HOME  .X=X(x)  2.調和振動子  3.強制振動  4.減衰振動  5.強制・減衰振動  6.参考文献

調和振動子(自由振動、強制振動、減衰振動、強制減衰振動)

 別稿「運動の法則」3.(4)と、別稿「エネルギー保存則の証明」2.で力の現れ方の違いで、運動の様子が変わることを簡単に説明しましたが、ここでは、力が一次元(x成分のみ)でX=X(x)のような位置関数として与えられる場合の重要な例である調和振動子について説明します。
 本稿の内容の重要な応用が「線形振動子(電気双極子)による電磁波の放出」ですので、合わせてご覧下さい。

1.力が位置関数X=X(x)として与えられる場合の一般的性質

 この場合ニュートンの運動の第二法則は

となる。
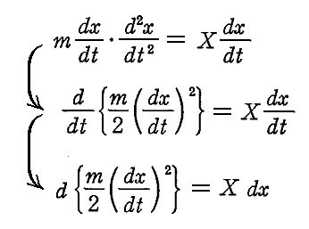
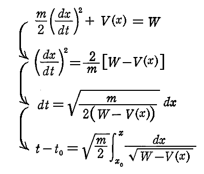
 【力の場が位置関数として与えられる場合】には、積分によってエネルギー保存則を導く事ができる。両辺にdx/dtを乗じて変形すると

となる。
 右辺のXdxは力によってなされる仕事の微小変分だから、これは“質点の運動エネルギーの変化は、力Xによってなされる仕事に等しい。”ことを意味する。ただし質点の運動エネルギーTは

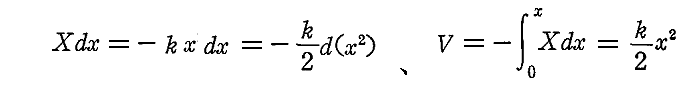
で定義している。ここでさらにポテンシャルエネルギーVを

で定義すると、前記の関係式は積分できてVの付加的な定数の任意性を除いて

となる。Wは全エネルギーと呼ばれる定数で、“エネルギー保存則”といわれる関係式である。
 エネルギー保存則は以下のような注目すべき数学的処方を提供する。すなわち

の様にして t を x の関数とて知ることができる。
 あるいは、その得られた結果を逆に解いて x を t の関数として求めることもできる。これは運動方程式の完全な積分になっている。

補足説明
 上記の “【力の場が位置関数として与えられる場合】には、積分によってエネルギー保存則を導く事ができる。” の中の【力の場が位置関数として与えられる場合】に付いて補足します。
 
 これは本稿の調和振動子の場合の F=−kx の様な形にかぎる必要は無いのです。
 すなわち、 F=一定(力が場所に依らない事は、力がある意味場所の関数である事を意味する) や F=−1/r2 の様なもっと一般的な力の場についても成り立つ事に注意して下さい。
 
 更にこのとき、上記の例では、 =−grad(1/2kx2) や、=−grad(const・x) や、=−grad(−1/r) の様に =−grad(Φ) によって力を導くことができるポテンシャル場Φ(=1/2kx2 、=const.x 、=−1/r )が存在しますが、もともとその様にポテンシャル場Φが存在する力の場である必要は無い。
 すなわち、ポテンシャル場で無くてもかまいません。力の場が位置座標によって一意に決定されていさえすれば良いのです
 
 すなわち、【Fが位置座標の関数】であれば、運動方程式で考察している物体の存在位置による違いに伴う“位置エネルギー”と言うものが常に定義できて、その物質がその時々に存在する場所で持っている“運動エネルギー”というものと合わせたものが、いっも一定値となる。つまり“エネルギー保存則”というものが成り立つのです。
 
 以上の事柄を理解された上で別稿「質点の二次元運動(放物線、楕円運動)」を復習さたし。

 

HOME  1.X=X(x)  .調和振動子  3.強制振動  4.減衰振動  5.強制・減衰振動  6.参考文献

2.調和振動子

 調和振動子とは単振動を行う振動体のことです。つまり復元力が変位の量に比例する振動体の総称です。単振動と復元力の関係は別稿で簡単に説明しましたが、ここではもう少し詳しく説明します。
 振幅が小さい場合、大半の振動がこのような復元力で近似できるので応用上とても重要です。

)エネルギー方程式の積分

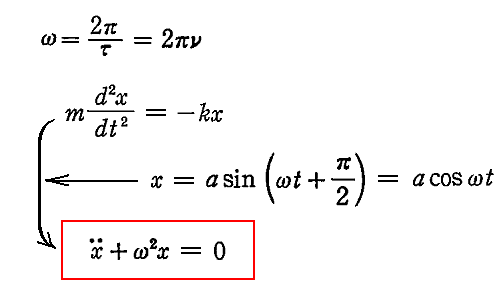
 質点に変位xに比例して、常に座標原点方向に働く力が作用する場合を考える。
 すなわち、【1.で述べた力の場】が k を比例定数として X(x)=−kx で表される場合を考える。このとき運動方程式は

