HOME  .導入(1)Einstein_Planck(2)Leweis_Tholman(3)本質は  2.不変性(1)簡単(2)4元力  3.一般相対(1)苦悩(2)挑戦  4.文献

運動方程式のローレンツ変換不変性

 別稿「4元速度、4元加速度と4元力」5.(3)で4元力がローレンツ変換に従うことを導いたので、それを用いてPlanckが導いた「相対論的な運動方程式」がローレンツ変換に対して不変式となることを確認しておきます。
 ただし、ここで用いるローレンツ変換式はS’系はS系のx軸に沿って、速度“V”でx軸の正方向に移動している場合です。

1.導入

ここの説明に4元ベクトルを3次元表示した式がたくさんでてきますが、それらについては別稿「4元速度、4元加速度と4元力」を参照して下さい。

)相対論的運動方程式

.Einstein_Planckの運動方程式

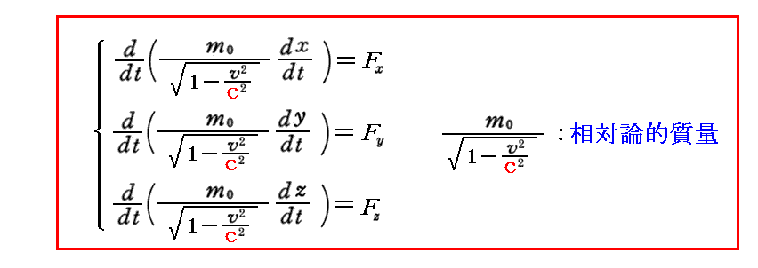
 この稿の目的は、Max Planckが1906年3月論文で導いた「相対論的な運動方程式」

がローレンツ変換に対して不変式であることを証明することです。
 このとき、式中のv2は粒子の移動速度の2乗

の事であって、S’座標系のS座標系に対する移動速度“V”の2乗では無いことに注意して下さい。vとは全く独立な荷電粒子の速度ベクトルです。
 また、EinsteinとPlanckが導いた運動方程式の右辺の力は電磁気力に関係づけられている事に注意して下さい。この形の運動方程式を本稿では“Einstein_Planckの運動方程式”と呼ぶことにします。

 

.Einstein_Planckによる運動方程式の導き方

 この形の相対論的な運動方程式はアインシュタインやプランクが導いたのですが、その導き方について別稿「相対論的力学」2.[補足説明8]で以下のような説明をしました。

[補足説明8]
 ここのPlanckの証明は、Einsteinが1905年6月論文§10で行った証明を改良したものです。
 Einsteinの考え方は、
1.[任意の速度で動いている電荷に対してローレンツの力の表現式が常に成り立つ]と仮定し、有る特殊なk系(その系では電場だけが存在し、電荷は最初その原点に静止している)で力学方程式を立てる。
2.次に、k系に対して速度−vで動いているK系から見たものに方程式の両辺をローレンツ変換する。
3.ローレンツ力を生み出す電場と磁場のローレンツ変換共変の変換式はすでに解っていますから、K系における運動方程式の右辺をローレンツの力の法則を表す形に整える。
4.右辺をその様に変形すると、それに伴って運動方程式の左辺の形が必然的に決まる。
というものでした。
 つまり、EinsteinとPlanckは電気力学の助けを借りて力学の運動方程式形を導いたのです。これは、有る意味で独創的なやり方でした。
 
 ところが、次章3.でのべるLewisとTolmanの方法は電気力学の知識を全く借用しません。二つの物体の衝突現象をk系K系で見たとき、その両系に於いて[運動量保存則]や[エネルギー(質量)保存則]がそれぞれに成り立っていなければならないという事実だけを用いて、ローレンツ変換に対して不変な運動方程式形を導くものです。
 
 私どもがEinsteinやPlanckの証明を読む時、ローレンツの力の法則が背後霊のようにつきまとい、何となくしっくりこない所があるのですが、LewisとTolmanの証明は電気力学の助けを借りていないことで画期的です。これは、EinsteinやPlanckの証明に数年遅れますが、重要で意義深い証明です。

 この補足説明の最後に記した考え方は改める必要がありそうです。次節で述べる“Lewis_Tolmanの運動方程式”よりも“Einstein_Planckの運動方程式”の方がより本質的なものであると考えるべきです。その理由を以下説明します。

