HOME  第1章  第2章  第3章§15§16§17§18§19)  第4章  第10章§81§82)  サイトマップ

ランダウ、リフシュツ著「場の古典論」 10章“重力場の中の粒子” 
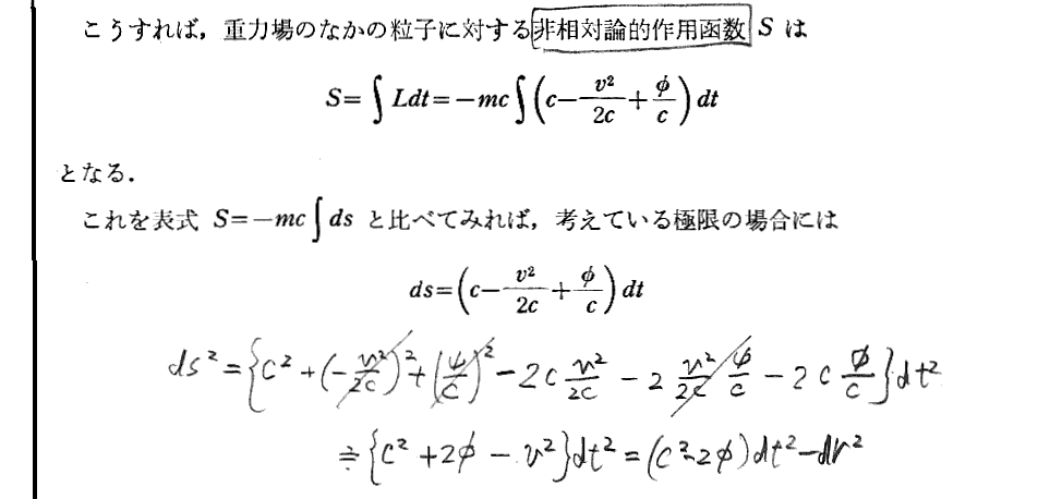
§87“重力場のなかでの粒子の運動”

 ここでは、ランダウ・リフシュツ著「場の古典論」東京書籍(1964刊)10章§87“重力場のなかでの粒子の運動”をそのまま引用しています。別稿「一般相対性原理と等価原理」5.(4)の説明を補足するものとしてお読み下さい。















HOME  第1章  第2章  第3章§15§16§17§18§19)  第4章  第10章§81§82)  サイトマップ