HOME  .導入  2.Kepler)()()()  3.Newton)()  4.Bessel)()()  5.参考文献

楕円軌道とケプラー方程式(Kepler equation)

1.導入

 歴史的には、惑星軌道が楕円になること(ケプラーの第一法則)、それと同時に発見された面積速度一定の法則(ケプラーの第二法則)、そして最後に発見された公転周期Tと楕円長半径aとの関係を示す法則(ケプラーの第三法則)が重要です。
 この三法則の発見にはプトレマイオス→コペルニクス→ケプラーに至る千年以上に渡る悪戦苦闘の歴史があるのですが、それらの苦労の末に発見されたケプラーの三法則に基づいて、ニュートンは最終的な根本法則を発見します。それが、“ニュートンの運動の法則”と“万有引力の法則”です。この事については別項「楕円軌道の発見と万有引力(「プリンキピア」の説明)」をご覧下さい。
 この大法則の発見は、別稿「プトレマイオス天動説のエカントとコペルニクス地動説の周転円」1.(2)でホイルが主張しているように、現代の素粒子論における法則の発見に勝るともおとらないほど困難なものでした。

 この稿は、その根本法則が発見された後の話です。
 つまり、根本法則である“運動の法則”と“万有引力の法則”が発見された後の話です。これらの根本法則を用いれば、惑星の軌道が楕円になることや、ケプラーの第二法則(角運動量保存の法則)や、第三法則は見通しよく導けます。実際、多くの力学教科書では、物理学の一大成果として詳しく説明されています。
 ところが、不思議なことに、ほとんどの力学教科書で惑星運動の時間変化が議論されていることはありません。惑星の位置P(r,θ)を時間tの関数として表す事は、将来の時刻における惑星の位置を予測することであり、プトレマイオス→コペルニクス→ケプラーが最も苦労したところです。それなのに、何故触れられていないのでしょうか?
 その理由は、この問題が極めて難しい数学的な問題だからです。別稿「プトレマイオス天動説のエカントとコペルニクス地動説の周転円」2.(1)2.でホイルが説明している様に、r(t)やθ(t)を時間tの関数として表す事は極めて難しく、無限級数の形でしか表せません。
 この稿では、そこの所に焦点を当てて説明します。

 ここで考察する問題は次の通りです。我々はすでに、惑星が焦点に向かう逆二乗向心力の下で楕円軌道を描くこと[ケプラーの第一法則]を知っている。また、そのとき角運動量保存則(面積速度一定の法則)[ケプラーの第二法則]が成り立つことも知っているとする。
 それらの事を知った上で、惑星Pがたどる曲線が時間とともにどのように描かれていくのかを調べようというのです。つまり、楕円軌道上の惑星の位置(r,θ)を時間tの関数として表すこと、将来の惑星の位置を予測することです。
 このとき、(r,θ)をtの関数として記述することはとても難しいために、普通の力学教科書では説明されていません。Whittakerの教科書には説明されていますが、簡潔な記述なので理解するのは難しい。以下で解りやすく説明します。

 

HOME  導入  2.Kepler(1)()()()  3.Newton)()  4.Bessel)()()  5.参考文献

2.ケプラー方程式

)楕円運動と近点離角

E.T.Whittaker著“A Treaties on the Analytical Dynamics of Particles and Rigid Bodies”,Cambridge Uni. Press(1965年刊)p89〜91 からの引用です。




 ここで、説明されているように、“平均近点離角”ntから“真近点離角”θを計算する問題の解を最初に見つけたのはニュートンのようです。それは出版されることはなかったニートンの手稿の中に見られるようです。
 惑星の位置P(r,θ)を一様な速度で経過する時間tに結びつける幾何学的な図形解とその数値的な解法はプリンキピア第T篇、第6章命題31で与えられています。この事は3.(1)および(2)で説明します。


 

HOME  導入  2.Kepler)(2)()()  3.Newton)()  4.Bessel)()()  5.参考文献

以下で上記引用文を補足しながら説明します。

(2)真近点離角θ、離心近点離角uとP点(r、θ)の数学的関係式

.楕円の性質

 最初に、楕円や補助円上の点P、Q、Q”の位置を示す近点離角(θ、u、nt)に対して成り立つ数学的な関係式を説明します。ここでの関係式は、楕円について成り立つ数学(幾何学)的な性質から導かれるものであって、惑星が楕円軌道上で示す時間的変化を記述する物理学とはまだ関係していません。
 太陽位置を表す楕円の焦点をS、惑星位置を表す楕円上の点をP、楕円軌道の近点をA、遠点をB、楕円の二つの補助円上の点をQ、Q’とする。楕円の離心率とする、それらの量は下図の関係にある。

これらは単なる幾何学的関係を表している。

 

.楕円軌道

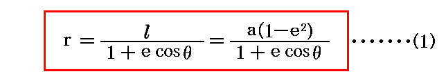
 惑星Pは楕円軌道を描くことは解っているとしている。そのため惑星の位置Pは、真近点離角θと動径rを用いた極座標表示(1)式で表される。 は上図に示す半通径と言われるもので=a(1−e2)です。これは楕円の極座標表示でθ=π/2を代入すれば、直ちに導かれる。

 ここで、太陽Sから見た惑星位置Pを示す、動径rの方向を近点Aから測った角度∠ASPは、“真近点離角(ture anomaly)”θと呼ばれる。楕円の極座標表示については別稿「二次曲線の性質」5.を復習されたし。
 惑星の運動が楕円になることを、“運動の法則”と“万有引力の法則”から最初に導いたのはニュートンです。それは「プリンキピア」第T編命題13・系1と命題17・問題9で証明されています。この事については別稿「楕円軌道の発見と万有引力の法則(「プリンキピア」の説明)」をご覧下さい。
 また、(1)式を“運動の法則”と“万有引力の法則”から解析的に導くことはほとんどの力学教科書で説明されています。同じく上記の別稿をご覧下さい。

 

.離心近点離角u

 楕円軌道上のP点から楕円長軸におろした垂線の足をJとする。また、直線JPを補助円の方向に伸ばしてときに補助円と交わる点をQとする。そして動径OQの方向を近点Aから測った角度∠AOQ“離心近点離角(eccentric anomaly)”uと呼ぶ。
 このとき、“離心近点離角”uは動径rと次の関係にあります。

 このことは、図中の直角三角形PJSについて成り立つピタゴラスの定理からただちに証明できる。

 あるいは、準線に対して成り立つ楕円の性質を用いて求めることもできます。

 これは“離心近点離角”uを定義する式だと見なすこともできる。

 

.様々な関係式

 前出の(1)式と(2)式を用いるとr、θ、uの間に成り立つ様々な関係式が導ける。
 まず、(1)式と(2)式から

 さらに、楕円とその補助円の性質から線分PJとQ’J’が等しいことが言えるので

となる。もちろん、(4’)式は

に(3’)式を代入して求めても良い。
 さらに(3’)式と(4’)式を未知数がsinuとcosuの二元連立の代数方程式とみなして解けば

が求まる。もちろん、(3’)式をcosuに関して解いて(3”)式を求め、これを

に代入して(4”)式を求めても良い。
 さらに(1)式と(2)式から導かれる

と、三角関数の半角公式を併用すると

が得られる。
 さらに、この二式の辺々を割り算すると

が得られる。これはθとuを直接結び付ける便利な関係式です。
 以上の結果の一覧図はこちら

 

HOME  導入  2.Kepler)()(3)()  3.Newton)()  4.Bessel)()()  5.参考文献

 前節までは単なる数学関係式でしたが、ここからが物理的な話です。

(3)ケプラー方程式の導出

.ケプラー方程式

 Whittakerが上記文中で説明している

“Kepler方程式”と言われるもので、惑星運動を論じるときの基礎に成る方程式です。
 式中のn=2π/T(Tは公転周期)で定義される量で“平均運動(mean motion)”と呼ばれる。これに時間tを乗じたnt“平均近点離角(mean anomaly)”と呼ぶ。これは前図の半径aの補助円上の点Q”が等角速度で移動していく時の角度∠AOQ”を表すのですが、とにかく時間経過を表す量だと考えればよい。
 このQ”の回転角が示す時間経過に基づいてQ(またはP)の位置が決まります。そのとき、P(またはQやQ’)の位置に基づいてQ”の位置を示すのは簡単なのですが、その逆のことを実行するのはとても難しい数学問題です。
 また、式中のは、(2)式で定義される“離心近点離角”ですが、すでに説明したように前図の離心円(半径aの補助円)上の点Qの位置を近点Aから測った角度∠AOQに相当します。離心円という名前のいわれは、その中心が楕円の焦点(心)からはずれているからで、天文学上の歴史的な名前です。