 

HOME  導入(1)Einstein_Planck(2)Leweis_Tholman(3)本質は  2.不変性(1)簡単(2)4元力  3.一般相対(1)苦悩(2)挑戦  4.文献

(2)Lewis_Tolmanの運動方程式のローレンツ変換不変性

.Lewis_Tolmanの運動方程式

 別稿「相対論的力学」3.(2)4.で説明したように、LewisとTolmanの得た相対論的な運動方程式は以下のようなものでした。

 このとき注意して欲しいのは、このやり方で導いた運動方程式の右辺の力に関しては何も規定していないことです。つまり“Einstein_Planckの運動方程式”と違ってより一般的な力に付いても成り立つとしている。この形の運動方程式を本稿では“Lewis_Tolmanの運動方程式”と呼ぶことにする。

 

.ローレンツ変換にたいする不変性の証明

 最初に、“Lewis_Thomanの運動方程式”のローレンツ変換不変性について考察する。
 そために、この式の右辺については別稿「4元速度、4元加速度と4元力」5.(1)で説明した3次元力の変換式

を適用する。
 また、左辺の速度に対しては別稿「アインシュタインの特殊相対性理論(1905年)」2.(8)3.で説明した3次元速度の変換式

あるいは別稿「4元速度、4元加速度と4元力」2.(1)1.で示した4元速度のローレンツ変換式

などを適用する。
 時間微分に関してはアインシュタインが1905年論文で繰り返し用いた変換式

を利用する。
 これらの変換式を“Lewis_Tolmanの運動方程式”の両辺に適用して、運動方程式がローレンツ変換に対して不変であることを証明しようというのです。しかし、この試みは旨くいきません。
 それならば、運動方程式の右辺の力Fを別稿「4元速度、4元加速度と4元力」5.(2)2.でもとめた4元力の3次元表示

にしてみるとどうでしょうか?これを使えば旨くいくように思われるかも知れませんが、これも旨くいきません。
 なぜなら、これは左辺と同等の関係を示しているに過ぎないからです。つまり、“Lewis_Tolmanの運動方程式”の両辺を4元ベクトルの3次元表示で書いてみると左辺も右辺も同じ4元力表示になり、“力=力”の恒等的な関係を表しているに過ぎないのです。
 これは、元々の“Newtonの運動方程式”が力の定義式でしかなかった事情と同じです。

 そのため、これがローレンツ変換不変な式であることは当たり前であり、この方程式がローレンツ変換不変であることに何らかの物理的意義があるわけではないのです。 

 

HOME  導入(1)Einstein_Planck(2)Leweis_Tholman(3)本質は  2.不変性(1)簡単(2)4元力  3.一般相対(1)苦悩(2)挑戦  4.文献

(3)何が本質か

 運動方程式が意味を持つためには右辺の力を表す項が具体的な力の原因と結び付けられていなければ成りません。
 つまり左辺4元加速度あるいは4元運動量の時間微分した項と右辺力を表現する物理量が本来異なった物理法則・物理量に由来するものであってこそ運動方程式が意味を持つ。たとえば右辺が電磁場(電荷や電流の存在)に関係する電磁気力や、重力場(質量の存在)に関係する重力などであってこそ。
 その場合には、運動方程式がローレンツ変換に対して不変な形をしているかどうかが重要になります。

 このとき、“Einstein_Planckの運動方程式”の様に力が“電磁気力”に限定されていることは不都合ではないかと思われるかもしれません。しかし、その心配は無用です。
 今日解っている力には、“電磁気力”と、原子核内部の核子間に働く“強い力”、および核の崩壊を司る“弱い力”と、質量間に働く引力である“重力”の4種類しかありません。
 このなかで“強い力”と“弱い力”が働く範囲は原子核内のごく狭い範囲に限られており現実に身の回りに起こる自然現象の変化を論じるときに表に出てくることは全くありません。また“重力”は“電磁気力”に比べてきわめて弱い力ですから、惑星や恒星の運動あるいは銀河や宇宙の運動や、特に質量が集中した中性子星やブラックホールの運動などを論じる場合以外はほとんど問題になりません

 そのため電磁気力に対する運動方程式が大半の議論で主役を努める。だから“Einstein_Planckの運動方程式”の形が重要なのです。そのため、この運動方程式がローレンツ変換に対して不変であることの証明(確認と言うべきか)は重要です。

