HOME   基底ベクトル・双対基底ベクトルと反変成分・共変成分   サイトマップ

Sommerfeld著「電磁気学」§38 一般相対性理論、重力と電磁力学の統一理論

 A. Sommerfels著「理論物理学講座 第V巻 電磁気学」講談社(1969年刊)のp352〜369より引用


 上記注1)の4つの講義は、Einstein著(矢野健太郎 訳)「相対論の意味」岩波書店(1958年刊)に収録されている。これは含蓄深いが故に、また説明が簡潔であるが故に極めて難解です。そのため一般相対性理論を理解してから読んだほうが良いと思います。ただし第3回講義の前半はあらかじめ読む価値がありますので別稿で引用しています。

 上記アンダーラインの文章の意味は、こちらの別稿を参照されたし。















補足説明
 アインシュタインの一般相対性理論の中心法則が次の(7)式なのですが、アインシュタインがそれを発見した過程を読者に説明するのは極めて難しいので、そこの所は残念ながらすべて省略するということです。
 ここでは、(7)式が発見されたものとし、それが正しい事が解っているとして、その式の意味するところと、それから導かれる結論に付いての説明にとどめる。その様なやり方でも一般相対性理論の本質は十分読者に解ってもらえるだろうとSommerfeldは言っている。
 まあ、これは今日の大半の一般相対性理論の解説書が取っている方針ではあるのですが


補足説明
 文中の“(7)式はgμνに関する微分方程式である。”について補足します。重力場方程式(7)を解くと言うことは、計量テンソルgμνを(7)式の左辺に代入して計算したら(7)式を満足するような計量テンソルgμνを求めると言うことです。
 ただし、その様な計量テンソルgμνを見つけるのは極めて難しい。最初に見つけられた厳密解が、(7)式の右辺が0である真空中での解です。つまり原点に質量が集中していて、それ以外の空間には質量は存在しない場合の真空領域での重力場方程式の解です。それが(12)式で与えられるSchwarzschild解です。その中に与えられているgμνを用いると、太陽重力場によって生じる、赤方偏移、光線の屈曲、水星軌道の近日点移動等がすべて説明できるということです。
 
 Schwarzschildはその解が厳密な解である事を証明したと言うことです。Eddingtonはそれをさらに解りやすく説明した。
 Schwarzschild解が有名なのは、その中心質量Mがどんなに大きくても成り立つ厳密解だからです。厳密解だからこそブラックホールの存在を予言する。
 しかし最初の内は、ブラックホールとなる様な質量集中が可能であるとは、アインシュタインも含めて、誰も思っていなかった。ブラックホールが脚光をあびるのは原子核物理学の発展により、その様な集中(重力崩壊)が起こる可能性が見えてきてからです。(この当たりはキップ・ソーン著「ブラックホールと時空の歪み」の説明が解りやすい。)
 
 もちろんEinsteinは、Schwarzschild以前に、球対称質量分布の場合の解を近似的な方法で求めています。アインシュタインが求めたのは近似解ですがSchwarzschildの厳密解と殆ど同じです。だから、次に引用するSommerfeld宛の書簡で第1近似でニュートンの理論が出てきて、第2近似で水星の近日点移動(43”/100年)が導けたという時の近似は重力場方程式を導く所の近似では無くて、重力場方程式の解を測地線方程式に適用して惑星の軌道方程式を導く所の近似を意味します。このことに付いては別稿[A4]§1.[補足説明3]§1.[補足説明8]をご覧下さい。

Sommerfeldの補足


注1)の最初の書簡はこちらを参照。ただし、この書簡の意味するところを理解するのは極めて難しい。
 おそらくSommerfeldは、アインシュタイン方程式(7)式を導くことを省略した後ろめたさから、これら二つの書簡を紹介することでお茶を濁したのでしょう。そこの本質的なところを説明できていないことは彼にとって残念な事だったと思います。 





359-03



補足説明
 SommerfeldがW.Lenzの助言に従ったと書いている、(9a)式から(12)式を導くやり方は教育的です。これは多くの入門書で説明されている二次元時空についての説明を球座標時空に拡張したようなやり方です。(W.Lenzとは、かってSommerfeldの助手を務めていたWilhelm Lenzのことだろう。彼の名前は『Einstein-Sommerfeld往復書簡』にも出てきます。)




