HOME  3.テンソル代数  4.特相対4元  5.等価原理()()()(END  6.テンソル解析  7.一般相対論     双子のパラドックスと一般相対性理論

5.一般相対性原理と等価原理

矢野健太郎著「近代数学新書 相対性理論」至文堂(1963年刊)の第5章p108〜118から引用です。

(1)一般相対性原理
(2)等値原理
(3)時空とリーマン時空
(4)自由な質点の運動法則、測地線の微分方程式

HOME  3.テンソル代数  4.特相対4元  5.等価原理(1)()()(END  6.テンソル解析     双子のパラドックスと一般相対性理論

(1)一般相対性原理











 

HOME  3.テンソル代数  4.特相対4元  5.等価原理)(2)()(END  6.テンソル解析     双子のパラドックスと一般相対性理論

(2)等値原理














 

HOME  3.テンソル代数  4.特相対4元  5.等価原理)()(3)(END  6.テンソル解析     双子のパラドックスと一般相対性理論

(3)時空とリーマン空間





 ここは別稿「基底ベクトル・双対基底ベクトルと反変性分・共変成分(計量テンソル・クリストッフェル記号・共変微分とは何か)」3.(4)[補足説明1]を参照されたし。






 このことを説明したJ.C.F.Gaussの大論文『曲面についての一般研究』(1827年)の日本語訳は寺坂英孝、静間良次著「数学の歴史 19世紀の数学 幾何学U」共立出版(1982年刊)第3章“微分幾何学”にあります。

 前記G.F.B.Riemannによるゲッチンゲン大学の私講師就任演説『幾何学の基礎をなす仮定について』(1854年6月10日)の日本語訳は矢野健太郎 訳・解説「現代数学の系譜10 リーマン幾何学とその応用」共立出版(1971年刊)にありますが、その内容は極めて難解です。この講演については別稿[補足説明1]の佐藤文隆先生の解説をご覧下さい。

 RicciとLevi-Civita共著論文『絶対微分学の方法とその応用』(1901年)の日本語訳は矢野健太郎 訳・解説「現代数学の系譜10 リーマン幾何学とその応用」共立出版(1971年刊)にありますが、かなり難解です。

 テンソル解析学が説明されている6章は別稿「テンソル解析学(絶対微分学)」で、また7章は別稿「テンソル解析学の一般相対性理論への応用」で引用しています。

 

HOME  3.テンソル代数  4.特相対4元  5.等価原理)()()(4)END  6.テンソル解析     双子のパラドックスと一般相対性理論

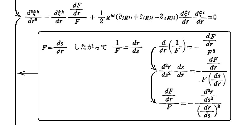
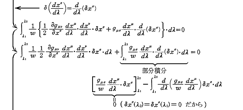
(4)自由な質点の運動法則、測地線の微分方程式





青波線部に関しては別稿「双子のバラドックスと一般相対性理論」5.(4)を参照。赤波線の部に関してはランダウ、リフシュツ「場の古典論」§8をご覧下さい。



“最小作用の原理”から“オイラーの微分方程式”を導くことは適当な本を参照して下さい。例えばランダウ、リフシュツ著「力学}1-02、別稿「微分幾何学3(曲面幾何学)」3.(6)1.あるいは「リーマン幾何学」4.(2)[問題2]など。




 ここの式変形は別稿「微分幾何学3(曲面幾何学)」3.(6)2.なども参照されたし。
 クリストッフェル記号の表記法については別稿6.(2)[補足説明1]を参照されたし。また、この記号の意味については別稿「基底ベクトル・双対基底ベクトルと反変成分・共変成分(計量テンソル・クリストッフェル記号・共変微分とは何か)」4.(4)を参照されたし。そこで説明する様に {クリストッフェルの3添字記号}=0 は、空間が曲がっていないことを意味する。

補足説明1
 下記の“測地線方程式は自由質点の軌道の方程式である”という説明を補足します。“測地線方程式”力の原因として重力のみが存在するとき“自由質点の運動方程式”を表しています。つまり古典的Newton力学の、[運動の第二法則][万有引力の法則]を合体させた式に相当します。重力の効果はクリストッフェル記号の中に取り入れられています。だから下記の{クリストッフェルの3添字記号}=0 が重力の存在しない場合の慣性の法則に相当するわけです。
 この当たりの測地線方程式Newton力学との関係につきましては、矢野文献7.(2)や、藤井文献4§19をご覧下さい。また、ランダウ・リフシュツ「場の古典論」§87も教訓的です。



上記の“光の固有時の経過が0”の意味は、別稿「双子のパラドックスと一般相対性理論」2.(3)[補足説明1]などをご覧下さい。

補足説明2
 補足しますと、一般相対性理論における(重力場だけが存在する場合の)“運動方程式”である“測地線方程式”初めて導いたのは Einstein でして、1914年10月論文のB.§7.に於いてです。このことはPaisの12c.の説明もご覧下さい。
  “測地線方程式”の導出について、Einsteinの1916年論文「一般相対性理論の基礎」§9(共立出版「アインシュタイン選集2」p79〜81)から引用しておきます。これは“オイラー方程式”(ラグランジュ方程式)の部分をすっ飛ばして直接測地線方程式を導いていますので極めて明快です。ただし、解りやすくする為に、行間を補って追記し少し改変しています。









[補足説明3
 他の著者の測地線方程式導出の説明を幾つか引用しておきます。
1.内山龍雄著「相対性理論」岩波書店(1977年刊)§19のp121
2.中野董夫著「相対性理論」岩波書店(1984年刊)の§9-4
  これは解りやすい説明です。
3.上記文献と全く同じ説明ですが
  福島登志夫著「シリーズ現代の天文学13 天体の位置と運動」日本評論社(2009年刊)の§3.5.6.
4.ランダウ、リフシッツ著「場の古典論」 10章§87“重力場のなかでの粒子の運動”
  「測地線方程式は、4元速度ベクトルの共変微分=0である事を示している」というランダウの説明が最も明快です。

HOME  3.テンソル代数  4.特相対4元  5.等価原理)()()()END  6.テンソル解析  7.一般相対論     双子のパラドックスと一般相対性理論