HOME   導入  1.Planck輻射理論と光量子  2.光電効果とVolta効果   参考文献

アインシュタインの光量子論(1906年)

 アインシュタインの光量子説第2論文(1906年)を紹介します。以下の訳文は文献1.より引用した。ただし、誤植を訂正し、解りやすくする為に少し改変しています。元の表現はこちらでご確認下さい。
 左欄に記入の数字は原論文のページ数です。 

導入

補足説明1
 注1)の光量子論第1論文は別稿「Einsteinの光量子論(1905年)」で引用・紹介しています。
 Einsteinはそこで述べた光量子の考え方はWienの輻射公式の有効な範囲(つまり振動数が高く、輻射エネルギー密度が低い領域)で有効だと考えていた。
 そのため輻射公式が、全振動数領域、全エネルギー密度領域で正しい結論を与える【Planckの輻射理論】と、【注1)論文の理論メカニズム】は対立的と思っていた。

補足説明2
 上記注2)の論文はこちらです。そのp561の(12)式(あるいは(13)式)の“Planckの輻射公式”を指している。ただし、Planckはその論文の中で光(電磁波)が量子的など何処にも言っていません。光(電磁波)と平衡関係にある振動子が持つエネルギー値が量子化されていると言っているだけです。
 ところがここで Einstain は “Planck理論はまさに今述べた(Einstainの1905年論文)の光量子仮説を用いている” と言っているのです。

 

HOME   導入  1.Planck輻射理論と光量子  2.光電効果とVolta効果   参考文献

§1. Planckの輻射理論と光量子

補足説明1
 上に引用したEinstein論文の§1とはこちらです。(1)式中の 光速度(普通は c と書く)を、 は絶対温度を意味します。これは、いわゆる別稿“レーリー・ジーンズ公式”の(3)式やJeans「物質とエーテルの間のエネルギーの配分について(1905年)」同じです。


補足説明2
 上記Planckの論文はこちらです。上の(3)式は、そのp99の(34)式を指しているのですが、別稿「プランクの熱輻射法則(1900年)」3.(1)3.を参照される方が解りやすいです。





補足説明3
 上記の1903年の論文は
“Eine Theorie der Grundlagen der Thermodynamik”, Annalen der Physik, ver.4, vol.11, p170〜187, 1903年
です。プリンストン大学のアーカイブスに原本と英訳版があります。邦訳版を別稿で引用していますので参照されて下さい。
 上記原注2)の§6はこちらです。すなわち、Einstein独自の統計力学的考察から絶対温度Tにおけるこの問題の系のエントロピーSは

で記述できる事を導いた。
 
また、下記源注3)の§3と、§4はこちらです。
 
 上記原注1)の論文については、江沢文献「統計力学へのアインシュタインの寄与」p112〜113 や、 文献4.9-4.広重徹氏の説明 などを参照されたし。






 Einsteinは上記赤下線部分の計算式を具体的に示してくれていませんが、そのやり方は1907年の比熱の量子論の前半部“Planckの黒体輻射分布則”と同等な法則を固体振動子の集合体に対して導いているのと同じです。
 本稿の (5a)式のdW が、そこの (3a)式のdW と同じである事に注意して参照して下さい。

補足説明4
 上記の事柄が、この論文で最も重要な所で、江沢文献「統計力学へのアインシュタインの寄与」のp124-125でも説明されています。
 
 ここでEinsteinが言っていることは別稿で引用しているファインマン物理学U.16.“ブラウン運動” 16-3.「エネルギーの均等分配と量子振動体」の内容と同じことです。そこでファインマンが紹介している“Planckの黒体輻射分布則”の求め方はDebyeの1910年論文のやり方なのですが、これはおそらく本論文でEinsteinが展開している説明を焼き直したものです。だから、そのファインマン文献を読まれることを勧めます。さらにまた、別稿久保亮五著「統計力学」3.(1)1.[補足説明2]もご覧下さい。
 つまり、本論文でEinsteinが言っている事は、ファインマン文献のDebyeの説明と同じです。実際、Einsteinは本論文の考察を1907年の比熱の量子論の前半部で繰り返して“Planckの黒体輻射分布則”と同等な法則を固体振動子の集合体に対して導いているのですが、これは後の1910年にDebyeが展開する方法と同じです。




補足説明5
 上記の近似計算については、β=h/kBである事を考慮されて、別稿「プランクの熱輻射法則(1900年)」8.(5)[補足説明2]を復習されて下さい。
 ただし、Einsteinは単に上記引用先の極限操作を論じているのでは無くて、シュポルスキー文献5.§116の後半部の極限操作を論じているのかも知れません。

補足説明6
 §1.で述べている事柄は、広重徹_文献4.「物理学史」の15-3.と、9-4.の解説や、江沢洋_文献5.「統計力学へのアインシュタインの寄与」に書かれているようですが、私自身Einsteinの1903年論文が良く理解できていないので旨く説明できません。
 
 おそらくこれが、1907年の比熱の量子論論文や、 シュポルスキーが文献6.§116.の後半 で説明していることに発展するのでしょう。実際、シュポルスキーが§116の後半で説明している事柄にアインシュタインが到達するのは1909年の論文に於いてですが、それに通じるものをこの段階でつかんでいたのでしょう。 