補足説明
 上記の“Newtonの法則の相対論的に精密化された形”について補足する。
 もとの“Newtonの法則の形”とは、別稿「座標回転公式と球面三角法」1.(2)3.で求めた計量テンソル

に gttdt2=−c2dt2 を付け加えて4次元化したものがそれです。それは、歪んでいない時空であるミンコフスキーの4次元時空の (線素)2 の表現

の事です。
 それを“一般相対論的に精密化した形”、つまり球対称質量によって歪んだ時空についてのものが(12)式

です。これは球対称解であるが故に、歪んだ時空であるにも拘わらず、対角要素以外のgμνはすべて零になります。ただし、grrとgttはNewton的計量の成分値とは異なります。
 
 両者の異なっている所は、dr2の係数が 1/(1−2α/r) だけ、c2dt2の係数が (1−2α/r) だけ違うところです。これが、次段落で説明する様々な現象を生み出します
 また、上記の係数の違いのため、質量がその中心に集中(つまり半径2α以内のみに存在)していると考える事ができる場合には、 r→2α に近付くと特異な状況が生じます
 その半径 r=2α がいわゆる“Schwarzschild半径”と言われるものです。太陽質量の場合のα(前出の1.32km)を用いると約2α≒2×1.32=2.64km程度になります。つまり太陽程度の質量でも、半径2.64km以内の球状領域に集中して存在することができれば、その周囲にブラックホールを形成する。

補足説明
 注1)のSchwarzschild(1916年)の二論文のオリジナル版も英訳版もpdfファイルとして無料ダウンロードできるサイトがネット上にありますが、Schwarzschildのオリジナルな解き方は注2)のEddingtonの著書とほぼ同じようですから、注2)の文献をお読みになるのが良いと思います。多くの解説本で紹介されているものはEddingtonの著書の引用の様です。別稿で紹介しましたが、この著書を、S.ChandrasekharやJ.Jeansも高く評価しています。
 
 注2)のEddingtonの著書“The mathematical Theory of Relativity”(1923年)はpdfファイルとして無料ダウンロードできるサイトがネット上にあります。上記文中で説明されている証明はV§38で、下記の計算はV§39〜§42で成されていますので参照されて下さい。Sommerfeldはこの文献を参考にして以下の段落を書いている様です。
 
 また、Eddingtonの著書“Space Time and Gravitation”(1920年)はpdfファイルとして無料ダウンロードできるサイトがネット上にあります。Wikisourceのthe free online libraryでも全文を見ることができます。
 更に、Eddington著“The Internal Constitution of The Stars”(1926年)のpdfファイル無料ダウンロードサイトもあります。



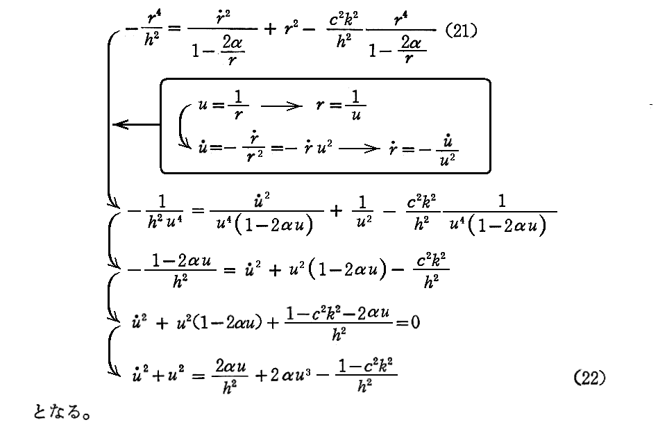
 上記(15)式を導くことは、例えばランダウ、リフシュツ著「力学}1-02、別稿「微分幾何学3(曲面幾何学)」3.(6)1.あるいは「リーマン幾何学」4.(2)[問題2]などを復習して下さい。



 上記の第T巻「力学」§41“一般定理”は別稿で引用・紹介する予定です。







 Newton理論(25)式の導出は別稿「楕円軌道の発見と万有引力の法則」5.(3)1.などを復習されたし。さらに(23)式と(25)式の差分については、ランダウ・リフシュツ共著「力学」§15“ケプラー問題”の章末問題3.など参照されたし。


 このことは、(25)式の解である楕円軌道の極座標表示を思い出せば明らかです。


 上記の様に、特殊相対性理論(速度により質量が変化する効果)によっても近日点移動の現象が生じます。このことについてEinsteinは早い段階で気付いています。しかしそれは一般相対性理論による効果に比較して“(係数1/6だけ)小さい”。この事については、戸田盛和「相対性理論30講」第26講をご覧下さい。