 

HOME  導入(1)Einstein_Planck(2)Leweis_Tholman(3)本質は  2.不変性(1)簡単(2)4元力  3.一般相対(1)苦悩(2)挑戦  4.文献

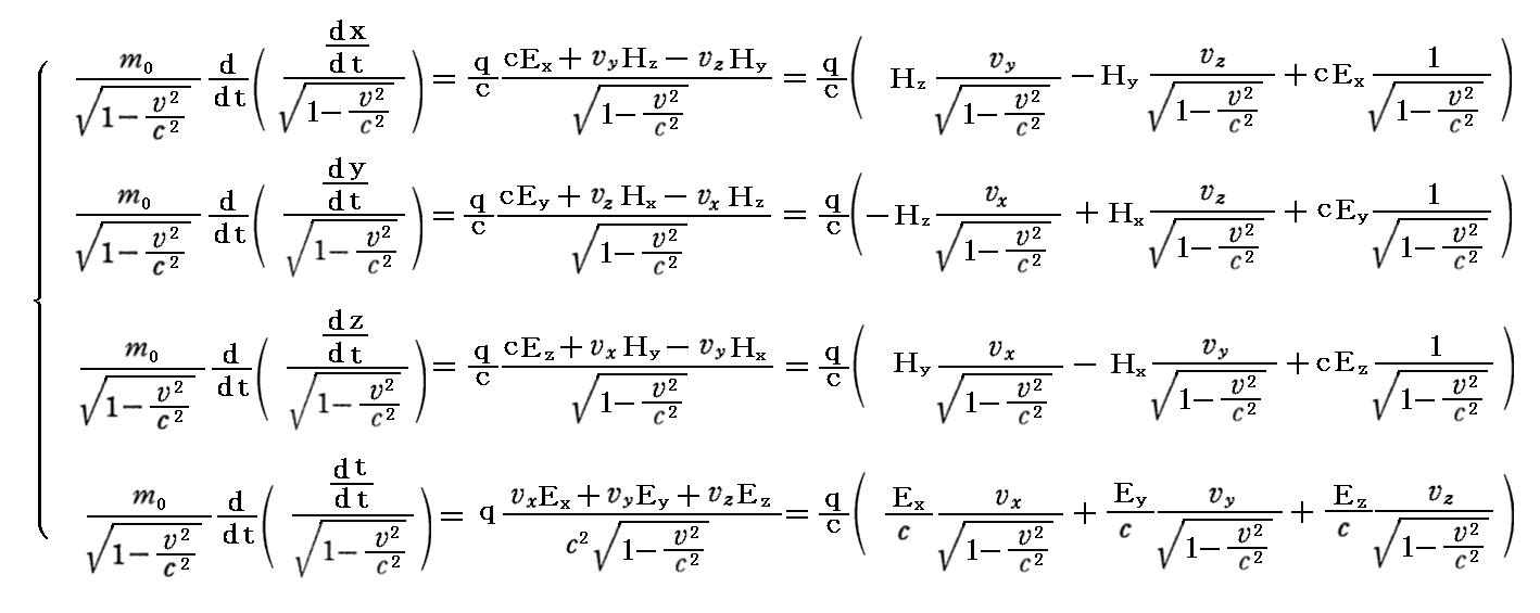
2.“Einstein_Planckの運動方程式”のローレンツ変換不変性の証明

)簡単な証明

 江沢洋著「現代物理学」朝倉書店(1996年刊)のp124〜128こちらでも参照可)を引用しますが、この説明は秀逸です。
 この中に用いられている式変形は別稿「4元速度、4元加速度と4元力」4.で繰り返し出てきたものであることに注意。また、運動方程式右辺の電磁気力に関して電磁場のローレンツ変換共変の変換式が用いられている事に注意して下さい。

 江沢文献の証明は荷電粒子の運動速度ベクトルVがS系に対するS’系の移動速度ベクトルvと平行な特別な場合の証明であることに留意されてお読み下さい。このときvとVの大文字・小文字の役割が本稿での役割と入れ替わっている事に注意されたし。



 

   (4.3)式は別稿の4.(3)1.を参照。ただし、そこのv、Vと大文字・小文字が入れ替わります。




   (4.4)式は別稿の4.(1)を参照。ただし、そこの逆変換でv、Vの大文字・小文字が入れ替えたものです。

  右辺の電磁場にローレンツ変換を施していることに注意されたし。

 

