HOME   導入 §1.過程の記述 §2.Dopplerの原理    Planckの解説 プランクの熱輻射法則(1900年) サイトマップ

Willy Wien 「黒体輻射と熱理論の第二主則との新しい関係」

Willy Wien,“Eine neue Beziehung der Strahlung schwarzer Ko¨rper zum zwiten Huptsatz der Wa¨rmetheorie”, Sitzungsberichte der Berliner Akademie, p55〜62, 1893年
 物理学史研究刊行会編「物理学古典論文叢書1 熱輻射と量子」東海大学出版会(1970年刊)
  4.「黒体輻射と熱理論の第二主則との新しい関係」(辻哲夫 訳)より引用。
 ただし、解り易くするために、かなり改変しています。もとの表現は原論文でご確認下さい。
 また、この内容をさらに厳密にして解り易くした Planckの解説 もありますので、そちらもどうぞご覧下さい。






 

HOME   導入 §1.過程の記述 §2.Dopplerの原理    Planckの解説 プランクの熱輻射法則(1900年) サイトマップ

§1.過程の記述






 [定理


補足説明1
 上記の定理については、別稿「ウィーンの変位則(1893年)」2.プランクの証明も参照されたし。この定理は、§2.[補足説明5]で説明する様に極めて重要な意味を持ちます。

 

HOME   導入 §1.過程の記述 §2.Dopplerの原理    Planckの解説 プランクの熱輻射法則(1900年) サイトマップ

§2.Dopplerの原理によるエネルギー分布の変化の計算


補足説明1
 上記の“Dopplerの原理”については別稿「ウィーンの変位則(1893年)」3.(1)[補足説明1]などを復習されたし。これがウィーンの証明の最大の鍵ですから十分理解される事が必要です。












補足説明2
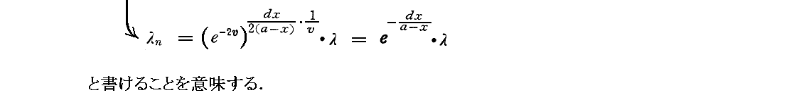
 上記で用いた指数関数の底を e にする為のテクニックについては、別稿「統計力学」2.(8)[補足説明1]を参照されたし。これは統計力学でしばしば使われるテクニックです。





補足説明3
 以下で用いる輻射のエネルギー量Eやエネルギー密度ψは、すべての波長領域にわたって集約したものであることに注意されたし。先ほどのφ(λ)と混同しないで下さい。ψ(プサイ)φ(ファイ)は字がよく似ていますので間違えないで下さい。






補足説明4
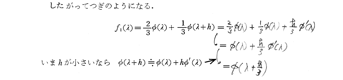
 最後に得られた

の意味は非常に解りにくい。ここのエネルギー密度は全波長成分について積分した下記のものです。

ψ(プサイ)とφ(ファイ)は字がよく似ていますので混同しないで下さい。
 これと、波長λ,λ0との上記の関係を理解するには、別稿「ウィーンの変位則(1893年)」5.(2)2.[補足説明4]の図が参考になります。関数φ(λ)の具体的な形は、この1893年の時点では、まだ解っていませんが、プランクの輻射公式を適応例として説明した図です。
 つまり、上記のλ0とλは何処の波長を意味するのかといいますと、上記の積分をするときの下図の対応する波長λλ’を示していると考えます。すなわち、もともと波長λ領域の輻射が距離量xだけの圧縮に伴って波長λ’の領域の輻射に変化したと考えているのですから。
 下図は T’=2000KT=1000K(すなわちT’=2)の場合について、 u(λ,2000K)u(ν,1000K) のグラフを描いて、振動数λと絶対温度Tとの関係を確認する図です。ここでは、縦軸をEλではなく u(λ,T) にしていますが、両者は定数倍の違いしかありませんので同じことです。

上図中に記されている記号と本論文中の記号との対応は下記の様になります。

これらの対応に留意すれば上図中の

図中の

が対応するのではありませんので注意して下さい。

補足説明5
 §2.のここまでの議論には温度Tは全く関わっていなかったことに注意して下さい。ここで得られた結論は熱力学とは関係なく【電磁波のドップラー効果の理論】と、【電磁場の輻射圧公式から導かれたのです。そのため完全に反射する壁で囲まれた真空の箱の中の輻射であれば黒体輻射でなくても任意のエネルギースペクトル分布の輻射の断熱・可逆変化に対して成り立ちます
 
 一方、§1.の最後で導かれた定理は熱力学第一、第二法則によって導かれたもので、温度の定義できる“黒体輻射”に対してのものです。
 
 以下で§1.§2.の結論の整合性を図ります。その事によって【体積Vの変化に対する輻射エネルギー密度φの変化】の様子を、【輻射場の絶対温度Tの変化に対する輻射エネルギー密度φの変化】の様子に変換する事ができます。
 そのとき、熱力学法則より導かれた【Stefan-Boltzmannの法則】が本質的な関わりを持ちます。 



補足説明6
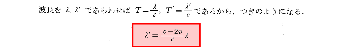
 上記の結論が、いわゆる“ウィーンの変位則”オリジナル表現です。
 この式は、上記[補足説明4]中の

に対応します。

補足説明7
 以下の説明文は、上記の関係式を更に解釈しなおしてより一般的な性質として説明するものです。ただし、ウィーンのこの部分の説明は非常に解りにくい。ウィーンは本論文に続く論文

で、この当たりの事についてもう少し詳しく且つ解り易く説明していますので、それをごらんになると良いのですが、同じ事を別稿「ウィーンの変位則(1893年)」5.(2)でPlanckが説明していますのでそちらをご覧になる事を勧めます。
 なお、もう少し補足しますと下記文中の

は、[補足説明4]中の

が対応します。




HOME   導入 §1.過程の記述 §2.Dopplerの原理    Planckの解説 プランクの熱輻射法則(1900年) サイトマップ