使えば、例えば主星と伴星が最も離れた位置で

の関係が得られます。

 つまり、楕円軌道の場合にも別稿「コンパクト星(白色矮星)発見物語」2.[補足説明2]で説明した円軌道の場合と全く同じ(A)、(B)式が得られる。
 そのため楕円軌道の場合にも、1、a2、a、Tが解っている場合、上記の(A)式と(B)式を m と M の連立方程式と見なして解けば、 m と M を求めることができます。

 

.分光連星の場合

 “分光連星”の場合、星が放射するスベクトル線や、中性子星の放出するパルス信号のドップラー偏移の時間的な変化を調べることで、別稿「連星の軌道決定法」3.で述べた方法により、主星1と伴星2の両方の軌道要素 《 P,a・sin ,e,ω,T 》《 P,a・sin ,e,ω,T 》 が求まります。
 ここで、Pは“公転周期”、aは楕円軌道の“長半径”“軌道面傾斜角”、eは“軌道離心率”、Tは“近点通過時刻”です(詳細はこちらの図を参照)。
 分光連星の場合に“公転周期”をTではなくで表すのは、“近点通過時刻”と混同しないためです。“実視連星”の場合は“近点通過時刻”は直接観測から明らかですが、“分光連星”では視線速度曲線から面倒な手続きを経て求めなければ成りません。そのため“近点通過時刻”は観測から求めなければならない重要な軌道要素です。

 このとき本稿で説明したことから明らかな様に、P, ,e ,T は主星と伴星で共通となりますから主星1と伴星2を区別する添字は付けていません。。またω1とω2は互いに180°異なるだけです。

 また、このとき、分光観測から求まる ・sin 2・sin 実際の距離で求める事ができます。実視連星の様に年周視差観測など別の距離測定の為の観測は必要無いことに注意して下さい。光(電磁波)の伝播速度(つまり光速c)は解っているからドップラー偏移の時間的な変化の様子から、軌道の大きさが見積もれるのです。

 このとき、前項の(A)式はそのまま成り立ちます。ここでは、周期Tを近星点通過時刻と混同しない様にPに置き換えています。また主星と伴星の質量を M と m ではなくて 12 としています。しかし、(A’)式の中にsin の3乗の未定の項が残ってしまいます。

 前項の(B)式もそのまま成り立ちます。左辺の分母と分子にsin を乗じれば観測によって決定できる量 1・sin 2・sin に置き換える事ができます。

また、右辺の分母と分子にも sin3 を乗じているのは未知数の形を(A’)式と対応させるためです。

 “分光連星”の場合には、(A’)式と(B’)式を未知数が 1・sin3 2・sin3 の二元連立方程式として解くのですが、残念ながら最後の答えの中にsin の3乗が関係する未定の項が残ってしまいます。
 すなわち、星の質量は 1・(sin 3 と M2・(sin 3 の積の形で求める事ができるだけです。このことについては別稿「連星パルサーの発見と重力波の存在」2.(2)[補足説明8]の最後の説明をご覧下さい。

補足説明1
 “分光連星”の場合で一方の星のドップラー偏移の時間的変化しか観測できない場合には、求める事ができる答えはさらに制約される。
 実際(A’)式と(B)式から

 上式の左辺は、別稿「連星パルサーの発見と重力波の存在」2.(2)[補足説明8]の(14)、(15)式で求めた視線速度振幅K1を用いると

の形になります。“視線速度振幅”に付いては上記[補足説明8]あるいは別稿「連星の軌道決定法」3.(2)をご覧下さい。これにより、左辺を視線速度曲線の観測値から直接決定できる様になります。
 いずれにしても質量関数の形の解を得ることができるだけです。つまり 1,M2,sin を別々の量として決定する事はできません。これらを別々に決定するには、これらの量が関係した別の何らかの現象に基づく方程式が必要です。
 
 このことに付いては別稿「連星の軌道決定法」3.(3)[補足説明2]、あるいは別稿「連星パルサーの発見と重力波の存在」2.(2)[補足説明8]の最後の部分をご覧下さい。

 