 (29)式の具体的計算については別稿7.(9)1.《数値計算》をご覧下さい。

補足説明
 上記(29)式は、Einsteinが“重力場方程式”(7)式を導く過程を進んでいた一連の4つの論文中の第3論文で導かれた。一般相対性理論の応用の中でも特に有名な式です。
 
 この第3論文が、“Erklarung der Perihelbewegung des Merkur aus der allgemienen Rlativita¨tstheorie.”(一般相対性理論からの水星近日点運動の説明), Preussische Akademie der Wissenschaften. Sitzungsberichte, pt. 2. p831〜839,1915年 です。ベルリン科学アカデミーの 11/18の例会で発表され、11/25に出版された。
 
 これは、共立出版社「アインシュタイン選集2」[A4]と、改造社「アインスタイン全集」第2巻 24番目論文として邦訳版があります。ただし、そこのαと、ここのαは2倍だけ定義が違うことに注意されて下さい。




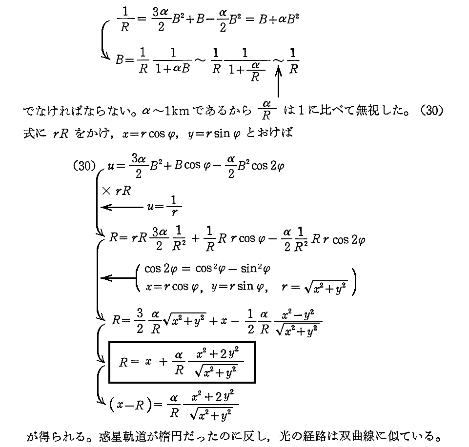
 上記の陰関数のグラフは下図の様になります。双曲線に似てはいますがそれとは少し違います。グラフは、をすべて同じ 1 にして、α0.5,0.1.0.05,0.01 と変えた場合です。

 太陽表面をすれすれに進む光線の場合、R=太陽半径となり、α=1.32kmですから、α/R=1.32km/7×105km〜10-6程度の値になります。

 ここは別稿7.(9)2.もご覧下さい。

 1911年プラハ論文§4.[補足説明1]と、別稿「一般相対性理論の基礎」E.(22)2.も是非ご覧下さい。また、上記のSoldnerの計算値に付いては別稿「バークレー物理学力学」14.p487を参照されたし。

[補足説明1]
 上記“速度も変わることに注意しておこう。”という言い方を取り違えないで下さい。光が今正に進んでいる重力場中では時間はゆっくり進み、物指し棒は縮んでいます。そのため光にとって自分がゆっくり進んでいるという自覚はありません。あくまで一定不変の光速度c[m/s]で進んでいます。別稿「アインシュタインの公式E=mc2の証明」3.[補足説明9]参照。
 だから上記の意味するところは重力場が無視できる位置にいる観測者が重力場中の光子を見ることができたらその光子は(31a)式に従ってゆっくり進んでいる様に見えると言うことです。現実にその様子を見ることはできませんが、その事を測定する事はできます。その事については別稿3-5シャピロの実験をご覧下さい。
 
 
 ここは非常に解りにくいところですのでもう少し踏み込んで説明します。
 まず、別稿「時空の曲がりと測地線(測地線方程式とは何か)」4.(4)[補足説明]を振り返って下さい。そこで説明した図

a)の立場b)の立場 の違いです。
 (31a)式a)の立場 の式です。太陽から離れた(つまり歪んでいない空間)にいる観測者から見たら、太陽近傍の物差しは縮んでおり、時計の進み具合はゆっくりである様に見えるはずですが、彼にとって現実にはその事を確認することはできません。だからそこの物指し棒も縮んでおらず、時計も歪んでいない空間における時計の進みと同じとみなすと(31a)式に従って光はゆっくり進んでいる様に見えると言うことです。
 ただし、別稿「マイケルソン・モーリーの実験(1887年)」5.[補足説明5]で説明したように、太陽から離れた場所にいる観測者が、そのゆっくり進むように見えるはずの光線の速度を直接観測して確かめることはできません。M.ボルンのこの説明やA.ゾンマーフェルトのこの説明を噛みしめて下さい。だから“ゆっくり進むように見えるはずだ”という言い方には注意が必要です。
 そのとき、太陽近傍まで近付いた観測者ならば、彼が持っている測定棒と時計によって、そこを通過する光の速度を直接測ることができます。しかしその観測者にとって自分の持っている測定帽が縮んでおり、時計がゆっくり進むようになっていることは決して認知できません。上図の b)の立場 です。だから彼は光が一定不変の速度c[m/s]で進んでいることを確認するだけです。
 
