HOME .円運動  2.太陽系脱出  3.ホーマン軌道  4.到達最小速度  5.楕円軌道  6.rとφ  7.ボイジャー2号  8.浮遊惑星

 このページを印刷される方はこちらのバージョンをご利用下さい。ブラウザーでは見にくいのですが印刷は鮮明です。

惑星探査機の軌道と飛行速度

 惑星探査機の航行速度の計算例を示します。惑星探査機の飛行は、出発時に所定の速度を得るためにロケットエンジンを用いるが、それ以後はロケットエンジンを使用しない慣性飛行であることに注意。その様に最初にロケット燃料を使い切る飛行をするのは、できるだけ速い時期に最大速度・最高エネルギー値に到達した方が飛行時間を短縮できるからです。それはここでの説明を読めば了解できる。以下の計算では、

とする。また、簡単化して惑星は全て円軌道を回転するとする。そして各惑星の重力ポテンシャルの寄与は全て無視して、太陽の重力ポテンシャル場の中での飛行を考える。惑星の質量は太陽の質量の1000分の1以下だから、ここでの考察のようにおおざっぱな値を見積もるときには無視しても問題ない。そのため計算値は実際の値とは少し異なる。

1.各惑星の公転半径位置で円運動する軌道速度v1

高校物理Uで習うように公転軌道速度v1

となる。

平均公転軌道半径(m) 平均公転軌道半径(AU)  公転軌道速度v1
地球 1.50×10+11m 1.00AU 29.7km/s
木星 7.78×10+11m 5.20AU 13.1km/s
土星 1.43×10+12m 9.55AU 9.67km/s
天王星 2.87×10+12m 19.2AU 6.78km/s
海王星 4.50×10+12m  30.1AU 5.48km/s

これは当然の事ですが各惑星の公転軌道速度と同じです。

 

HOME 1.円運動  .太陽系脱出  3.ホーマン軌道  4.到達最小速度  5.楕円軌道  6.rとφ  7.ボイジャー2号  8.浮遊惑星

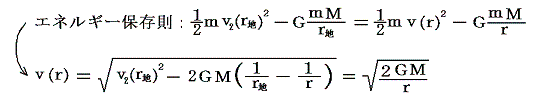
2.各惑星軌道上に於ける太陽系脱出速度v2

 惑星公転軌道上から出発して太陽系を脱出するための最低速度v2は、無限遠点での速度がゼロになるとしたエネルギー保存則を解いて求めればよい。

となる。これは前項で求めたv1の21/2倍になる。

平均公転軌道半径  平均公転軌道半径(AU) 太陽系脱出速度v2
地球 1.50×10+11m 1.00AU 42.1km/s
木星 7.78×10+11m 5.20AU 18.5km/s
土星 1.43×10+12m 9.55AU 13.6km/s
天王星  2.87×10+12m 19.2AU  9.6km/s
海王星 4.50×10+12m 30.1AU 7.7km/s

この速度で各惑星を出発した探査機の飛行速度vを太陽からの距離rで表すと

となる。これは当然のことであるが、上記の脱出速度v2(r)と全く同じ関数形になる。

 このとき、各惑星を上記の太陽系脱出速度で出発するとき、その出発方向はどの方向でも良いことに注意、どの方向に出発しても太陽を焦点とする放物線軌道を描いて無限遠の彼方へ到達できる
 この速度以下で出発した場合に描く楕円軌道の場合は、出発の方向によって太陽中心に対して持つ角運動量が異なってくる。そのとき、動径方向の最大値に達したときにも動径に垂直な方向の速度成分を最初持っていた角運動量成分に応じて持たねばならないので、太陽からの最遠到達距離が異なってくる。
 これに対して、上記の放物線軌道の場合は、到達動径距離の最大値は太陽から無限遠の彼方だから、出発時に持っていた角運動量成分が異なっていて、無限の彼方での角運動量が有限でも、無限遠での話しだから動径に垂直な速度成分はゼロと見なせる。もちろん動径方向の速度成分もゼロに成って良いのだから、最初持っていた運動エネルギーを全て位置エネルギーの獲得に使えることになる。そのため放物線軌道や双曲線軌道が取れる初速度で出発した場合は、太陽に対して任意の方向に向かって出発しても最終的に無限遠の彼方へ到達できる。次に上記脱出速度(42.1km/s)で様々な角度に打ち出したときに、たどる放物線軌道の様子を図示する。