となる。
 【力が位置座標の関数】であるから前章の一般的方法に従って、積分を実行して、エネルギー保存則を導くことができる。
 調和束縛力[X(x)=−kx]の場合のポテンシャルエネルギー V は

となる。ただし任意に取れる積分定数はVが原点でゼロになるように決めている。従ってエネルギー保存則は

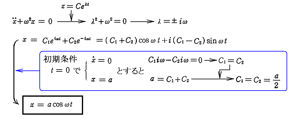
となる。初期条件をt=0でx=a、v=dx/dt=0とすると 2W=ka2 となるので

となる。初期条件(t=0でx=a、v=dx/dt=0)を考慮すると

となる。つまり、エネルギー方程式を用いると、力Xがxのどの様な関数であっても常に運動方程式の解を与える。
 ここでωの物理的意味は明確です。ω は単位時間に回転する角度を意味する“角速度(角振動数)”です。それは“周期”τ“振動数”νと以下のように関係する。

最後の形を見れば解るように、これはxやxの時間微分に関して“一次・同次・方程式”になっている。つまり式の中に x2,x3,x・(dx/dt),(dx/dt)2,(d2x/dt22,等々・・・・・などの項が存在しないで、しかも右辺が0である事を意味する。。 

 

)定数係数の同次線型微分方程式

 力Xがxに関して線型であることに着目すると、前節とは違った方法で解くこともできる。このような“同次・線型・微分方程式”(線型とは一次方程式である事を意味する。)



の形の特解を持つことはただちに解る。
 このときλは、特解を微分方程式に代入して得られる λ の二次方程式の根として決めることができる。そのようにして得られる解は、微分方程式の特解であり、一般解はそれらの特解の重ね合わせで得られる。すなわち

となる。定数C1、C2は、初期条件から決まることに注意。
 このような簡単な解法が可能なのは、調和振動力X(x)=−kxが、座標に関して線型であったために、振動がただ一個の定数ωで表せたからです。力が非調和型(非線型)の場合には前節のエネルギー積分の方法を用いなければならない。

 

)補足説明

 以上の様にして得られた解

が、エネルギー保存則を満たしているのを確認します。これをエネルギー保存則表現式の左辺に代入すると

となり、確かに右辺のエネルギー値W=a2k/2に一致します。

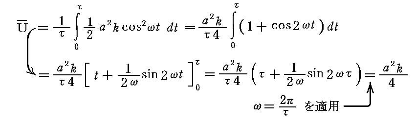
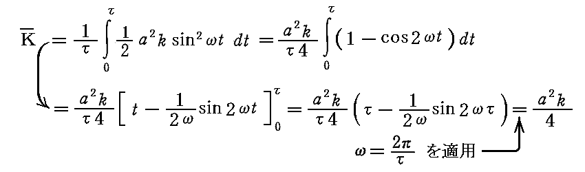
 所で、任意の時刻の運動エネルギーKの表現式から、1周期間τでの《平均運動エネルギー》を求めると

となります。ここで k=mω2 であり、a=最大振幅 である事を忘れないで下さい。
 更に、任意の時刻の位置エネルギーUの表現式を用いて1周期間τでの《平均位置エネルギー》を求めると

となります。
 すなわち、単振動体(調和振動体)の一周期間τの《平均運動エネルギー》と《平均位置エネルギー》とは等しい。
 また、その値は(任意の時刻に対して一定となる)全エネルギー値W=a2k/2 の 1/2 となる。

 単振動子(調和振動子)に対して成り立つ上記の結論は、とても重要で、様々な所で利用されます。

 

HOME  1.X=X(x)  2.調和振動子  .強制振動  4.減衰振動  5.強制・減衰振動  6.参考文献

3.強制振動

)非同次線型微分方程式

 ここでは強制振動力がcsinωtで与えられる

の形の強制・非減衰振動の微分方程式を考察する。ここで ω は強制振動の角速度(角振動数)、c は強制振動力の振幅である。ここでも復元力は、小振動の場合に近似的に許されるxに関する線型化を行って −kx としている。つまり x2 や x3 などの高次の項は無視できる場合を考えている。
 右辺を加えたことにより、微分方程式はもはや同次ではなくなるが、この形の微分方程式の解は非同次線型微分方程式特解と、右辺をゼロと置いた同次微分方程式一般解の和で表される。