 
 上記のことは、光の速度のみならず、光が進む方向についても言えます。
 現実に重力場の中を進んでいる光にとって、その周囲に配置されている物指棒が縮んでおり、時計がゆっくり進んでいることを知ることはできませんから、光はあくまで真っ直ぐに進んでいると思っている事でしょう。これが測地線に沿った軌道であり最短距離を進む軌道であり、b)の立場 による説明です。
 しかし、重力場の外で光が進む様を観測している者にとって光はあたかも太陽重力の為に曲がったコースを進んでいるように観測されます。これが、a)の立場 による説明です。
 ただし、先に説明したように、重力場から離れた所にいる観測者が重力場中の光波を直接見ることはできませんこの説明)。そして、重力場中に配置されている物差棒が縮み、時計がゆっくり進んでいる事を直接知ることはできません。別稿「一般相対性理論の古典的検証と歪んだ時空」3-1で説明した様に、重力場中の時計が発する光のスベクトル線を重力場から離れた所にいる観測者が受信することにより、そのスペクトル線の振動数が自分の所にある時計が発するスペクトル線の振動数より少ない事を知ることができるだけです。また別稿「一般相対性理論の古典的検証と歪んだ時空」2-2で説明した様に、皆既日食の時と、太陽がそこに存在しない時の星像を比較することによって、確かに光は太陽の側を通過するときに曲がってやってきていたのだと確認することができるだけです。
 このことについては、別稿「時空の曲がりと測地線(測地線方程式とは何か)」4.(4)[補足説明]をご覧下さい。
 さらに、別稿「基底ベクトル・双対基底ベクトルと反変成分・共変成分(計量テンソル・クリストッフェル記号・共変微分とは何か)」4.(4)[補足説明2]をご覧下さい。

[補足説明2]
 文中の“以前に行われた素朴な計算の結果の2倍になっている。”について補足します。1905年の特殊相対性理論はエネルギーは質量(慣性質量)と等価である事を示した。そして、更に等価原理により慣性質量は重力質量でもある。すなわちエネルギーを運ぶ光が重力質量を持っているのなら太陽からの重力によりその進路が屈曲するのはニュートンの古典的重力理論によって導けます。光がエネルギーを持つことが質量を持つことであるところに特殊相対性理論が関わりますが、それ以外は平坦な時空を仮定しているニュートンの万有引力の法則ですべて説明できます。
 そのとき光の慣性質量と重力質量は等価なのですから、その屈曲する量は太陽の質量と光りが通過する太陽からの距離にのみ依存して、光がどのような質量を持っているかどうかには関係しません。いずれにしても、その屈曲量はSoldnerが計算していた値となります。そのとき時空は全く曲がっていません。
 
 ところが、一般相対性理論による光の屈曲は重力場中では時間がゆっくり進み物指し棒が縮む(空間が縮む)効果によります。つまり二つの効果で太陽の重力場中では太陽の近くほど光りはゆっくり進みます。もちろん、この“ゆっくり進む”と言う意味は[補足説明1]で説明した意味においてです。その結果フェルマーの原理に従って屈曲するのですが、その屈曲の量は時間の遅れの効果と空間の縮みの効果が重なって作用します。このため、光の屈曲量は古典的なニュートン理論の場合の二倍になります。
 
 だから、1919年5月29日の皆既日食で期待されていたのはこの二倍の効果が観測できるかどうかだったのです。この観測遠征に付いては別稿で引用するチャンドラセカールの解説が秀逸です。


補足説明3
 ここも解り難いところです。別稿「一般相対性理論の古典的検証と歪んだ時空」3−13−7などを復習されて下さい。
 3−1で注意したように、重力場の中であろうと重力場の外であろうと《光速度は一定不変》です。だから恒星表面からやってくる光の振動数は恒星表面での振動数をそのはまま保持しています。そのことをSommerfeldは“計算せずに理解することができる”という言い方で説明している。







HOME   基底ベクトル・双対基底ベクトルと反変成分・共変成分   サイトマップ