 多くの力学教科書では、“Kepler方程式”を、[エネルギー保存則][面積速度一定の法則(角運動量保存則)]“離心近点離角”uの定義式(2)を適用して解析的に求めています。
 解析的な求め方は適当な教科書に任せることにして、ここでは幾何学を用いる方法を説明します。これは最初、ニュートン「プリンキピア」第T篇、第6章、命題31・問題23)によって導かれたもので、上記文中のWhittakerの説明はそれを引用したものです。
 そのやり方は、[惑星の軌道が楕円となる]ことが解っていれば、楕円軌道の幾何学的関係式に[面積速度一定の法則]を適用すれば導けるという、とても教訓的なものなので次項で詳しく説明します。

 

.ニュートンによるケプラー方程式の導出

 まず、[惑星の軌道が楕円になる]ことが解っているとする。

 楕円の幾何学的性質から、図中の楕円軌道は半径aの補助円(auxiliary circle)をy軸方向にb/a倍に縮小してできる。そのため、動径SPがスイープする[扇形面積ASP]は動径SQがスイープする[扇形面積ASQ]b/a倍となる。このとき[扇形面積ASQ]=[扇形面積AOQ]−[三角形面積OSQ]だから、

が言える。ここまでは楕円について成り立つ単なる幾何学的関係式です。
 ここで、物理学の“運動方程式”と“万有引力の法則”から得られる[面積速度一定の法則]を適用します。
 動径SPが周期Tの間にスイープする[楕円の面積(=πab)]と、動径SPが時間tの間にスイープする[扇形面積ASP]に対して、面積速度一定の法則から

が成り立つ。故に、ntとuに対して“Kepler方程式”が成り立つことが証明できた。

補足説明
 別稿「古典天文学」4.(8)2で説明したように、[面積速度一定の法則]は [“運動方程式”][質点にはたらく力が中心力である]ことから導かれます。そのとき力が逆二乗法則である必要はありません。“万有引力の法則”のなかに含まれる力の逆二乗性が関係するのは公転周期と長半軸の間に成り立つ[ケプラーの第三法則]を導くときです。
 そのため、上記のKepler方程式の成立条件に、力の逆二乗性は含まれていないように思うかもしれません。しかし、別稿「質点の二次元運動」のF=−krとF=−k/r2の軌道を比較されれば解るように、逆二乗法則でない中心力の場合は、その軌道がたとえ楕円であっても、その力の中心は楕円軌道の焦点と一致しません。だから、上記の議論の中には逆二乗法則性も含まれています。
 つまり、上記の議論では面積速度を測定する中心点を(当然のごとく)楕円の焦点にしています。このなかに力の逆二乗性を仮定していることになります
 この当たりはニュートンの「プリンキピア」第T編、第2章の命題6、命題7、および命題10〜11で明快に論じられていますのでご覧下さい。

 

.ケプラー方程式の意味

 下図は、横軸u(離心近点離角)の様々な値に対して、nt(平均近点離角)をnt=u−e・sinuによって求め、それをグラフ表示(縦軸nt)したものです。

 このグラフは、当然のことですがu=0の時nt=0を出発して、u=πの時nt=πとなり、u=2πの時nt=2πとなる。つまり近点Aでnt=u=0とすると、遠点Bでnt=u=π(このときt=T/2)となり、一回転しても戻った近点Aでnt=u=2π(このときt=T)となり、その時刻においてQ”点とQ点が一致することを示している。そのためu−nt=e・sinuはntに関して周期2πの奇関数となる。

 そのとき問題は、ケプラー方程式 nt=u−e・sinu をuに関して解く事です。すなわち、任意のntとeが与えられたときに、超越方程式f(u)=u−e・sinu−nt=0を解いてu(nt)を求めることです。
 この問題は、上記グラフにおいて縦座標値=ntの位置に横線を引き、それとnt=u−e・sinu曲線との交点の横座標値uを求めること、あるいはf(u)=u−e・sinu−ntのグラフがu軸と交わる点のu値を求める事と同じです。
 下図はe=0.6、nt=π/6=0.523・・・(rad)の場合の様子を示している。

 そのため一見するとuを求めるのは簡単そうです。
 しかし、残念なことに、この方程式は解析的に解くことはできません。ntを与えてuの値を数値的に求めることは極めて難しいのです。

 

.ニュートン法

 前項で説明したケプラー方程式を逐次近似法による数値計算で最初に解いたのはおそらくニュートンです。それは、すでに紹介した「プリンキピア」第T篇第6章命題31・問題23の後半で説明されています。
 これは後に“ニュートン法”と呼ばれて有名になる数値計算法です。高等学校数学で習いますが、ここで今一度復習してみます。


となる。この手続きを繰り返して最終的に

が得られる。この式中の

が、求めるべき解uを与える。

 上記の表現に“ケプラー方程式”を適用すると

ですから、

となる。
 これらから得られるΔu1、Δu2、Δu3・・・を

に代入すれば、ntが与えられたときのu値が求まる。
 ニュートンは実際この手法を用いて解いたのですが、そのことに付いては3.(2)で説明します。

 

HOME  導入  2.Kepler)()()(4)  3.Newton)()  4.Bessel)()()  5.参考文献

(4)r、θ、u、tの関係

 2.(2)4.で示した様に、“離心近点離角”ur、θ、tと(1)〜(6)式によって関係づけられる。そのためは、とθと結び付けるためのパラメターと考えることができる

 このとき、惑星Pの離角θが与えられれば、(5)式を用いて直接uを求めることができる。uが求まれば、Kepler方程式(6)式を用いてそのu値をとる時刻tが求まる。すなわち、真近点離角がθとなる時刻tが決定できる。

 同じく、惑星Pの軌道半径rが与えられれば、(2)式を用いてuを求める事ができる。uが求まれば、Kepler方程式(1)式を用いてそのu値をとる時刻tが求まる。すなわち、軌道半径がrとなる時刻tが決定できる。

 このように、(r,θ)が与えられたときに時刻tを求めるのは簡単です。しかし、この逆を実行するのは大変です。
 人類の歴史において将来の惑星の位置を予測することはとても重要なことでしたから、実際に大切なのは時刻tが与えられたときの惑星Pの位置(r,θ)を予測することです。
 その為には、rとθが変数ntの陽関数として表されなければならない。ケプラー方程式が未知数uに関してtの簡単な陽関数として解ければ良いのですが、残念なことにそれはできません。uはtの三角関数の無限級数として表されるだけです。
 結局のところ、プトレマイオス、コペルニクス、ケプラーは、この無限級数の係数を求める為に大変な苦労をしなければならなかった。このことは別稿「プトレマイオス天動説のエカントとコペルニクス地動説の周転円」2.(1)2.で説明しました。

 

HOME  導入  2.Kepler)()()()  3.Newton(1)()  4.Bessel)()()  5.参考文献

3.NewtonによるKepler方程式の解法

  ケプラー方程式を最初に解いたのはニュートンです。それは幾何学的な方法によるもので、彼の著書「プリンキピア」第T篇、第6章、命題31・問題23で説明されています。さらにその命題の後半で、逐次近似による数値計算で解く方法(ニュートン法)も説明しています。ニュートンがここまで解析していたことに驚かされます。

)幾何学的方法

時刻tに惑星Pが居る位置(r,θ)を作図で求める。

.ニュートンの説明

 以下はニュートン「プリンキピア」第T篇、第6章、命題31・問題23(文献2.より)の引用です。

命題31・問題23
 与えられた楕円軌道上を運動する物体の指定された時刻における場所を見いだすこと。

 
 Aは楕円APBの主頂点、Sは焦点、Oは中心とし(第71図)、またPは見いだされるべき物体の場所とせよ。
 OAをに延長し、OG対OAがOA対OSに等しくせよ。垂線GHをたて、またOを中心とし、半径OGで円GEFを描け。そしてこの基準線GH上を、車輪のGEFがその軸のまわりに回転することにより前進し、その間に車輪の点AによってサイクロイドALIが描かれるとせよ。
 そのようにしたならば、GKを車輪の周GEFGに対し、物体がAから進んで弧APを描く時間 楕円上を一回転する時間の比にあるようにとれ。
 垂線KLをたてサイクロイドとLで交わらせよ。するとKGに平行にひいたLPは楕円と求める物体の場所Pにおいて交わるであろう。

[証明]
 Oを中心として半径OAで半円AQBを描き、LPを、必要ならば延長して、弧AQとQにおいて交わらせ、SQ、OQを結ぶとせよ。OQを弧EFGにFにおいて交わらせ、そのOQに垂線SRをおろすとせよ。
 面積APSは面積AQSに比例する。すなわち、扇形OQAと三角形OQSの差に、あるいは矩形1/2×OQ×AQ1/2×OQ×SRの差に比例する。すなわち、1/2×OQは与えられているから、弧AQと直線SRの差に比例する。
 したがって〔与えられた比、SR弧AQの正弦、OSOA、OAOGは相ひとしく、減比の理によってAQ−SRGF−弧AQの正弦もそれに相等しいため〕GKに、すなわち弧GFと弧AQの正弦との差に、比例する。
[証明終わり]

 

