HOME   アインシュタインの特殊相対性理論3.(5)[補足説明3]   サイトマップ

江沢洋著「現代物理学」朝倉書店(1996年刊)
4.4 相対論的力学


4-4-1





4-4-2




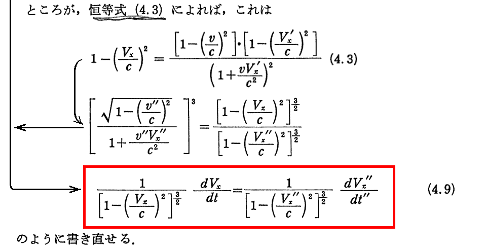
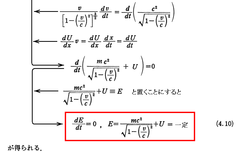
 ここの内容が以下の議論で重要になります。これはEinsteinの1907年の総説論文や、内山文献103.補足説明[23.]で用いられている式変形と同じである事に注意されて下さい。
4-4-3






4-4-4

4-4-5



4-4-6


HOME   アインシュタインの特殊相対性理論3.(5)[補足説明3]   サイトマップ