 非同次線型微分方程式の特解は

で与えられる。このときの定数Cは、この解を微分方程式に代入すれば決定できる。すなわち

となる。
 故に解は、その特解と(先ほど求めた)同時微分方程式の一般解との和である

となる。

)非同次線型微分方程式の特解の意味

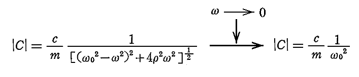
 特解の振幅Cは、ωが増大してω→ω0に近づくと共に無限大になる。ωがω0を超えるとCは正の無限大から負の無限大に飛び移りω→∞とともに0に収束する。
 ただし、振幅は本来正と考えるべきであるので|C|で定義して、符号の変化はsinωtの位相に負わせるべきである。つまりω=ω0でδ=±πの変化があるとした方がよい。このときωがω0を超えるとき位相の変化がδ=+πとδ=−πのどちらであるかが問題になるが、強制・非減衰振動を5.章で説明する強制・減衰振動の極限の場合と考えると、δ=−πをとるべきであることが解る。下図はその当たりの様子を図示したものである。

従って特解は

となる。
 ω=ω0で、振幅が無限大になるのは、自由振動と強制振動の間の共鳴の現象である。つまり、振動系の固有振動数ω0/2πに、強制振動力の振動数ω/2πが近づくにつれて振幅がおおきくなってくる。
 ただしここで、線型の振動の微分方程式は、本来無限小振動の場合にのみ正しい近似的なものであるから、無限大の振幅が現れる領域は、不適切な外挿であることを注意しておかなければならない。

)非同次線型微分方程式の一般解

 ここで一般解に帰って、その性質を調べてみる。一般解の定数 A と B は初期条件によって決まる。そのため

となる。
 ここで二つの振動数 ωと ω0 が十分近接した共鳴に近い特別な場合を調べてみる。

となる。このタイプの振動は、もはや自由振動のような周期性を示さない。三角関数の外に掛かっている t のために振幅は時間と共に増大して下図の様に無限大に発散する。

 ただし、振幅が大きくなると、線型な向心力の仮定が成り立たなくなるので、普通無限大振幅は実現しない

 

HOME  1.X=X(x)  2.調和振動子  3.強制振動  .減衰振動  5.強制・減衰振動  6.参考文献

4.減衰振動

)同次線型微分方程式

 ここでは、減衰を引き起こす項として速度に比例し、速度ベクトルと反対向きの力が働くと仮定する。その場合の微分方程式は

となります。これは空気中で振動する振動子の振幅が空気抵抗を受けながら減衰していく場合などが当てはまります。
 これは同次線型微分方程式です。ここで

の置き換えをすると

となる。この方程式は2章(2)節で示した方法で解くことができる。

とおき、微分方程式に代入すると、λを決める2次方程式が得られるので

となる。

)解の様子

 前節で仮定した初期条件時の解を図示する。解の様子はρがω0よりも大きいか小さいかによって異なる。

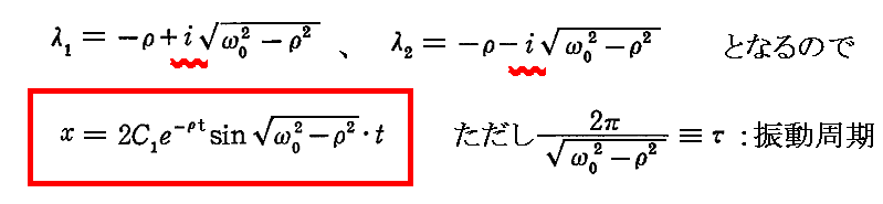
1.ρ<ω0の場合

 この場合

となる。

 この場合には減衰項e−ρt が掛かっているために振幅が指数関数的に減少しながら振動することを示している。ρが小さい場合には2.章で説明した非減衰振動の場合とほとんど変わらなくなる。

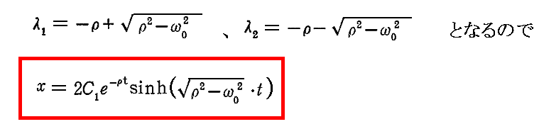
2.ρ>ω0の場合

 この場合にはλ1、λ2が実数で

となる。

 この場合には1回だけ振幅が振れた後に、振動を繰り返すことなく減衰することを示している。

 

HOME  1.X=X(x)  2.調和振動子  3.強制振動  4.減衰振動  .強制・減衰振動  6.参考文献

5.強制・減衰振動

)非同次線型微分方程式

 最後に強制力と減衰力の両方が働く場合を考える。この場合も前節と同じ置き換えをすると微分方程式は

となる。
 これは非同次線型微分方程式であるが、この解は、この非同次方程式特解と右辺がゼロの同次線型微分方程式一般解との和になる。
 同次線型微分方程式は前節で求めた減衰振動の場合と全く同じであるからその解が利用できる。しかし、解のこの部分は時間と共に指数関数的に減衰して行く。そのため十分長い時間が経った後には非同次微分方程式の特解のみが残るので特解の性質を調べればよい