.解説

 プリンキピアの文章は、正確かつ適切に書かれているのですが、極めて難解です。解りやすくするために状況と記号を2.(3)2.の図と同じにして説明します。

 楕円APBの近点をA、遠点をB、焦点(太陽)をS、中心をOとする。また惑星の位置をPとする。ここで、OAを延長して、OG:OA=OA:OSになる点Gを定める。そしてOGに垂直な線GH(茶色直線)を引く。
 このときOA=a、OS=ae だから OG:a=a:ae → OG=a2/ae=a/e となる。そのため、AG=OG−OA=a/e−a=a(1−e)/eとなり、GHは二次曲線の準線となることが解る。
 ここで、中心Oのまわりに半径OGの円GFEG(車輪)を描く。そして準線GH(茶色直線)を地面と見なして、車輪GFEGを転がしH方向へ前進させる(図では上方に転がす)。そのとき近点Aはサイクロイド曲線AA’Iを描く。

 次に、[車輪の周長GFEG=2π×a/e]:[距離GK]=[惑星の公転周期T]:[惑星が弧APを描く時間t]となる点を取る。そしてKにおいて準線GHに垂直な線を立てる。その垂線がサイクロイド曲線と交わる点をA’とし、そのA’から線分KGに平行な線を引く。その平行線が楕円と交わった点が惑星の位置となる。
 つまり、車輪が一回転するとき進む距離GLを周期Tと見なして、任意の時刻tに相当する割合の位置にK点を取ると、K→A’→Pとして定まる位置Pが時刻tにおける惑星の位置となる。
 また、このときと共に定まる図中の角度∠AOQ=uがケプラー方程式nt=u−e・sinu の時刻tに対する解です。
 さらに注意すると、Gから弧GFに沿って距離GKだけ移動した点がQ”であり、∠AOQ”が平均近点離角ntとなる。このQ”の位置は0<θ<πの間はFより遅れて(つまりnt<θ)おり、0<θ<2πの間はFより進んで(nt>θ)いる。F点とQ”点が一致するのはθ=nt=πとθ=nt=2πの時です。この当たりは2.(3)3.で説明した通りです。

[証明]
 前記の図を時計回りに90度回転して下図の様にx軸とy軸を取る。そうするとサイクロイド曲線を描く点A’の方程式は、車輪の回転角をu(rad)とすると

となる。この事は図上で簡単に確認できる。

 このとき、[車輪の半径]OG=a/eあり、サイクロイドを描く[点A’の半径]O’A’=a となる。さらに、[車輪が一回転するときに進む距離]GL=[車輪半径]×2π=OG×2π=2π×a/e となる。そのため

となる。
 このとき、距離GLを周期Tの時間をかけて等速度で移動するのはF’(or O’)点ではなくてK(orQ”)点であることに注意してください。そのとき、図を検討すれば明らかな様に、車輪の回転角速度(=離心近点離角の角速度u/dt)は、Pが近点A付近にあるとき速くなり、Pが遠点B付近にあるとき遅くなります。
[証明終わり]

補足説明
 ニュートンの証明中の 矩形1/2×OQ×AQ の意味は、扇形面積OQA=円板面積×扇形の割合=π(半径)2×(弧長AQ/周長)=π×OQ2×(弧長AQ/2πOQ)=1/2×半径OQ×弧長AQのことです。
 
 また、扇形面積ASQを計算するときに、扇形面積OQAから引き算する三角形OQSの面積が必要ですが、ニュートンは点Rを新たに導入して三角形の面積=1/2×底辺×高さ=1/2×OQ×SR として計算しています。
 しかし、2.(3)2.で証明した様に1/2×底辺×高さ=1/2×OS×OQsin(∠AOQ) とすれば、新たに点Rを導入する必要はありません。ただし、次項の説明にSRが必要になりますので、そのときはニュートンの証明を思い出してください。
 
 さらに、最後の文節の〔与えられた比、SR弧AQの正弦、OSOA、OAOGは相ひとしく、減比の理によってAQ−SRGF−弧AQの正弦もそれに相等しいため〕の部分は、SR:[OQ×sin(∠AOQ)]=OS:OA=OA:OG=[AQ−SR]:[GF−OQ×sin(∠AOQ)]=e:1 (ただし、eは離心率)となることを言っている。つまり、惑星の公転に伴ってそれらの量が変化しても前者/後者=e=一定値になると言っている。
 最初のSR:[OQ×sin(∠AOQ)]=e:1となることは、[三角面積OQS]=1/2×SR×OQ=1/2×OS×OQsin(∠AOQ)よりSR/[OQ×sin(∠AOQ)]=OS/OQ=OS/OA=eが成り立つからいえる。
 また、最後の[AQ−SR]:[GF−OQ×sin(∠AOQ)]=e:1となることは、[弧長AQ]/[弧長GF]=eかつ[SR]/[OQ×sin(∠AOQ)]=e(前出)であることからいえる。実際、これらの関係式を用いると([弧長AQ]−[SR])=e×([弧長GF]−[OQ×sin(∠AOQ)])だから[弧長AQ−SR]/[弧長GF−OQsin(∠AOQ)]=eとなる。

 最後の面積APSはGKに、すなわち弧GFと弧AQの正弦(=OQ×sin(∠AOQ))との差に、比例する。の部分ですが、その前文で面積APSは、弧AQと直線SRの差(=弧長AQ”)に比例する事を説明しています。そして、〔 〕文の中で[弧長AQ−SR]/[弧長GF−OQ×sin(∠AOQ)]=e=一定値であることを確認しています。このことから面積APSは弧GFと弧AQの正弦(=OQsin(∠AOQ))との差に比例する。
 もちろん、GKが弧GFと弧AQの正弦(=QJ=弧FF”)の差であることは、[弧GF]−[OQsin(∠AOQ)]=前出の図のGK=(GF’−KF’)からも明らかです。
 つまり、惑星がP点に居るときの時刻を表す角度ntの位置Q”点は、[弧長AQ−SR]だと言うことです。これは次節の逐次近似計算で繰り返し用います。

 

HOME  導入  2.Kepler)()()()  3.Newton)(2)  4.Bessel)()()  5.参考文献

(2)解析的数値計算法

 ニュートンは、前項の説明に続いて、Pの位置を数値的に求める方法も説明しています。これはケプラー方程式を逐次近似で解析的に解くもので、以下の様に記されている(文献2.より引用)。

.ニュートンによる説明

注解
 しかしこの曲線をひくのは困難なことですから、それにきわめて近い解をとるほうか望ましいわけです。

 それには57.29578度の角すなわち半径に等しい弧が張る角に対して、焦点間の距離SH(2ea)対楕円の直径AB(2a)の比にある角Bを見いだし(第72図)、また半径に対して同じ比の逆比にあるような長さを求めます。それらが求まりますと、問題は以下の解析によって解くことができます。
 
 何かの作図によって、それとも推測からででも、物体の真の場所pに近い場所Pがわかったとしましょう。楕円の軸上に縦座標PRをおろしますと、楕円の両直径の比から、外接円AQBの縦座標RQが与えられます。この縦座標は、AOを半径としますと、角AOQの正弦であり、楕円とPで交わります。この角が大まかな計算で真に近い数で見いだされれば十分なわけです。
 またこの角は時間に比例すること、すなわち四直角に対して物体が弧APを描く時間対楕円を1回転する時間の比にあることも、わかっているとします。この角をNとしましょう。
 それから角Bに対して角AOQの正弦 対 半径の比にある角Dを、また角(N−AOQ+D)に対し、長さL 対 同じ長さLと角AOQの余弦との、この角が直角より小さければ差、大きければ和、の比にある角Eをとります。
 次に、角Fを、角Bに対して角(AOQ+E)の正弦 対 半径の比に、また角Gを、角(N−AOQ−E+F)に対Lて長さL 対 同じ長さLと角(AOQ+E)の余弦との、その角が直角より小さければ差、大きけれぼ和、の比にあるようにとります。
 三番目に、角を、角Bに対し角(AOQ+E+G)の正弦 対 半径の比に、また角 I を、角(N−AOQ−E−G+H)に対し長さL 対 同じ長さLと角(AOQ+E+G)の余弦との、その角が直角より小さけれぱ差、大きけれぼ和、の比にあるようにとります。
 このようにしてどこまでも進めてゆきます。最後に、角AOqを角(AOQ+E+G+I+・・・・・・・)に等しくとるとします。するとそれの余弦Orと縦座標prとから、この縦座標はその(角の)正弦qrに対し楕円の短軸 対 長軸の比にあるのですが、物体の正しい場所pが得られましょう。
 角(N−AOQ+D)が負になるような場合は、角Eの十符号はいたるところで−符号に、−符号は十符号に変えねばなりません。また角(N−AOQ−E+F)および(N−AOQ−E−G+H)が負になる場合には、角GおよびIの符号についても同じように解されねばなりません。
 しかし無限級数AOQ+E+G+I+・・・・・・・はきわめてすみやかに収束しますから、第二項E以上に進む必要はほとんどないでしょう。
 またこの計算法は、面積APSは弧AQと焦点Sから半径OQに垂直におろした直線との差に比例する、という定理にもとづいています。

 