 ここで注意して欲しい事は、実際にロケットを打ち出すには、ロケットをまず地球自転の回転方向に地球を周回する衛星軌道に乗せます。そうした方が地球表面の自転速度(赤道で4.0×107m/(24×60×60)s=463m/s)を利用できるから燃料消費が少なくてすみます。
 その様にしてロケットを一旦衛星軌道に乗せた後に、適当な時期・地点からロケットエンジンを再度働かせて加速していきます。ロケットは地球の周りを回りながら地球を離れていく軌道を描くのですが、ロケット燃料が尽きて地球の引力圏を振り切るあたりで丁度上記の方向になるようにエンジン点火のタイミングを調整する必要があります。
 そのとき、地球の公転方向(上図で上向き)に打ち出す場合には元々地球が持っている公転速度(29.7km/s)が利用できますから、地球の公転方向に垂直な方向(上図で右横向き)に打ち出す場合よりも少ない燃料で所定の速度に達することができます。
 この打ち上げ方法は、次の双曲線軌道に乗せる場合も同様ですし、3.章以下のすべての飛行軌道についてもいえます。

次に、太陽系脱出速度よりも大きな速度45km/sで打ち出したときに取る双曲線軌道を示す。

 上記の軌道の中で、ロケット燃料が最も節約できるのは、地球の公転運動速度を最大限利用できるθ0=90°の場合です。そのため実際には、θ0=90°の方向に出発して、惑星軌道に到着する時に目的の惑星がちょうどその位置にいるような地球−惑星の位置関係を選んで出発する事になる。
 上記の図はかなり錯綜しているので図1図2図3図4図5図6で確認して下さい。

補足説明1
 ここで説明した放物線軌道や双曲線軌道の互いの関係は以下のように描き替えてみると理解しやすい。
 放物線に付いて中心線(対称線)が平行になるように回転してみると
《地球出発地点を固定》

となる。
 双曲線軌道については中心線(対称線)が平行になるように描くのは難しいが同様な趣旨で描いてみると
《漸近線交点を固定》

《地球出発地点を固定》

となる。
 このとき、双曲線の漸近線交点に相当する点は放物線では右方無限のかなたに移動している事に注意されたし。

補足説明2
 放物線軌道図については別稿「質点の二次元運動(放物運動、楕円運動)」4.(2)(a)の図

と比較してみられたし。
 この場合も見かけの焦点が現れるが、この焦点は力の中心ではない。そのため、この場合の軌道上の速度変化の様子は別稿「楕円軌道の発見と万有引力の法則(「プリンキピア」の説明)」命題10系注解の図

の様になる。
 このとき力の中心は左方無限のかなたにあると考えなければならない。そのため面積速度一定の法則を表す面積は上図灰色の短冊図形となる。
 一方[補足説明1]で説明した放物線図中の焦点は逆二乗法則に従う引力の中心点です。そのため放物線軌道上の面速度一定の法則から計算される速度の大きさの分布は別稿3.(3)(a)に従って計算される値となり、上図とはまったく異なるものになることに注意されたし。

補足説明3
 [補足説明2]で注意した[力の中心点の位置]、[力の距離法則]、[軌道の形]、[面積速度の中心角依存性]の互いの関係は解りにくい所ですが、この当たりはニュートンが「プリンキピア」の中で詳細かつ完璧に論じています。
 
命題6.軌道の形から向心力の法則を決定する方法
命題7.軌道が円のとき、任意に与えられた点に向かう向心力の法則
命題8.円軌道と無限円中心に対する力の距離法則
     (注解 これをさらに一般的な二次曲線に拡張した場合)
命題9.等角螺旋軌道と向心力法則
命題10.楕円の中心が力の中心のときの力の距離法則
     (注解 放物線の場合の中心は無限遠に離れた点になるが、その中心に向かう点は一様な力となる、
      双曲線の場合は中心からの力は引力ではなく斥力になるが、その力は中心からの距離に比例する。)
命題11.楕円の焦点が力の中心のときの力の距離法則
命題12.双曲線の焦点が力の中心(あるいは斥力中心)のときの力の距離法則
命題13.放物線の焦点が力の中心のときの力の距離法則
 