 

HOME   導入  1.Planck輻射理論と光量子  2.光電効果とVolta効果   参考文献

§2. 予期される光電散乱@とVolta効果の定量的関係


補足説明1
 「ボルタ効果【Volta effect】」は、アレッサンドロ・ボルタが発見した「異種金属を接触させると、その間に電位差が生じる接触電気現象」のことです。





補足説明2
 ここの説明は、難解ですが 1905年論文の§8の関係式 を導いているのだと思います。別ページのPtとAlのボルタ効果を例にした説明でご確認ください。
 つまり、 Einstain が本論文を書いた1906年段階では光電効果における金属の接触電位の効果は全く知られていなかったのですが、当時知られていた「ボルタ効果【Volta effect】」の意味を正確に捉えて光電効果の現象を的確に理解していたということです。




補足説明3
 Einsteinがこの論文にわざわざ§2.の事柄を書き加えたのは、光量子の第1論文§8で述べた

に関して、“当時の光電効果についての実験結果にはその事に付いての情報が影も形も見えないのは、光電子を発生させる試験金属の接触電位に関する知見が実験結果の解釈に反映されていないからだ!!と気付いたためでしょう。
 
 実際、当時の実験家が遭遇していたのは、別稿「光電子と光子」4-1.3.[補足説明1]で説明した様に、まさにその事に関係した混乱だったのですから。
 そのため、その後の実験家達は、本稿のEinsteinの示唆・助言にしたがって、その事を改善する実験装置を工夫して光電効果実験を進めます。
 別稿「光電子と光子」4-1.3.[補足説明4]で説明した“球状光電子管”などもその工夫の一つです。
 またMillikanは、ノーベル賞講演のなかで

と述べていますので、接触電位が関係する事柄を正確に見極める為の工夫・改善が、Millikanの実験装置に於いても重要な位置を占めていたと思います。

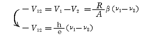
補足説明4
 上記の

の議論ですが、 A=e×N(アボガドロ数)だから

となり。

となりますので、 V12 を eV で測った値を用いた式は

となり。プランク定数h を求めているのです。

HOME   導入  1.Planck輻射理論と光量子  2.光電効果とVolta効果   参考文献

参考文献

  1. 物理学史研究会編「物理学古典論文叢書2 光量子論」東海大学出版会(1969年刊)
     本稿は、この中の2. A.Einstein著「光の発生と光の吸収の理論について」の引用です。
    Einstein, “Zur Theorie der Lichterzeugung und Lichtabsoption”, Ann, d. Phys., 20, 199-206 (1906)
     原論文は、下記URLにて閲覧可。これはプリンストン大学のアーカイブスの原本と英訳版のURLです
    https://einsteinpapers.press.princeton.edu/vol2-doc/385
    https://einsteinpapers.press.princeton.edu/vol2-trans/206#,
  2. Einstein,“Eine Theorie der Grundlagen der Thermodynamik”, Annalen der Physik, ver.4, vol.11, p170〜187, 1903年
     これは、本文中で自らの論理を展開するとき、参考として引用している論文です。プリンストン大学のアーカイブスの下記URLに原本と英訳版があります。
    https://einsteinpapers.press.princeton.edu/vol2-doc/113
    https://einsteinpapers.press.princeton.edu/vol2-trans/112#
     この中から邦訳版を別稿で引用していますので参照されて下さい。
  3. 物理学史研究会編「物理学古典論文叢書2 光量子論」東海大学出版会(1969年刊)
     この中の1. A.Einstein著「光の発生と変脱とに関する一つの発見法的観察について」が光量子論の第1論文です。
  4. 広重徹 著 『物理学史T』〈新物理学シリーズ 6〉培風館、1968年3月 (原著1966年)
     この中から。 9-4.“アンサンブルの理論” を引用。
    広重徹 著 『物理学史U』〈新物理学シリーズ 6〉培風館、1968年3月 (原著1967年)
     この中から、 15-3.“光量子と比熱” を引用。
  5. 江沢洋著「統計力学へのアインシュタインの寄与」
     これは、アイヘルブルク、ゼクスル編「アインシュタイン」岩波現代選書(1979年刊)の中からの引用です。
  6. シュポルスキー 著、玉木英彦他 訳 『原子物理学T』(増訂新版)東京図書、1996年
     この中の§116.“光の場のゆらぎ”と、§118.“アインシュタインの方程式の実験的検証”を別稿で引用。
  7. 荒木源太郎 著「原子物理学」倍風館(1963年刊)
     この中から第2章3.“光電子”、第4章1.“光電効果”2.“光子” を引用。
  8. 吉田伸夫 著「光の場、電子の海(量子場理論への道)」新潮社(2008年刊)
     第1章“粒子としての光”−アインシュタイン を別稿で引用。
  9. 吉田伸夫 著「思考の飛躍(アインシュタインの頭脳)」新潮社(2010年刊)
     第4章“光の統計力学を求めて”−量子論 を別稿で引用。
  10. A.Pais 著「神は老獪にして・・・」産業図書(1986年刊)U 統計物理 4.“エントロピーと確率”
HOME   導入  1.Planck輻射理論と光量子  2.光電効果とVolta効果   参考文献