.説明の数式表現

 ここも極めて難解な文章です。とりあえず数式になおしてみます。
 ただし、河辺先生の訳が不適切と思われる箇所 “またこの角は時間に比例すること、すなわち四直角に対して物体が弧APを描く時間対楕円を1回転する時間の比にあることも、わかっているとします。” の部分を “また、時間に比例する角があること、すなわち四直角に対して物体が弧APを描く時間楕円を1回転する時間の比にある角が存在することも、わかっているとします。” に、また“との、その角が直角より小さければ差、大きけれぼ和、”の部分を“との差](それは角が直角より小さければ減少し大きければ増大する)”に修正しています。

注解
 しかしこの曲線をひくのは困難なことですから、それにきわめて近い解をとるほうか望ましいわけです。
 
それには57.29578°の角すなわち半径に等しい弧が張る角に対して、焦点間の距離SH(2ea)対楕円の直径AB(2a)の比(e倍)にある角(=e rad)を見いだし(第72図)、また半径(≡1)に対して同じ比の逆比(1/e倍)にあるような長さ(=1/e)を求めます。
 それらが求まりますと、問題は以下の解析によって解くことができます。
 
 何かの作図によって、それとも推測からででも、物体の真の場所pに近い場所Pがわかったとしましょう。楕円の軸上に縦座標PRをおろしますと、楕円の両直径の比(=a/b)から、外接円AQBの縦座標RQ(=PR×a/b)が与えられます。
 この縦座標は、AO(=a≡1)を半径としますと、角∠AOQの正弦(QR=OQ×sin∠AOQ)であり、楕円とPで交わります。この角(∠AOQ)が大まかな計算で真に近い数(∠AOq)で見いだされれば十分なわけです。
 また、時間に比例する角があること、すなわち四直角(2π)に対して物体が弧APを描く時間対楕円を1回転する時間の比にある角が存在することも、わかっているとします。この角を(≡nt:これが、惑星が位置pにいるときの、時刻tに関係する)としましょう。
 
 それから角B(=e rad)に対して[角∠AOQの正弦(sin)]  [半径(≡1)]の比にある角Dを、また角(N−∠AOQ+D)に対し、[長さL]  [同じ長さLと角∠AOQの余弦(cos)との差](それは角が直角より小さければ減少し大きければ増大する)の比にある角Eをとります。

 次に、角Fを、角Bに対して[角(AOQ+E)の正弦(sin)]  [半径(≡1)]の比に、また角Gを、角(N−AOQ−E+F))に対して[長さL]  [同じ長さLと角(∠AOQ+E)の余弦(cos)との差](それは角が直角より小さければ減少し大きければ増大する)の比にあるようにとります。

 三番目に、角Hを、角Bに対し[角(AOQ+E+G)の正弦(sin)]  [半径(≡1)]の比に、また角 I を、角(N−∠AOQ−E−G+H)に対し[長さL]  [同じ長さLと角(∠AOQ+E+G)の余弦(cos)との差](それは角が直角より小さければ減少し大きければ増大する)の比にあるようにとります。

 このようにしてどこまでも進めてゆきます。最後に、角∠AOq角(∠AOQ+E+G+I+・・・)に等しくとるとします。するとそれの余弦(Oq・cos(∠AOq)=)Orと縦座標prこの縦座標prは角∠AOqの正弦qr(=Oq×sin∠AOq)に対し[楕円の短軸]対[長軸]の比(=b/a)にあるとから、物体の正しい場所pが得られましょう。
 
 角(N−∠AOQ+D)が負になるような場合は、角Eの十符号はいたるところで−符号に、−符号は十符号に変えねばなりません。また角(N−AOQ−E+F)および角(N−∠AOQ−E−G+H)が負になる場合には、角Gおよび角 I の符号についても同じように解されねばなりません。
 しかし無限級数∠AOQ+E+G+I+・・・はきわめてすみやかに収束しますから、第二項角E以上に進む必要はほとんどないでしょう。
 またこの計算法は、面積APSは弧AQと焦点Sから半径OQに垂直におろした直線(=SR’)との差に比例する、という定理にもとづいています。(これは前節[補足説明]の最後で説明した事柄、“惑星がP点に居るときの時刻を表す角度ntの位置Q”点は、[弧長AQ−SR’]によって求まる。”を言っています。)

 

.解説

 数式に直してもなお解りにくいが、今日この文章が逐次近似による数値計算法(“ニュートン法”)を説明するものであることは解っている。
 そのためこれらの式を2.(3)4.に例として挙げたe=0.6、nt=30度=π/6=0.52359radの場合の式と比較してみる。このとき初期値u0=∠AOQ=2.63rad≒148.97°は適当にとっています。
 上図を、2.(3)4.の例に対応させて描き直すと以下のようになる。

 今は、まだuの値は解らないのですが、確実に0>uが言えるであろう位置に初期値0を取っています。そのため、上記の角(N−∠AOQ+D)、角(N−AOQ−E+F)、角(N−∠AOQ−E−G+H)、・・・は全て負になりますので、文中に説明されている様に、角E、G、I、・・・の前の符号を−符号に変えねば成りません。
 上記の式をそのよう訂正して、2.(3)4.に例で示した式と比較すると

となり、確かに旨く対応しています。

 このやり方の本質は、“uからntを計算するのは簡単であるが、その逆は簡単にできない”所にあります。そのため直接uを求めるのはあきらめて、適当なu0を与えて、惑星がu0の位置にあるときに、求めることができる時刻nt0を求める。
 これは図の上で簡単にも求まる。何度も注意したように“惑星がP点に居るときの時刻を表す角度ntの位置Q”点は、[弧長AQ−SR’]によって求まる。”
 そうして求まったnt0ntを比較して、その差分nt0−ntに適当な数値1/(1−ecos(∠AOQ))を掛けた量Δu1=(nt0−nt)/(1−ecos(∠AOQ))だけ弧AQ(=0)に付け加えて(ひく場合もある)1を求める。そうすると、1は求めるべき値に近づいているはずです。
 次に、惑星がu1の位置に移動したと仮定して、そのときの時刻nt1を同様な手順で求める。そうしてntとnt1を比較するわけです。以下同様な手順を繰り返す。

 つまり、0とuの関係は解らないが、ntとnt0、nt1、nt2、・・・の関係ならば解る。そのためnt0→nt1→nt2→nt3→・・・・をntに近づけることによつて、u0→u1→u2→・・・をuに近づけていこうと言うのです。

 

.計算の実行

 言葉だけでは解らないので、 e=0.6N(=nt=30度=π/6≒0.52359rad)の場合を、初期値u0=∠AOQ=2.63rad≒149°を与えて、ニュートンの説明文に従って計算してみる。
 まず、初期値u0=∠AOQ(下図のQ点)から、惑星がQ点にあるときの時刻t0を表す“平均近点離角”nt0(下図のN0点)を求める。次に、N0−Nから差分Eを求める。そして∠AOQ−EによってQ1点を求める。

 こうして求まったu1(図中のQ1点)を初期値として、まず、惑星がQ1点にあるときの時刻t1を表す“平均近点離角”nt1(下図N1点)を求める。そして同様な手順を繰り返してQ2点を求める。
 ここで上図と次図を比較してみれば、前項文中の“(それは角が直角より小さければ減少し大きければ増大する)”は、角(∠AOQ−E−・・・)が直角よりも小さければ 1−e・cos(∠AOQ−E−・・・)<1となり、直角よりも大きければ 1−e・cos(∠AOQ−E−・・・)>1となることを言っていることが解ります。つまり、図中のui=∠AOQ−E−・・・における接線の傾きがu=π/2=1.57・・・を境にして変化する様子を注意している。

 新たにもとまったu2(図中のQ2点)を初期値として、まず、惑星がQ2点にあるときの時刻t1を表す“平均近点離角”nt2(下図のN2点)を求める。そうして以下同様な手順をくりかえすと

となる。
 すなわち、nt0(=2.33626)→nt1(=0.845078)→nt2(=0.558866)→nt3→・・・としてnt点(与えられた時刻=0.52359)に近づけると、0(=2.63:初期値)→u1(=1.43995)→u2(=1.09116)→u3(=1.04239)→・・・となって(求めるべき値)u=q点にどんどん近づいていく
 上図ではu3=Q3点はq点にほとんど一致するので重ねて描いてある。ちなみに、この方法で求めた最終的な解は、u=∠AOq=1.04149rad=59.6732°となる。
 このとき、初期値u0=∠AOQu0=2.63rad≒148.97°は、2.(3)4.の例に於いてニュートン法の手順が解りやすいように真の値uからかなりはずれた値にしたのですが、もっとuに近い値から出発すればよい。そうすれば、ニュートンが指摘しているように、上記の手順を1、2度繰り返すだけで、極めて正確な値に収束します。

