HOME   TOP §1 §2 §3 §4 §5 補注 END  邦訳版 江沢解説 サイトマップ

A.Einstein著, “Zur allgemeinen molekularen Theorie der Wa¨rme”, Annalen der Physik, ver.4, vol.14, p354〜362, 1904年
 プリンストン大学のアーカイブス(下記URL)に原本と英訳版があります。
https://einsteinpapers.press.princeton.edu/vol2-doc/134
https://einsteinpapers.press.princeton.edu/vol2-trans/94
 本稿はその中の英訳版の引用です。 左欄に記されている数字 [1]〜[30]は原本に付されている[補注]ですが、英訳版にも添付されています。その内容は稿末に載せています。 邦訳版はこちらです。





HOME   TOP §1 §2 §3 §4 §5 補注 END 邦訳版 江沢解説






HOME   TOP §1 §2 §3 §4 §5 補注 END 邦訳版 江沢解説







HOME   TOP §1 §2 §3 §4 §5 補注 END 邦訳版 江沢解説














HOME   TOP §1 §2 §3 §4 §5 補注 END 邦訳版 江沢解説



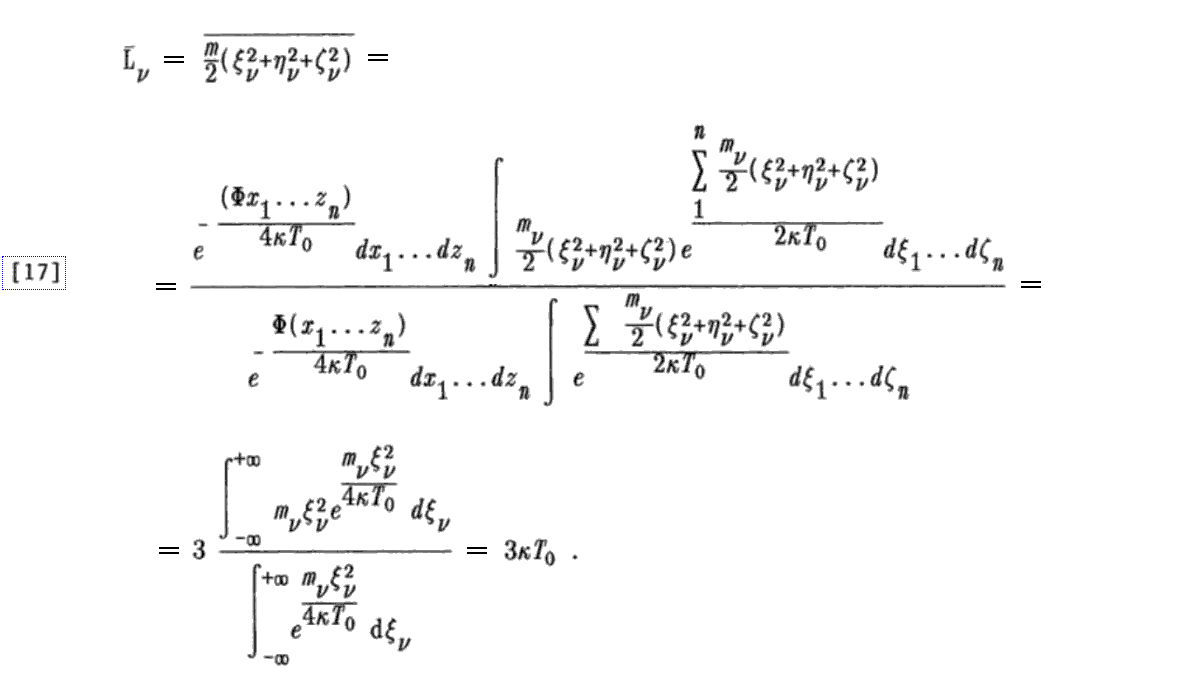
[補足説明]
 上記式変形を補足する。

 別稿シュポルスキー「原子物理学」第9章§116.付録W.2.なども参照されたし。





HOME   TOP §1 §2 §3 §4 §5 補注 END 邦訳版 江沢解説







 当時の値を用いると、定数cは 7.06×10-16J/m34=7.06×10-15erg/cm34(別稿「プランクの熱輻射法則」9.(3)で求めたaの値)であり、ボルツマン定数は注[21]で求めている6.5×10-17erg/K を用いている様です。これらから、上記の 0.42が得られます。また、下記のウィーンの変位則の定数 b=0.293cm・K の値も「プランクの熱輻射法則」9.(3)を参照して下さい。


HOME   TOP §1 §2 §3 §4 §5 補注 END 邦訳版 江沢解説


HOME   TOP §1 §2 §3 §4 §5 補注 END 邦訳版 江沢解説