HOME  太陽静止)()()  2.二体問題)()()  3.中心力  4.ポテンシャル  5.文献

3.距離の逆二乗法則に従わない中心力

)力の法則の一般化

 ここでは、中心力であるが働く力の大きさが距離の逆二乗法則に従わない場合を考える。すなわち、万有引力の関数形が下記の場合であるとする。

 このばあいでもケプラーの第二法則は成立する。1.(1)1.で行ったケプラーの第二法則の証明に力が中心力である条件のみが用いられていたことを思い出されたし。
 しかし軌道は超越曲線となり、一般には閉じない。すなわちケプラーの第一法則は一般には成り立たない。n=1のときと、n=−2のときにのみ、軌道は楕円になる。

 

)一般相対性理論

 1915年Einsteinは“一般相対性理論”を提案する。それによると、質量(エネルギー)はその周囲の時空を歪める。
 具体的に説明すると、中心質量が大きいほど、また質量に近いほど空間は縮む。つまり質量に近い場所に置いた物指し棒の長さが縮む。
 また中心質量が大きいほど、またそれに近い場所ほど、時間はゆっくり進む。つまり質量中心に近付くほど、あらゆる時計の進みがゆっくりとなる。

 この効果は見かけ上(15)式のnが−2からずれてくることに帰着することをEinsteinは発見した。
 このことに関連して、“ゼーリガーのパラドックス”に付いてのEinsteinの説明もご覧下さい。なおこのゼーリガーとは別稿「連星の軌道要素決定法」2.(3)で説明した天文学者です。

 そのためあらゆる惑星の公転軌道は楕円のように閉じた軌道とは成らず、いわゆる近日点移動と言われる現象を生じる。その移動量は時空の歪みが大きくなる太陽により近い空間を公転している惑星ほど大きくなる。
 特に、水星のように太陽に近い場所を公転している惑星の近日点移動量が大きくなる。Einsteinは1915年11/18日論文で一般相対性理論が予言する時空の歪みに依って、水星公転軌道の近日点が移動する量を導き、その値が観測値に厳密に一致することを示すことができた。そのことにより、彼は一般相対性理論の正しさを検証してみせたのです。

 

 近日点移動量の検証による一般相対性理論の正当性の証明は、近年、強力な重力場内を互いに公転する“連星中性子星”が発見されたことにより、極めて確かなものになった。
 1974年にハルスとテイラーにより発見された連星中性子星は、連星を構成する中性子星の一方のパルス信号が観測可能だったので、連星中性子星の運動状態が分光連星の解析方法により詳しく解析された。そして、その近日点移動量を厳密に測定することができたので、極めて高い精度で一般相対性理論の正しさが検証された
 さらにこの連星中性子星の公転軌道の変化の様子から、一般相対性理論が予言する重力波の存在が間接的に証明された
 ハルスとテイラーは、数々の検証を可能にした連星中性子星発見の功績により、1993年にノーベル物理学賞を受賞した。このことの詳しい顛末は別稿「連星パルサーの発見と重力波の存在」を参照して下さい。

 

HOME  太陽静止)()()  2.二体問題)()()  3.中心力  4.ポテンシャル  5.文献

4.ポテンシャルエネルギーの存在する力場



 3次元の場合の条件式(17)は、力のベクトルF=(X,Y,Z)が−gradΦの様に、3次元空間のスカラー関数Φ(x,y,z)の勾配(−grad)で表される事を表している。すなわちrot=0であれば良いことを表している。その事を以下で説明される。

 2次元の場合については別稿「絶対温度とは何か(積分因子とは何か)」5.(2)1.を復習されたし。



 渦無しの場はポテンシャル場の勾配で表される様なものなのですが、この関係は物理現象の様々な状況で現れます。流体力学に於ける渦無しの速度場が速度ポテンシャル場の勾配で表されるなども、その例です。別稿「二次元・非圧縮性・完全流体の力学」3.(2)3.[補足説明]4.(2)1.なども復習されて下さい。

 上記の赤波線の認識は大切です。別稿「調和振動子」1.[補足説明]の説明や別稿「質点の二次元運動(放物運動、楕円運動)」のグラフなどを振り返られて下さい。

 

HOME  太陽静止)()()  2.二体問題)()()  3.中心力  4.ポテンシャル  5.文献

5.参考文献

この稿を作るに当たって、下記文献を参考にしました。感謝!

  1. A.Sommerfeld著「理論物理学講座T 力学」講談社(1969年刊)
     本稿はこの本の§6“自由運動質点の動力学、ケプラー問題とポテンシャルエネルギーの概念”の引用です。ただし、かなり改変しています。
HOME  1.太陽静止)()()  2.二体問題)()()  3.中心力  4.ポテンシャル  5.文献