補足説明
 プリンキピアを読めば、ニュートンがケプラー方程式の本質“uからntを計算するのは簡単だが、その逆は極めて困難である”を明確に理解していたことが解ります[特に補助定理28(ここは、文献3.を参照されたし)]
 プリンキピアの文章は正確かつ適切に書かれているのですが、この手順を幾何学的に理解することは極めて難しい。実際のところ、プリンキピアの中の証明は最初に解析的な手法で証明してから幾何学の言葉に翻訳しなおされたものだろうと、多くの科学史研究家は推測しています。
 おそらくニュートンは、この計算法を2.(3)4.に示した図の上で、彼が発明した微分・積分法によって解析的に見つけたに違いない。そう考えないとnti−nt=f(uiからΔui=ui-1−uiを導くときに(nti−nt)へ乗じるべき1/f’(ui)=1/(1−e・cos(∠AOQi-1))の形を予測することは難しかったでしょう。それを見つけるにはsinの微分がcosであることの知識が必要だからです。
 そのように解析的に導いた上で、当時は微分・積分の解析学はまだ存在せず代数学・幾何学しか無かったので、仕方なくユークリッド幾何学の言葉に翻訳して記述せざるを得なかったのだろう。
 それにしても、幾何学の言葉は論理的に厳密ですが理解するのは難しい。私自身、わずか20行たらずのこの文章を理解するのに厖大な時間を要しました。「プリンキピア」の内容が深遠なことに圧倒されます。

 

HOME  導入  2.Kepler)()()()  3.Newton)()  4.Bessel(1)()()  5.参考文献

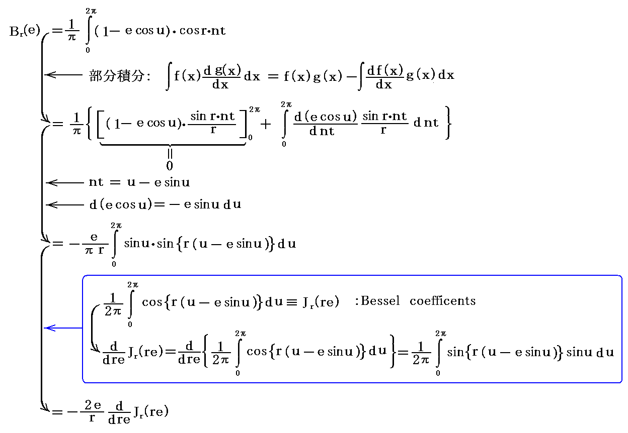
4.BesselによるKepler方程式の解法

 文献5.によると、ベッセル関数に関しては先行研究が様々あるようです。解u(t)の解析的表現である級数解の最初の数項を求めたのはラグランジュ(1770年)のようです(文献5.§1.4)。彼がどのような方法で求めたのか良く解らないが、おそらく逐次近似で代入して求めたのだろう。[文献8.p133で説明されているLagrangeの定理を用いてもu(t)はsinr・ntによる無限級数展開できるようですから、その定理を用いたのかもしれません。荒木俊馬著「天体力学」U§9参照]
 u(t)の完全な無限級数解を求めたのはベッセル(1817年)のようです。そのとき彼は無限級数の係数を構成する関数の性質も詳しく調べたので、その係数関数は今日ベッセル関数と呼ばれている。(関数自体の発見者はダニエル・ベルヌーイ)
 なお、べッセル(Friedrich Wilhelm Bessel)は年周視差(はくちょう座61番星)の最初の発見、シリウスとプロキオンの伴星の存在の指摘などの観測天文学でも有名です。
 以下で、ベッセルの方法を説明します。

)“離心近点離角”uをntの関数として表す

 2.(2)4.で説明した関係式を用いれば、uが求まったときそれからから(r,θ)を計算するのは簡単です。だから、問題はそのu(離心近点離角)を時間t(平均近点離角nt)の関数として表すことです。
 それは、Newtonの章で説明したように、極めて難しい数学的問題でした。ところが、時代が下るとニュートンやライプニッツが発明した微分・積分学(すなわち解析学)が発達してきます。またフーリエによるフーリエ級数展開の理論が発見されます。Besselの仕事はまさにフーリエ級数の理論が発見された直後に成されたものです。

 おそらく、当時の数学者(天文学者)には、“ケプラー方程式の解を求めることは難しいが、u−nt=e・sinuは変数ntに関して周期2πの奇関数となる”ことは良く解っていたはずです。
 そのため、周期関数について成り立つフーリエ級数展開の理論が発見されるやいなや、直ちにこの理論がケプラー方程式の解法に使えると気付いたのでしょう。

.フーリエ級数展開

 ケプラー方程式をu−nt=e・sinuと変形すれば、それが周期2πの奇関数であることが解ります。そのためフーリエ級数の理論により

の様に展開できます。
 この展開式で注意して欲しい事は、変数uとntは0、π、2π、・・・では一致しますが、それ以外の部分では一致せず横軸上での移動の様子が異なる事です。3.(1)2.解説の[証明]文の最後で注意したことを思い出してください。そこの[補足説明]の図のu=∠AOQとnt=∠AOQ”の関係です。
 そのためe・sinuを変数ntを横軸にしたグラフではe・sin[f(nt)]となるのです。ここでuはntの簡単な関数で表せないのでu=f(nt)と表しています。e・sinu=e・sin[f(nt)]のグラフを描いてみるとe=0.4の場合以下の様になります。

 このグラフは等角速度で回転していくQ”点“平均近点離角”)に対して、“離心近点離角”を表すQ点の回転速度は速く(近点付近)なったり遅く(遠点付近)なったりすることを表しています。

補足説明1
 上図の赤色曲線は数式処理ソフトMahematicaで描いたのですが、この曲線はntの簡単な関数で表すことはできません。そのため、後で求める無限級数解を先取りして用いました
 また、この級数はeが大きいと収束が悪い(つまりsin[rnt]のrが大きい項で生じる凸凹がいつまでも減らない)のでe=0.4にしました。この事については以下の[補足説明3]を参照されたし。

 “フーリエ級数展開の理論”とは、

上図のような周期関数は、以下の三角関数に適当な係数を乗じて和をとったもので表現できるというものです。

ただし、元の関数が奇関数の場合は [sin関数の和]、偶関数の場合は [定数+cos関数の和]となります。今取り上げている関数は奇関数の例です。
 そのとき、無限級数の係数は、以下の積分操作(ただし奇関数の場合)で求めればよいというのがフーリエの発見したことです。偶関数やもっと一般的な周期関数のフーリエ級数展開については適当なページをご覧下さい。

 このとき、級数の係数を表す積分関数が後に“ベッセル関数”と呼ばれることになる。

 この関数を用いると“離心近点離角”u“フーリエ級数展開の理論”により、“平均近点離角”ntの無限級数関数として表される。
  

補足説明2
 最初に引用したWhittakerの文献1.では、uそのものではなくそれをntで微分したdu/dt(周期2πの偶関数になる)をフーリエ級数展開してから、それを項別に積分することで求めています。
 その様にしても良いのですが、上で説明したように直接求めることもできます。ここの式展開は文献5.の§17.22から引用しました。

 

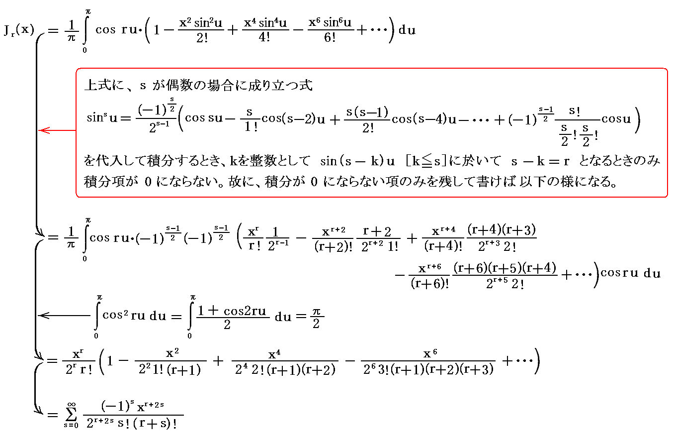
.ベッセル関数

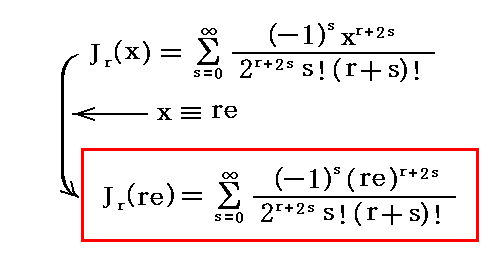
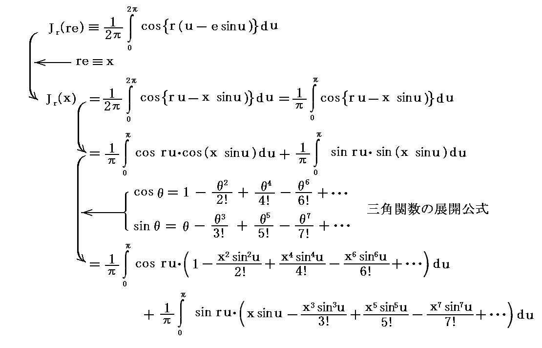
 前項の無限級数の係数であるBessel関数をもっと具体的な形にしないと、このままでは役に立ちません。以下でBessel関数の巾級数表示を求めます。このとき、見通しを良くするためにre≡xと置いて議論します。