HOME  導入(1)Einstein_Planck(2)Leweis_Tholman(3)本質は  2.不変性(1)簡単(2)4元力  3.一般相対(1)苦悩(2)挑戦  4.文献

(2)電荷の移動方向が一般的な場合の証明

 電荷の移動方向が任意の方向を向いた一般的な場合の証明は、別稿「Maxwell方程式系の先見性と電磁ポテンシャル」ですでにすましていますので、その説明を解りやすい形で繰り返します。

 別稿「4元速度、4元加速度と4元力」5.(2)2.で説明した4元力の3次元表現

を、別稿「Maxwell方程式系の先見性と電磁ポテンシャル」4.(2)で示した“ローレンツの力の法則”の左辺のに適用すると

となります。ここでの v および(vx、vy、vz)は荷電粒子の移動速度であって、S’座標系のS座標系に対する移動速度Vではありません。
 この両辺に

をを乗じれば、これは1.(1)1.で復習した“Einstein_Planckの運動方程式”そのものを表している。
 だから、前述の式を行列表現した

がローレンツ変換に対して不変であることを示せばよい。
 そのことは別稿「Maxwell方程式系の先見性と電磁ポテンシャル」4.(3)で証明(確認と言うべきか)したことをなぞるだけです。
 まず、両辺のすべての項にローレンツ変換を施すと

となる。ここで

だから、これらのもので置き換えると

となる。
 これは変換前と全く同形の方程式である。故に、“Einstein_Planckの運動方程式”はローレンツ変換に対して不変であり相対性原理を満たしている。

補足説明1
 別稿「Maxwell方程式系の先見性と電磁ポテンシャル」4.(3)1.[補足説明1]で注意したように、“ローレンツの力の法則”が相対性原理を満たすことが、何か別の原理に基づいて物理的・数学的に証明できるわけではありません。
 相対性原理を満たしていれば電磁場のローレンツ変換式を始めとして、Maxwell方程式を含めたすべての電磁気学理論が矛盾なく成り立っていることが確かめられるという事でしかありません。
 物理法則とは、現実の現象を旨く説明し且つその法則から導かれるすべての事柄が無矛盾で、その無矛盾性が未来永劫に渡って破綻することが無いだろうと予想されることでしか、その正当性を証明することはできない様なものです。

 

HOME  導入(1)Einstein_Planck(2)Leweis_Tholman(3)本質は  2.不変性(1)簡単(2)4元力  3.一般相対(1)苦悩(2)挑戦  4.文献

3.一般相対性理論へ

)Einsteinの苦悩

 アインシュタインは相対論的運動方程式が発見されてから早い段階でこの方程式の不備に気付きます。運動方程式の右辺の力の原因として電荷(電流)の替わりに質量を持ってくると旨くいかないのです。つまり“電磁気力”ではなくて“重力”が絡んだ方程式にすると旨く行かないのです。
 その不備が簡単に解る例を幾つかを挙げてみます。

.光速度不変の原理への矛盾

 この運動方程式は重力に対して正しくありません。それは別稿「アインシュタインの公式 E=mc2 の証明」3.[補足説明8]で説明しましたが、もう一度振り返ってみます。

 まず特殊相対性理論から光は慣性質量を持つことが解りました。そのとき光が質量を持つのなら太陽のような大質量のそばを通過する光線は太陽からの重力により光線経路が曲げられます。これは光の伝播速度が重力場に拠って変化することを意味します。つまり特殊相対性理論における光速不変の原理と矛盾します。
 だから、この運動方程式は重力場が伴う力に対しては正しくないのです。

 

