HOME   導入 1.Planck)()()()()()() 2.Einstein)()()() 3.批判 4.解説 5.現代物理

Einsteinの量子論と量子力学批判

 これは、湯川秀樹監修、谷川安孝訳「アインシュタイン選集T」共立出版(1971年刊)より引用した。Einsteinの量子論関連論文についての谷川安孝氏の解説です。ただし、少し改変しています。
  Pais文献のW.19.や、別稿で引用しているStachelの解説や、江沢洋著「統計力学へのアインシュタインの寄与」などとと対比しながら読まれることを勧めます。





 

HOME   導入 1.Planck)()()()()()() 2.Einstein)()()() 3.批判 4.解説 5.現代物理

1.プランクの量子仮説にたどりつくまで

(1)ステファン-ボルツマンの法則












補足説明1
 “ステファン-ボルツマンの法則”の上記の証明は後にPlanckが示したやり方です。
 ボルツマンのオリジナルの証明はこちら(あるいはこちら)をご覧下さい。

 

HOME   導入 1.Planck)()()()()()() 2.Einstein)()()() 3.批判 4.解説 5.現代物理

(2)ウィーンの変位則








補足説明1
 (5)式から(7)式についての谷川氏の説明は、おそらくPlanckの解説を紹介されているのだと思いますが、非常に解りにくい。この部分は別稿「ウィーンの変位則(1893年)」4.Planckのオリジナルの説明を参照されて下さい。ウィーンのオリジナル論文(1893年)はこちらを参照されて下さい。

補足説明2
 上記の補足については、別稿「ウィーンの変位則(1893年)」5.(1)[補足説明2]を参照されて下さい。そこでは T/ν≡x としていますが、考え方は同じです。

補足説明3
 上記の説明については、別稿「ウィーンの変位則(1893年)」5.(2)2.[補足説明3]を参照されて下さい。そこでは T/ν≡x としていますが、考え方は同じです。

 

HOME   導入 1.Planck)()()()()()() 2.Einstein)()()() 3.批判 4.解説 5.現代物理

(3)ウィーンの輻射公式

補足説明1
 ここは、ウィーンの原論文「黒体の放出スペクトルにおけるエネルギー分布について(1896年)」を参照されながらご覧下さい。






補足説明2
 (9)式に付いての補足です。
 ウィーンの原論文「黒体の放出スペクトルにおけるエネルギー分布について(1896年)」では振動数νの関数ではなく、波長λの関数として下記の様に与えられています。

 ところで、変数を λ から ν に変えて

と置き直すと

となりますので、ここの表現である(9)に一致します。


 

HOME   導入 1.Planck)()()()()()() 2.Einstein)()()() 3.批判 4.解説 5.現代物理

(4)レイリー-ジーンズの輻射公式

補足説明1
 上記のRayleighの原論文「完全輻射の法則についての注意(1900年)」は別ページで引用。
 Jeansの論文は、Phil.Mag.10 (1905年) p91〜98 と、Phil.Mag.17 (1909年) p229〜276 で引用しています。
 以下の議論については、別稿「統計力学」2.(6)3.も復習されて下さい。











 

HOME   導入 1.Planck)()()()()()() 2.Einstein)()()() 3.批判 4.解説 5.現代物理

(5)輻射のエントロピー



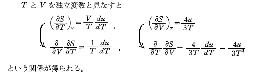
(a)エネルギー等分配則が成り立つとき


[補足説明1]
 最初の熱力学関係式は別稿「絶対温度とは何か(積分因子とは何か)」6.(4)3.

などから導かれる。

これから得られるdSは完全微分だから

が成り立つこと導かれる。
 この内の最初の式は、熱力学第二法則を表す式です。これを使うと

が得られる。

 

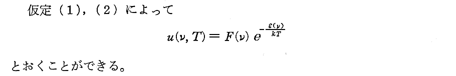
(b)ウィーンの輻射公式の場合



 

 

HOME   導入 1.Planck)()()()()()() 2.Einstein)()()() 3.批判 4.解説 5.現代物理

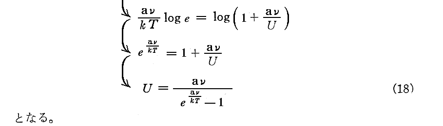
(6)プランクの輻射公式


これらの論文は別稿「プランクの熱輻射法則(1900年)」で引用しています。








 

HOME   導入 1.Planck)()()()()()() 2.Einstein)()()() 3.批判 4.解説 5.現代物理

(7)エネルギー量子の仮説













 

HOME   導入 1.Planck)()()()()()() 2.Einstein)()()() 3.批判 4.解説 5.現代物理

2.アインシュタインの量子論

(1)光量子論






補足説明1
 ここは、Einsteinの原論文の解説 「Einsteinの光量子論(1905年)」 を参照されて下さい。

 

HOME   導入 1.Planck)()()()()()() 2.Einstein)()()() 3.批判 4.解説 5.現代物理

(2)固体比熱の量子論

補足説明1
 上記の説明については江沢洋著 「統計力学へのアインシュタインの寄与」 も参照されて下さい。上記文献

は、別稿で英訳版を引用している Einsteinの統計力学三部作 1902年1903年1904年 の内の最初の二編です。

補足説明2
 上記文献

は、別稿 「Einsteinの光量子論(1906年)」 で引用・解説しています。







 

HOME   導入 1.Planck)()()()()()() 2.Einstein)()()() 3.批判 4.解説 5.現代物理

(3)量子統計


補足説明1
 上記のBoseの文献は

です。これはネットからDownlordできるBoseの論文集から入手できます。
 ここに関係するEinsteinの論文は、別稿     で引用・解説しています。


 

HOME   導入 1.Planck)()()()()()() 2.Einstein)()()() 3.批判 4.解説 5.現代物理

(4)輻射の放出と吸収の理論







 

HOME   導入 1.Planck)()()()()()() 2.Einstein)()()() 3.批判 4.解説 5.現代物理

3.アインシュタインの量子力学批判











 

HOME   導入 1.Planck)()()()()()() 2.Einstein)()()() 3.批判 4.解説 5.現代物理

4.「Einstein選集T」収録の量子論関連論文についての解説


補足説明1
 上記の注は

のことですが、これは Einsteinの統計力学三部作 1902年1903年1904年 の最後のものです。
 この論文については、江沢洋著 「統計力学へのアインシュタインの寄与」p116_117 も参照されて下さい。

[B1]、[古叢2.p3〜20]




[B2]、[古叢2.p23〜29]




[B3]、[古叢2.p33〜44]



[B4]

[B5]

[B6]



[B7]

[B8]


[B9]

[B10]

[B11]

[B12]



 

HOME   導入 1.Planck)()()()()()() 2.Einstein)()()() 3.批判 4.解説 5.現代物理

5.アインシュタインの量子論と現代物理学





 

HOME   導入 1.Planck)()()()()()() 2.Einstein)()()() 3.批判 4.解説 5.現代物理