)非同次線型微分方程式の特解

 非同次微分方程式特解として

の形が考えられる。これを非同次線型微分方程式に代入してのおのおのにかかる係数を比較すると

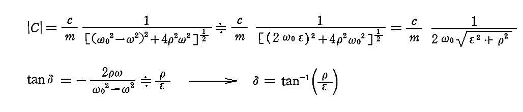
が得られる。この二式の辺々を乗じるか、割り算することにより

が得られる。
3.(2)と同様にωの関数として振幅と位相を示すと

となる。このとき外力として働く強制振動の角振動数ωの変化に応じて振動は以下のように変化する。

  1. ω<ω0 の場合
     強制振動の角振動数 ω が固有角振動数 ω0 よりもずっと小さい場合には、振動子は外力の強制力に遅れることなく追従して振動するが、強制振動の角振動数 ω が固有角振動数 ω0 に近づくにつれて振動子の位相の遅れが生じてきて、その遅れの量は δ→−π/2 に近づいていく。
     また、逆に ω→0 の場合、 δ→0 に近づき、振幅は

    に近づいて行く。
  2.  ω〜ω0 付近
     3.(2)の強制振動では振幅が無限大に発散したが、ここでは減衰項の為に振幅は有限の値にとどまる。このとき振動子の位相の遅れは δ〜−π/2 となる。
     この場合、極大は ω=ω0 ではなくて ω0 よりも少し小さい ω で起こることに注意されたし。|C|が極大値となる ω は、|C|を ω で微分した式がゼロとなる条件より求まる ω=(ω02−2ρ20.5 です。そのときの極大値は

    となる。
     ω=ω0 は|C|が極大値を取る所ではなくて速度振幅|C|ωが極大になる ω 値です。速度振幅が極値を取る ω 値は、|C|ω を ω で微分した式がゼロとなる条件から求まり、確かに ω=ω0 となることが解る。そのときの振幅は

    となります。
  3. ω>ω0 の場合
     ω が固有角振動数 ω0 を超えると、ω が大きくなるのに従って、振動子の振動の位相の遅れ はπ/2 より段々大きくなって ω→∞ のとき δ→−π に近づく。また振幅は段々小さくなり、ω→∞ のときゼロとなる。

 

)ρ<<ω0の場合

 速度に関係する減衰項の効果(摩擦)が小さい場合(つまり ρ<<ω0)をもう少し詳しく考察する。
 この場合 (ω02−2ρ20.5 と ω0 との差は二次の微少量となり、振幅の最大値はほぼ ω〜ω0 で生じるとみなせる。このとき ω=ω0+ε とおくと共鳴の近くの領域では

と近似できるので

となる。
 式から明らかなように共鳴は ε=0(すなわちω=ω0) で起こる。そのときの振幅は最大値

となる。つまり振幅は減衰係数ρに反比例して変化することが解る。また、このときεがρ程度共鳴振動数 ω0 から離れる(つまり ω=ω0±ρ )と振幅は 1/20.5〜0.7倍 に小さくなる。これは減衰係数ρが小さくなると共鳴曲線は鋭くなることを意味する。すなわち共鳴曲線は減衰係数ρが小さくなるほど狭くかつ高くなる

 強制力の振動数が変化するさい、振動と強制力との位相差 δ は常に負となる。すなわち振動が外力に対して遅れる。共鳴から遠ざかると ω<ω0(つまりε<0) の側では δ はゼロに向かい、ω>ω0 の側では −π に近づく。ω=ω0 のときの位相差は −π/2 を通過する。δ のゼロから π までの変化は振動数で言えば ω0 を中心とした2ρ程度の幅で起こる。

 3.(2)で論じた減衰項の無い(つまり摩擦の無い)強制振動の位相差 δ は ω=ω0 で π だけ飛躍したが、減衰項 ρ が存在するとこの飛躍が ω0 を中心とした 2ρ 程度の幅にならされてしまう。

 

HOME  1.X=X(x)  2.調和振動子  3.強制振動  4.減衰振動  5.強制・減衰振動  .参考文献

6.参考文献

 この稿は一般的な内容なのでたいていの教科書に載っていますが、ここの説明は主に
  アーノルド・ゾンマーフェルト著「理論物理学講座T 力学」講談社(1969年刊)§3、§19や
  ランダウ、リフシッツ著「力学」東京図書(1971年刊) 第5章§26
等を参考にしています。別稿の準備の為に自分自身の復習をかねて作りました。

HOME  1.X=X(x)  2.調和振動子  3.強制振動  4.減衰振動  5.強制・減衰振動  6.参考文献