.重力場による力に伴う疑問

 この疑問も別稿「相対論的力学」4.(2)[補足説明2]で説明しましたが、振り返ってみます。

 アインシュタインは、1933年6月のグラスゴー講演「一般相対性理論の起源について」で、“相対論的力学方程式”に関係して興味深い事を語っています。以下はそれからの引用です。
『・・・・・・・・・・・・
 ここで道は間違いはないほど明瞭ではなかった。何故ならば物体の慣性質量は万有引力ポテンシャルに依存するかも知れないからである。事実これはエネルギーの慣性の原理(公式E=mc2のこと)によって期待せらるべきであった。
 しかし、これらの研究は私の強い懐疑を生じた一つの結果に導いた。古典力学によれば、垂直な万有引力の場に於ける物体の鉛直加速度は、速度の水平成分に無関係である。従ってその様な万有引力の場においては、力学的体系あるいは重心の鉛直加速度は、その内部エネルギーに無関係に働く。しかし私の進めた理論(相対論的な運動方程式)では、落体の加速度は水平速度、あるいは体系の内部エネルギーに無関係でなかった。
 これはすべての物体は万有引力の場では同一加速度をもつという古い実験結果(ニュートン力学では横方向の速度が縦方向の加速度に影響することはない)と一致しなかった。また慣性的質量と重力質量の同等性の法則として公式化されることのできるこの法則(いわゆる「等価原理」のこと)は、あらゆる意義において私に接近して来た。私の記憶が正しければ−−−後に知る様になったにすぎなかったところのエトヴェシュの見事な実験の結果は知らなくとも、その法則の確かな有効性には何等疑問も持たなかった。
・・・・・・・・・・・・・・』
 
 この疑問については、インフェルト著「アインシュタインの世界」p88〜90の説明を参照されたし。

補足説明
 一般相対性理論を学べば解りますが、重力的な力に関して正しい“運動方程式”“測地線方程式”です。それはクリストッフェル記号を含んだとても複雑な形をしています。これは、ニュートン力学の[第1法則“慣性の法則”]に相当するものであり、重力場における質点の運動を決める[“運動の第2法則”と“万有引力の法則”を合体させたもの]に相当します。なぜなら、クリストッフェル記号は空間の歪みと表裏一体で重力を表すポテンシャルとも関係しているからです。そのとき、ニュートン力学と違って質点の質量は方程式中には現れてきません。2種類の質量の等価性は空間の歪みの中に始めから組み込まれているからです
 [このことについては藤井保憲著「時空と重力」§19を参照されたし。また、そこの説明と別稿内山龍雄「相対性理論」§19の測地線方程式の導き方と比較してみられたし。]
 
 それでは、“万有引力の法則”に相当するものは何なのかですが、それと等価な重力ポテンシャルと質量分布の関係を表す[ポアソン方程式]に対応するものがあります。それが“重力場方程式”です。
 重力場方程式の右辺が質量分布に相当するエネルギー・運動量・応力テンソルになり、左辺が重力ポテンシャルに相当する、空間の歪みを表す曲率テンソルに関係した量になります。
 [このことについては藤井保憲著「時空と重力」§20を参照されたし。]
 
 いずれにしてもこれらは、古典的なニュートン力学における“運動の法則”“万有引力の法則”が内包(特殊相対性理論も含めて)していた論理的な矛盾を完璧に解決した方程式です。
 そして、Einstain自身が文献「わが相対性理論」(1916年刊)の§22で強調している様に、“一般相対性理論”はニュートン力学や万有引力の法則の自然な拡張となっている。
 しかし、そこで語っているように“その目的を明確に読み取り、実際に目的を達成するまでには、重大な困難に打ち勝つ必要があった”のです。
 
 ここの所は内山先生の「一般相対性理論」裳華房(1978年刊)§1“序論”の解説が明快ですのでご覧下さい。

  

.双子のバラドックス

 双子のパラドックスも特殊相対性理論の範囲では旨く説明できません。これを説明するためには加速度を持った系に対しても成り立つように特殊相対性理論を拡張しなければ成りません。
 アインシュタインは加速度運動とは何かを考えているとき、加速度が重力場と同等であるという“等価原理”に気づくのですが、双子のパラドックスの解決には“重力”に対する深い考察が必要です。このことに付いては別稿「双子のパラドックスと一般相対性理論」5.で説明していますのでご覧下さい。

 

.質量による時空のゆがみ

 アインシュタインは運動方程式が抱える様々な疑問について考える内に“等価原理”に気づくのですが、この等価原理を用いると、質量が存在し重力場が生まれれば、それは時空をゆがめることが解ってきます。つまり“質量”は存在するだけで時空を歪めるのです。
 そのとき、特殊相対性理論の運動方程式に重力場による力を適用しても、曲がった時空に於ける時間微分とはどの様なものなのか?、曲がった時空における速度や加速度を運動方程式の中でどの様に表現したら良いのか?等々・・・の疑問が次々に湧いてきます。最初それらの解決は手探りの暗中模索状態で全く解りません。
 アインシュタインはこれらの事に付いて深く悩み、重力に対しても真に正しい運動方程式の形を求めて解決への努力を始めます。