これらは「プリンキピア」のほんの入り口の導入部分ですが、ここからだけでもニュートンの偉大さが良く解ります。 

 

HOME 1.円運動  2.太陽系脱出  .ホーマン軌道  4.到達最小速度  5.楕円軌道  6.rとφ  7.ボイジャー2号  8.浮遊惑星

3.地球-外惑星ホーマン軌道の地球出発速度v3と外惑星軌道到達時の速度v4

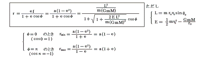
 ホーマン軌道は、地球軌道から出発するとき地球の公転運動の速度を最大限利用できるために、ロケットエンジンの燃料が最も節約できる軌道です。ホーマン軌道を取るときの、地球出発速度v3と惑星到着時の速度v4を角運動量保存則(面積速度一定の法則)とエネルギー保存則から求める。ホーマン軌道については別稿「質点の二次元運動」4.(3)(b)で述べたように以下の式が成り立つ。ただしそこでの比例定数kは今の場合GmMになる。

探査機の速度
地球出発時v3 外惑星到着時v4
地球-木星ホーマン軌道 38.5km/s 7.4km/s
地球-土星ホーマン軌道 40.0km/s 4.2km/s
地球-天王星ホーマン軌道  41.0km/s  2.1km/s
地球-海王星ホーマン軌道 41.37km/s 1.4km/s

また、ホーマン軌道で飛行中の速度v5を太陽からの距離rの関数で表すと

となる。このとき当然 v5(r)=v3(r)、v5(r)=v4(r) が成り立つ。

 

HOME 1.円運動  2.太陽系脱出  3.ホーマン軌道  .到達最小速度  5.楕円軌道  6.rとφ  7.ボイジャー2号  8.浮遊惑星

4.地球から外惑星軌道に到達する為の最小出発速度v6

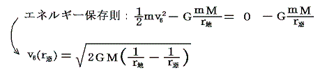
 ホーマン軌道は探査機の惑星間移動に良く利用されるが、外惑星軌道の位置に到達するためだけの軌道としては、エネルギー最小の軌道でもなければ、最短時間の軌道でもない。エネルギー最小で最短時間で外惑星軌道位置まで到達する軌道は、外惑星軌道半径の位置と太陽の位置が両端になるような、離心率が1に近い平たい楕円軌道です。つまり、角運動量の成分=ゼロで打ち出す。惑星探査機が地球を出発するときの速度v6は、そのような軌道の地球軌道半径位置での速度になる。これは、前項のエネルギー保存則で v3=v6、v4=0 とした場合である。

  (1/r-1/r) 探査機の速度
地球出発時v6  惑星軌道到達時 
木星 5.38×10-12/m 37.8km/s 0km/s
土星 5.97×10-12/m 39.8km/s  0km/s
天王星 6.32×10-12/m 40.9km/s  0km/s
海王星 6.44×10-12/m 41.35km/s  0km/s

途中の飛行速度v7を太陽からの距離rの関数で表すと

となる。 

 ただしこの軌道では、地球の公転方向に対して垂直に出発する事になるので地球の公転運動が探査機の加速に利用できない。そのため、出発速度まで加速するのにより多くのロケット燃料が必要になり、実用的ではない
 実際、ボイジャー2号は地球の公転軌道に沿った方向に出発している。そして、木星に近づいたときには木星の引力を利用して木星に到達してスイングバイで増速した。

 

HOME 1.円運動  2.太陽系脱出  3.ホーマン軌道  4.到達最小速度  .楕円軌道  6.rとφ  7.ボイジャー2号  8.浮遊惑星

5.地球から外惑星軌道に到達する最小出発速度v6=v0で、打ち出し角度を変えて出発した場合

 エネルギー最小で最短時間で外惑星軌道位置まで到達する軌道は角運動量成分=ゼロで打ち出されたときの軌道で、外惑星軌道半径の位置と太陽の位置が両端になるような、離心率が1に近い平たい楕円軌道になるが、出発時に太陽中心に対して角運動量成分を持って出発すると、動径に垂直な速度成分vΦが必ず残るので動径方向の到達距離rが小さくなってしまう。
 下図は木星に到達するための最低速度37.8km/sで出発し、角度θ0を様々に変えたときの軌道の様子を示す。出発時の角度θ0が増えるにつれて、太陽からの最遠到達距離rmaxが減少してくることに注意。図の描き方は別稿「質点の二次元運動」3.(3)(d)で説明している。数式のグラフ描画ソフトがあれば6.rとφで述べる極座標表示の関数をそのまま描いても良い。