 ここで、rが奇数ならば第1項が0となる。

同様に、rが偶数(r=0も含む)ならば第2項が0となる。

 このときさらに、sが奇数の場合には

となる。同様にsが偶数の場合には

となる。
 これらの関係式を前記の式に代入する。
 rが奇数の場合には第2項のみ残るので

となる。
 同様に、rが偶数(r=0も含む)の場合には第1項のみが残って

となり、rが奇数の場合と全く同じ結論が得られる。これらの式展開は文献4.から引用しました。
 xを元のreにもどすと、任意の自然数r=1、2、3、4、5、・・・に対するBessel関数は以下のような巾級数で表される。

 Bessel関数の巾級数展開については、文献5.のcapterUが詳しい。特に§2.11を参照されたし。

 

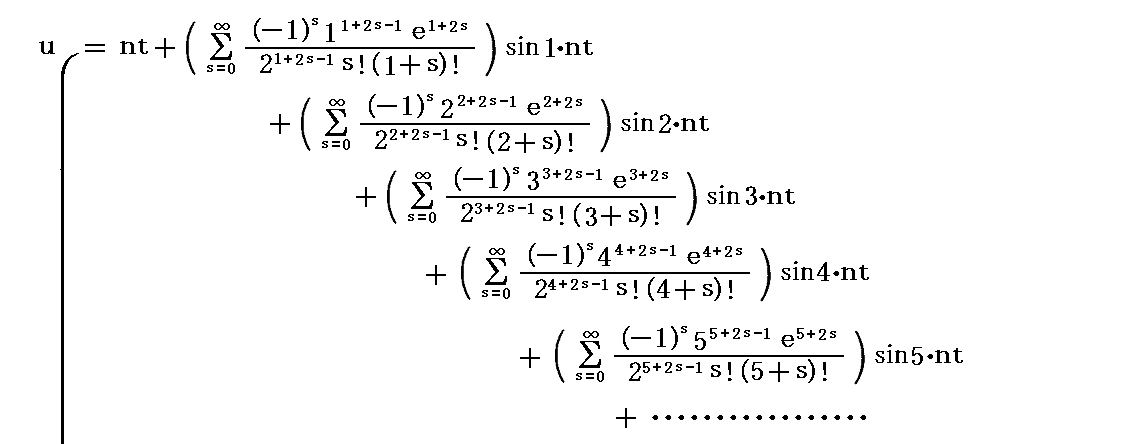
.u(nt)の級数展開

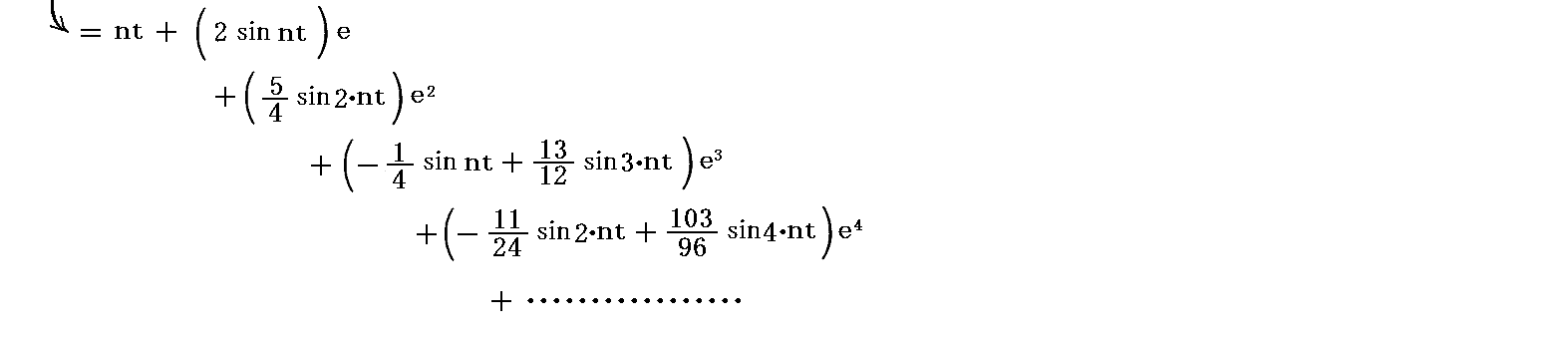
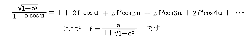
 前項で求めたBessel関数の巾級数表示を前々項で求めた展開式に代入すると、Kepler方程式の解は

となる。
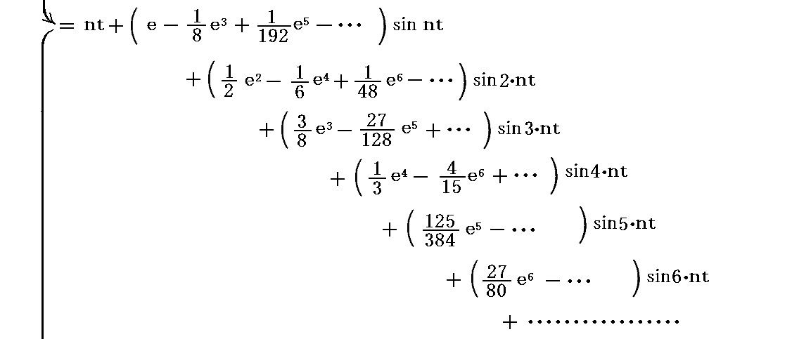
 具体的に書いてみると



となる。
 最後の形を見れば解るように、この無限級数はeが小さいとき(実際の太陽系惑星ではe<0.2)には急速に収束します。そのためeの4次の項まで計算すれば充分正確な値が得られる。ちなみにe<0.1ならe4の項までの計算で、有効数字4桁の精度が得られる

補足説明3
 上で求めた無限級数は、e>0.6627434の場合には収束せずに発散してしまうことが知られている。それはsin[r・nt]の前に掛かっているeの巾級数がr→∞となってもそんなに急速に0に近づかない事による。そのためeがe>0.6627434の場合、sin[r・nt]の高次の項の変動がいつまでも収まらなくなる。
 上記の式は、求めたい時刻ntを代入すれば、その時刻における“離心近点離角”uが直ちに求まるのでとても便利ですが、離心率eが大きな場合には収束性が悪くて使えません。

補足説明4
 前章で説明したニュートン法は、逐次近似法のために繰り返し計算をしなければ成りませんが、離心率がe>0.6以上の場合でも有効です。
 そのとき、最初に仮定する初期値を真の値に近く設定すれば2、3度繰り返し計算するだけで極めて精度良く求まります。それはもともとのu(nt)の関数がntに関して滑らかに変化するからです。
 しかし、eが1に近い長周期彗星や小惑星に対しては、ニュートン法も使えません。その場合にはe=1の放物線に対する解を修正して用いるようです。その方法については文献10.などを参照されてください。

補足説明5
 ここで求めたのと同じことなのですが、もう少し初等的で、解りやすい説明が文献6.の§4.1.3にありますので、別稿にて引用しておきます。

 

HOME  導入  2.Kepler)()()()  3.Newton)()  4.Bessel)(2)()  5.参考文献

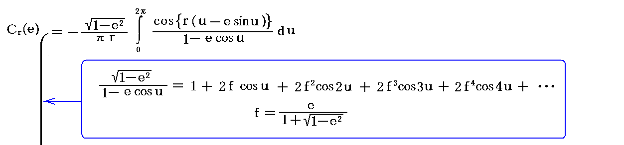
(2)“軌道半径”rをntの関数として表す

 前節で求めたu(nt)の表現式により任意のnt値のときのu値が求まる。u値が求まれば、2.(2)4.で求めた関係式に代入することで、その時刻のrやθが求まる。

 ここでは、Bessel関数を用いて rやθを直接ntの関数として表してみます。導くのは結構面倒ですがr(nt)やθ(nt)が直接ntの無限級数関数の形で表されているので利用するのに便利です。

.フーリエ級数展開

 “軌道半径”rは、“平均近点離角”ntに関して、周期2πの偶関数になることは明らかです。そのためこれは“フーリエ級数展開の理論”により、以下のように[定数+cos関数の和]の形の無限級数で表される。ただし、以後の話を簡単にするためにr/a(aは楕円の長半径)について論じる。