 

HOME  導入(1)Einstein_Planck(2)Leweis_Tholman(3)本質は  2.不変性(1)簡単(2)4元力  3.一般相対(1)苦悩(2)挑戦  4.文献

(2)Einsteinの挑戦

 アインシュタインが、“特殊相対性理論の運動方程式”が“重力”に関して全く正しくなく矛盾に満ちたものであることをはっきり認識したのは1907年頃です。
 その当たりの事情を1922年12月14日の京都講演で語っています。
『・・・・・・・・・・・・
 丁度1907年にシュタルク氏の委嘱を受けて彼の主宰せる《放射学及び電子学年報》に特殊相対性理論の諸結論をまとめて書こうとしたときに、すべての自然法則が特殊相対性理論によって論じ得られる間に、ただひとり万有引力の法則にはこれを応用することのできないのを認めて、どうにかしてこれの論拠をも見出したいということを深く感じました。しかし私は容易にこの目的を達することが出来なかったのです。
 そのなかで私の最も不満足に思ったのは、惰性とエネルギーとの関係が特殊相対性理論によって見事に与えられるにも拘わらず、これと重さとの関係、即ち重力の場のエネルギーとの関係が全く不明に残されなければならないことでありました。おそらくはこの説明は特殊相対性理論によっては到底達しえられないものであることを私は思っていました。
 私はベルンの特許局で一つの椅子に座っていました。そのとき突然一つの思想が私に湧いたのです。
 『或るひとりの人間が自由に落ちたとしたなら、その人は自分の重さを感じないに違いない』
 私ははっと思いました。この簡単な思考は私に実に深い印象を与えたのです。私はこの感激によって重力の理論へ自分を進ませ得たのです。私は考え続けました。
 『人が落ちるときには加速度をもっている。この人間が判断することがらは即ち加速度のある体系に於けるものにほかならない』と、そこで私は単に一様な速さで動く体系ばかりでなく、加速度をもつ体系へまで一般に相対性理論を拡張しようと決心したのでした。そして、そこでは同時に重力の問題を解くことが出来るであろうことを予想しました。なぜならば、落ちてゆく人間が重さを感じないのは、そこに地球重力のほかに新たにこれを打ち消す重力の場をもつからであると解されるからです。即ち加速度をもつ体系では新たに重力の場を要求するものであるからです。
 しかし私はこれからすぐに問題を完全に解決することは出来ませんでした。実際の関係を見出し得るまでには私はなお8年を要したのです。ただそれ含むような少々一般的の基礎はすでに幾分かその以前に私に知られました。
・・・・・・・・・・・・』

 講演で語っている様に重力の問題を解決するのにその後8年の歳月を要します。それは試行錯誤の連続で苦難に満ちた行程でした。

 

HOME  導入(1)Einstein_Planck(2)Leweis_Tholman(3)本質は  2.不変性(1)簡単(2)4元力  3.一般相対(1)苦悩(2)挑戦  4.文献

4.参考文献

 この稿を作るに当たって、下記文献を参考にしました。感謝!

  1. 江沢洋著「現代物理学」朝倉書店(1996年刊)
     これからp124〜128こちらでも参照可)を引用。この説明は秀逸です。
  2. 石原純著、岡本一平画、「アインシュタイン講演録」東京図書(1971刊)
     この中のp78〜88(1922年12月14日京都公演)を引用
  3. A.Einstein著(石井友幸, 稻葉明男共訳)「我が世界観」白揚社(1935年刊、1947年再販)
     この中のp266〜274(1933年6月20日のギブソン講演)を引用
  4. 藤井保憲著「時空と重力」産業図書(1979年刊)
     この中の第4章“一般相対論”§18〜§20(p125〜143)を引用。
  5. 内山龍雄著「一般相対性理論」裳華房(1978年刊)
     この中の第1章§1“序論”を引用。
HOME  1.導入(1)Einstein_Planck(2)Leweis_Tholman(3)本質は  2.不変性(1)簡単(2)4元力  3.一般相対(1)苦悩(2)挑戦  4.文献