 上図を見ると木星に到達するには地球の公転軌道に垂直に加速して37.8km/sの速度で出発するのが良さそうですが、そうはいきません。最も効率が良いのは地球の公転軌道の接線方向に出発する軌道です。なぜなら、その場合には地球の公転速度29.7km/sがそのまま利用できるからです。
 それは第3章で説明した“ホーマン軌道”そのものです。そのとき必要な出発速度は38.5km/sでしたから、地球公転速度との差分 38.5−29.7=8.8km/sだけ増速すれば良いのです。最終的に地球軌道接線方向の速度となる様に加速した方がロケット燃料の大幅な節約になります。

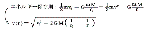
 地球Eの軌道半径=r0の位置から角運動量成分=0(つまりθ0=0)、出発速度v0で打ち出されたとき、太陽から最も離れるときの距離をr1(今の場合木星の軌道半径=5.2天文単位)とする。θ0=0の時の最遠到達距離r1は、エネルギー保存則から明らかなようにv0、r0と次式で関係づけられる。

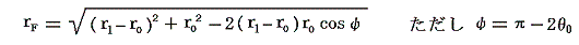
 次に、同じ出発速度v0だか出発の角度θ0を変えたときに描く楕円軌道の、太陽Sから最も離れたときの距離をrmax、太陽Sと楕円の焦点Fとの距離をrF、太陽に最も近づいたときの距離を離rminとして、これらの値を求めてみる。探査機の飛行中には、角運動量とエネルギーが保存されるので

が成り立つ。別稿「質点の二次元運動」3.(3)で説明したように最遠到達距離rmax、及び最近距離rminではvr=0だから、vr=0として上式を連立させて解くと、rmax、rminはL、Eを用いて

と表される。また、三角形ESFに三角関数の余弦定理を用いると太陽Sと楕円の焦点Fとの距離をrF

と表される。太陽Sから見た出発地点Eと焦点Fとのなす角φFEは次式から求まる。

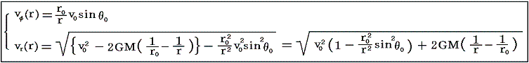
 また、上記の二つの保存則をvφ(r)、vr(r)の連立方程式と見なして解けば

が得られ、初期値(r0、v0、θ0)及びrとの関係式が得られる。

以下にθ0=67度の場合を例示す。

 

HOME 1.円運動  2.太陽系脱出  3.ホーマン軌道  4.到達最小速度  5.楕円軌道  .rとφ  7.ボイジャー2号  8.浮遊惑星

6.極座標表示に於ける動径rと方位角φの関係

 5.で用いた楕円軌道図を用いて説明する。

別項「二次曲線の性質」で説明した楕円軌道に関して成り立つ一般的な性質を用いると、標準形表現におけるa、cはrmax、rminと以下の関係で結びつけられる。

また、楕円の離心率eと焦点Sと準線との距離fは、上記a、cと次のように結びつれられる。

楕円の極座標表示をもちいると、太陽からの距離rは方位角φ(上図参照)を用いて以下の様に表される。

または

φ測定の基準線SOは探査機を打ち出した方位角SEから(π−φFS)だけずれているが、φFSの値は

から求めることができるから、打ち出し点から測定した方位角で表すこともできる。
 この当たりは、例えばランダウ、リフシッツの理論物理学教程「力学」東京図書などに見通しよく解説されている。 

補足説明
 以上の話では、軌道上での時間の関係は説明しませんでした。時間の関係を取り扱うには高校数学では習わない積分公式を利用しなければならないからです。さらにこの積分が実行できてφを時間tの関数として表す解析的な式が求まるわけではありません。無限級数として表せるだけです。
 このことに関して、別稿「プトレマイオス天動説のエカントとコペルニクス地動説の周転円」2.(1)「楕円軌道とケプラー方程式」もご覧下さい。