 このとき、フーリエの理論は、定数項B0と係数Bについて

で計算すれば良いと言っている。[そうすれば良いことは、フーリエ級数論の適当なページをご覧下さい。]
 定数項B0は直ちに積分できて

となる。
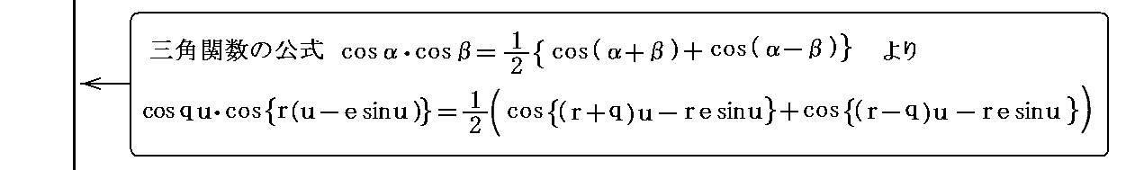
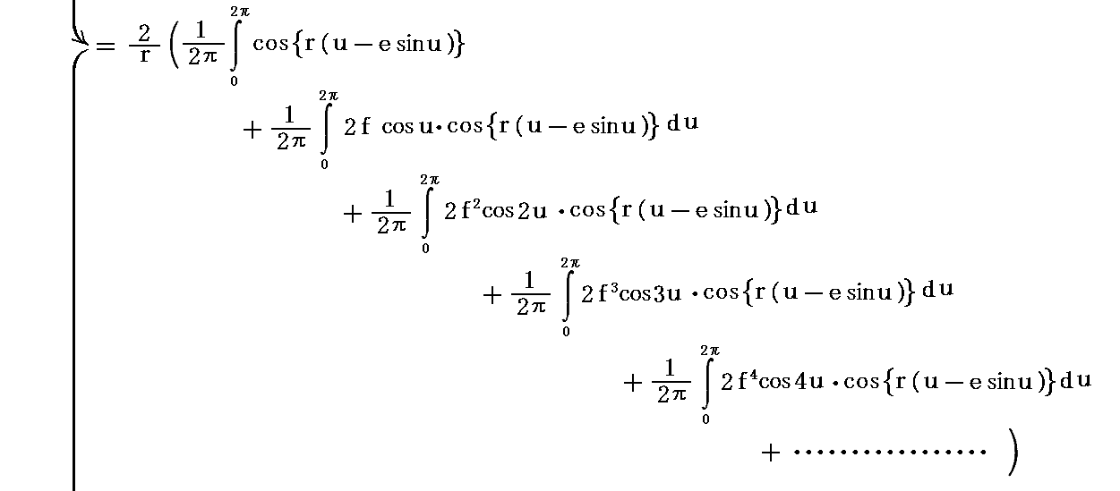
 係数Br(r=1,2,3,4,・・・)は以下の様になる。

ここでd/d(re)Jr(re)はBessel関数Jr(re)の一次導関数を意味する。
 これらの係数を代入すると、

が得られる。ここの式展開は文献5.の§17.22より引用した。

 

.r(nt)/aの級数展開

 4.(1)2.のBessel関数の巾級数展開表示を用いると

であるから、これを前項の結果に代入すると




が得られる。
 これが、別稿「プトレマイオス天動説のエカントとコペルニクス地動説の周転円」2.(1)2.で、ホイルが説明している(6)式です。

補足説明1
 上記Besselの方法はr/aを直接フーリエ級数展開しても求めるものでしたが、前節で求めたu(nt)の展開式を用いて求めることもできます。そのやり方が文献6.の§7.2.1で説明されていますので、別稿にて引用しておきます。

補足説明2
 e=0.4の場合について、r/aのグラフを描くと下図の様になります。

 このグラフは、3.(1)2.で出てきたサイクロイド曲線に似ていますが、その場合と違ってこの曲線を簡単な関数で表すことはできません。このグラフは上記の無限級数関数で(ただし、e5までの項を用いて)描いたものです。

 

HOME  導入  2.Kepler)()()()  3.Newton)()  4.Bessel)()(3)  5.参考文献

(3)“真近点離角θ”をntの関数として表す

.フーリエ級数展開

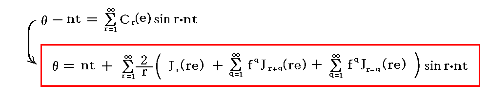
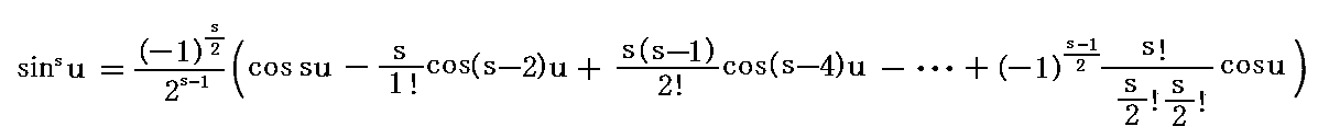
 ここでも、[真近点離角]−[平均近点離角]=θ−nt は周期2πの奇関数であることは明らかです。そのため、これは“フーリエ級数展開の理論”により、以下のようにsin関数の無限級数で表される。

そのときの係数r(e)は以下の積分で計算される。まず、


となる。
 この形は、すでに出てきたr(e)r(e)のような簡単な超越関数ではない。これを最も効果的に計算するには、Besselの方法に従うのがよい。彼は

の関係式を用いた。Besselがこの展開式をどうやって見つけたのか良く解らないが、三角関数の有理関数のフーリエ展開式から求めたのかもしれない。
 例えば、岩波全書「数学公式集U」(1971年刊)のp250によると

いずれにしても、この式を前記の式に代入すると




となる。
 これらの係数を代入すると

が得られる。ここの式展開は文献5.の§17.2より引用した。

 

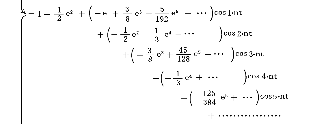
.θ(nt)の級数展開

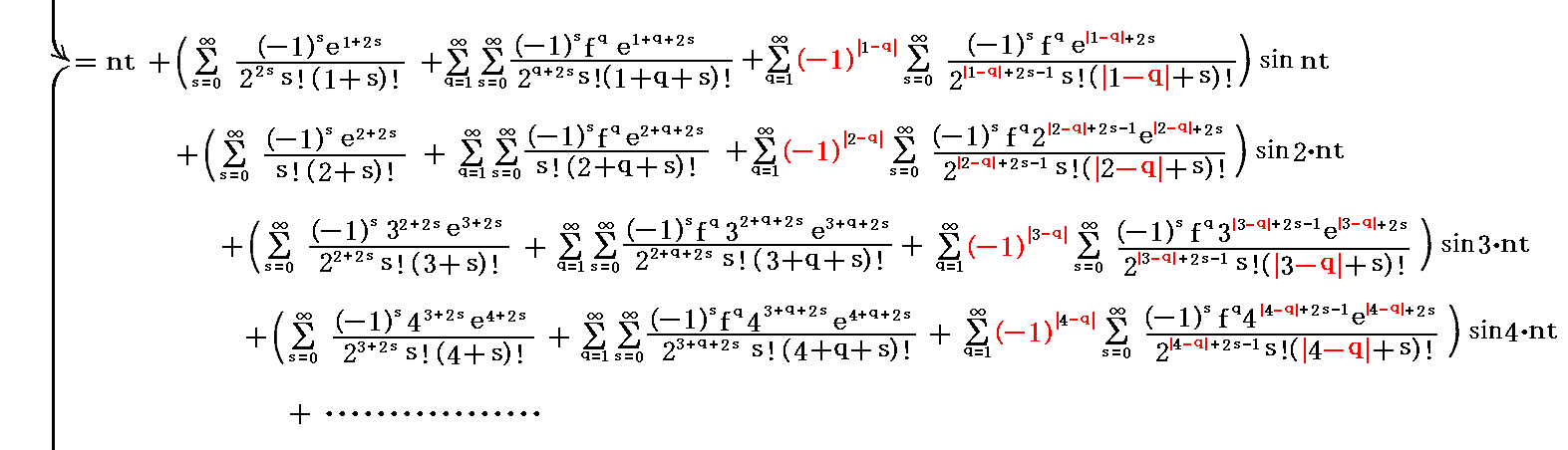
 4.(1)2.のBessel関数の巾級数展開表示を用いると

となります。
 このとき一番右側のJr-q(re)のr−qは、rとqの値によっては負の整数となることがある。その場合には、rが負の整数の場合について成り立つ公式

を用いればよい。この公式が成り立つことは4.(1)2.の証明をたどれば解ります。あるいは文献5.の§2.1を参照されてください。
 つまり r−q<0 の場合には、|r−q|が r−q の絶対値を表すとして

とすればよい。

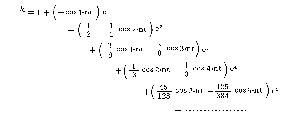
 これらを前項の結果に代入する。展開は極めて面倒だが、e4の項まで計算すると




が得られる。
 これが、別稿「プトレマイオス天動説のエカントとコペルニクス地動説の周転円」2.(1)2.で、ホイルが説明している(5)式です。
 また、最初に引用したWhittakerの文章のExample2.で導くことを求めている式です。おそらくWhittakerはこのやり方ではなくて、次の[補足説明1.]のやり方で求めろと言っているのだと思います。
 荒木俊馬著「天体力学」U§9にe6の項までの展開式が載っています。

補足説明1
 上記Besselの方法はθ−ntを直接フーリエ級数展開しても求めるものでしたが、前々節で求めたu(nt)の展開式を用いて求めることもできます。そのやり方が文献6.の§7.2.1で説明されていますので、別稿にて引用しておきます。ただし、このやり方もかなり面倒です。

補足説明2
 e=0.3の場合について、θ−ntのグラフを描くと下図の様になります。

 このグラフは、4(1)1.で示したu−ntのグラフ曲線に似ていますが、その場合と同様にこの曲線も簡単な関数で表すことはできません。このグラフは上記の無限級数関数で(ただし、e4までの項を用いて)描いたものです。このとき、eが大きいと級数の収束が悪いので離心率をe=0.3に落として例示しています。

補足説明3
 天文学では、このθ−nt“中心差”(equation of center)と呼んでいます。当然のことですが、離心率eが小さくなる(つまり軌道が円に近づく)につれて小さくなります。
 別稿「プトレマイオス天動説のエカントとコペルニクス地動説の周転円」2.(2)で、実際の太陽系惑星の中心差の大きさを見積もっていますが、それは上記の式に各惑星の離心率eを与えて同様のグラフを描いてみれば良い。
 水星(e=0.2056)と火星(e=0.0933)の場合を描いてみる。縦軸のスケールを変えていることに注意。


 別稿で説明したように、惑星の(楕円軌道)観測値と(円軌道)理論値との間の角度差の平均ラジアン単位(1rad=57°)で測って離心率程度になる。
 ただし、これらの中心差は全て太陽から見た場合ですから、実際は地球から見た値に変換しなければ成りません。

補足説明4
 4.(1)1.で説明したu−ntのグラフと上記[補足説明3]のθ−ntのグラフに、無限級数解のeの一次の項まで取ったグラフ(青色曲線)を重ねて描いてみる。
 e=0.0933の火星軌道については



の様になる。
 別稿「プトレマイオス天動説のエンカトとコペルニクス地動説の周転円」3.(1)や、そこの[補足説明2]で説明したことを考慮すると、これらの青色曲線がプトレマイオス・コペルニクス理論が予測するカーブに(完全に一致するわけではないが)かなり近いはずです。青色曲線と赤色曲線を比較してみれば解るようにプトレマイオス・コペルニクス理論は中心差を説明する上においてかなり成功した理論であったことが解る。
 さらに、青色曲線と(真に正しい楕円軌道の)赤色曲線との差は、ntを近日点から測ったとき、nt〜π/4=45°付近ではプトレマイオス・コペルニクスの理論点が楕円軌道の理論点(観測値)よりも少し遅れ気味(uでは15’程度、θでは39’程度)になり、nt〜π・5/4=135°付近ではプトレマイオス・コペルニクスの理論点が楕円軌道の理論点(観測値)よりも少し進み気味(uでは14’程度、θでは36’程度)になることを示している。
 ケプラーはこのわずかな差を徹底的に追求して楕円軌道を発見した。

 

HOME  導入  2.Kepler)()()()  3.Newton)()  4.Bessel)()()  5.参考文献

5.参考文献

 この稿を作るために下記の文献を参照しました。

  1. E.T.Whittaker著,“A Treaties on the Analytical Dynamics of Particles and Rigid Bodies”,Cambridge Uni. Press(1965年刊),p89〜91
  2. 河辺六男訳、「世界の名著26 ニュートン」中央公論社(1971年刊)
    「プリンキピア(自然哲学の数学的諸原理)」p157〜162
     とにかく、この本を時間をかけて読むことにつきますね。
  3. S.チャンドラセカール著「チャンドラセカールの『プリンキピア講義』一般読者のために」講談社(1998年刊)
     この第7章“ケプラー方程式とその解”を参照されたし。私には難しい本ですが、とても参考になりました。
  4. 小平吉男著「物理数学 第一巻」文献社(岩波書店・原本は1931年刊ですが文献社・復刻版は1971年刊)
     この本の第一章§20にKepler方程式とその解法が説明されています。ベッセル関数の巾級数展開については、この本を参照しました。
  5. G.N.Watson著,“A Treatise of the Bessel Function”2nd ed.,Cambridge University Press,1966年刊
     Bessel関数に関してはこの文献が詳しい。この第1章でBessel関数の歴史、第2章でBessel関数の性質、第17章でKepler方程式の解が説明されています。
     下記URLからpdfファイルをダウンロード(無料)してご覧下さい。
    https://archive.org/details/ATreatiseOnTheTheoryOfBesselFunctions
    http://quod.lib.umich.edu/cgi/t/text/text-idx?c=umhistmath;idno=ACV1415
    http://quod.lib.umich.edu/u/umhistmath/ACV1415.0001.001/6?rgn=full+text;view=pdf
  6. 長沢工著「天体力学入門(上)」地人書簡(1983年刊)第6章
    ケプラー方程式とその解法について、丁寧かつ解りやすく説明されています。
    この中の第7章“楕円運動の展開式”を引用
  7. 福島登志夫編「シリーズ現代の天文学13 天体の位置と運動」日本評論社(2009年刊)
    天体力学の入門書として手際よくまとめられています。ニュートン法についても注記されています。
  8. Whittaker and Watson 共著,“A course of modern analysis”,Cambridge University Press,1920年刊
     Whittakerが文献1.で参考書として挙げているものです。この第9章にフーリエ級数、第17章にBessel関数の説明あります。下記URLからpdfファイルをダウンロード(無料)してご覧下さい。
    https://openlibrary.org/books/OL23291540M/A_course_of_modern_analysis

 下記の文献も補足的に参照しました。

  1. 山内恭彦著「一般力学(増訂第3版)」岩波書店(1967年刊),p57〜58
     文献1.の簡略化された説明があります。ただし簡潔な表現なのでなので、これから理解するのは難しい。
  2. 堀源一郎編「現代天文学講座14 天文計算セミナー」恒星社恒星閣(1981年刊)第2章“位置推算”
     私には難しい本ですが、このページを作ってから読んでみると何とか理解できました。数値的な計算例が沢山載っています。この中の“微分修正法”はニュートン法のことです。
  3. 荒木俊馬著「天體力學」恒星社厚生閣(1980年刊)p82〜87
     このページを作った後で図書館から借りて読んだのですが、明確かつ要領良く説明されています。この稿に該当する部分を引用しておきます。なお文中のvがこの稿の真近点離角θです。
  4. http://www.geocities.jp/saitohmoto/physics/kepler/kepler.pdf
     上記URLの斉藤基彦著「惑星運動の時間表示」(pdfファイル)に、Watsonの文献5.第17章の簡単な紹介があります。
  5. http://www.ep.sci.hokudai.ac.jp/~ssd/doc/SEC02/section2.pdf
     上記URLにも解りやすい説明があります。pdfファイルをダウンロードされてご覧下さい。
  6. 原島鮮著「力学(改訂版)」裳華房(1966年刊)§6.2
     Kepler方程式の解析的な導出法の解りやすい説明があります。
  7. 和田純夫著「プリンキピアを読む」講談社(2009年刊)
     プリンキピアについて興味深い説明があります。

 この稿を作るときに、河辺先生が翻訳された文献2.を利用させていただいたのですが、「プリンキピア」の難しさを思い知らされました。プリンキピアが難しいのは、その中に書かれている事柄が、極めて深遠で、時代を遙かに超越しているからだと言われています。超越しているが故に(当時それを記述する数学がなかったので)、ニュートンは幾何学の言葉で書かざるを得なかった。
 実際、文献2.を読んでみて、河辺先生は極めて正確かつ適切に翻訳されていると感じました。プリンキピアを理解するには、まず文献2.の縦書文章を横書きに直し、かつ数式で表現する作業から始めるべきです。その過程を経ないと次の段階に進めないと思った方がよい。この本を理解するためには、厖大な努力が必要だと肝に銘じるべきです。
 またそのとき、幾何学の言葉は中学生でも論理的な理解は可能(だからこそニュートンは用いた)だがその証明過程をたどるのは難しく、今日の解析学による説明の方がはるかに解りやすいと言われています。確かにその通りです。
 しかし、私は、ケプラー方程式の導出に於いて、現代の教科書の解析的説明は解りやすいのですが本当のところ何をやっているのか良く解らなかったのです。ところがこのたび、「プリンキピア」の幾何学的説明を知って、この方程式の意味が明瞭に理解できました。まさに目を覆っていた鱗が落ちた感じでした(ニュートンを引用しているWhittakerもおそらくそう感じたのでしょう)。
 現代の教科書で微分・積分や微分方程式を用いて展開されている事柄を、もう一度「プリンキピア」の幾何学的証明でたどってみると良いかもしれません。この当たりは別稿「楕円軌道の発見と万有引力の法則(「プリンキピア」の説明)」で説明しておりますのでご覧下さい。
 この稿をつくることで、それらのことを再認識しました。ニュートンはまさに天才ですね。彼の偉大さが良く解りました。

HOME  1.導入  2.Kepler)()()()  3.Newton)()  4.Bessel)()()  5.参考文献