 

HOME 1.円運動  2.太陽系脱出  3.ホーマン軌道  4.到達最小速度  5.楕円軌道  6.rとφ  .ボイジャー2号

7.ボイジャー2号の飛行速度v

 ボイジャーの軌道速度を太陽からの距離の関数として表すにはエネルギー保存則を用いればよい。このとき、重要なことは飛行速度の大きさは進行する方向や軌道の形によらず太陽からの距離のみの関数になることと、各惑星近傍でのスイングバイによる増速時以外は全て慣性飛行と見なせる事です。
 その為、各惑星の位置でスイングバイにより得た速度を初速度として計算したグラフを繋いでゆけばよい。つまり、各惑星によるスイングバイで得た速度を初速度v0とし、それ以後次にスイングバイする惑星に到達するまでの速度vの変化を太陽からの距離rによってあらわすと、エネルギー保存則より

となる。(別項「惑星探査機のスイングバイ航法」参照)。

 ちなみにNASAのHP(http://www2.jpl.nasa.gov/basics/bsf4-1.html)にボイジャー2号の実際の飛行速度が掲載されている。(ただし、この図のSOLAR SYSTEM ESCAPE VELOCITYのグラフは間違っている)

 NASAによると36km/sで地球を出発したことになっているが、これは地球の引力圏を脱出するときの値であるから、実際にはもっと速い速度(下図は39.2km/s)で出発したであろう。また、各惑星の近傍では惑星の重力のために速度が大きく変動している。NASAの図に最もマッチするような数値を与えて上記の方法で飛行速度のグラフを書いてみると次のようになる。

この図は以下の値を与えて描いたものであるが、実際の飛行速度と良く一致している。

スイングバイ
した惑星
探査機の速度
スイングバイ直前  スイングバイ直後v0 
木星 10km/s 21km/s
土星 16km/s  23km/s
天王星 21km/s  22km/s
海王星 21km/s  19km/s

このグラフに前述3〜4の結果v3(r)〜v6(r)を重ねると下図になる。

 

[補足説明1](2013年7月追記)
 2013年6月に出版された
山川宏著「宇宙探査機はるかなる旅路へ(宇宙ミッションをいかに実現するか)」化学同人社
に様々な探査機のミッションとその軌道が紹介されています。軌道設定上での注意点も説明されていますのでご覧ください。

[補足説明2](2017年11月追記)
 米国ハワイ大学は、 2017年10月19日に発見された天体が、高速で太陽系を縦断して飛び去っていった事を発表した。その天体の飛行速度は太陽系を構成する惑星、小惑星の公転速度よりも遙かに早い速度で太陽系外から近づき、太陽の重力で軌道を変えた後に、11月20日現在秒速約40km/sで太陽系から離れつつある。この速度はボイジャー2号の太陽系脱出時の速度(20km/s)の2倍程度です。

 これは岩石と金属でできた細長い葉巻形(長さ400m以上、直径40m程度)の天体で、太陽系外からの天体で初観測されたものとなった。そのため、ハワイ語で「最初の使者」を意味する「オウムアムア」と命名された。まるでSF小説に出てくる宇宙船の様な形をした不思議な天体ですね。
 この新聞記事を読で、アーサー・C・クラークのSF小説「宇宙のランデヴー」を思い出された方も多いのではないでしょうか?最近のNHK番組コスミックフロントNEXTで系外惑星の発見や恒星間旅行などが話題になっていますが、近隣の恒星(あるいは赤色矮星)のハビタブルゾーンにある惑星の知的生命体が、何千年か前(ことによると数万年前)に太陽系を目指して宇宙船を送りだしたかもしれません。しかし数千年(〜数万年)の時の流れの中で宇宙船内の知的生命体は死に絶えて、せっかく目的の太陽系に到着したのに、そのまま通り過ぎてしまった。そんな事を考えてしまいました。奇しくもクラークが考えた異星生命体のスペースコロニーの移動速度も42km/s(15万km/時)ですし、スペースコロニーの大きさも上記の様なものでした。。

(2018年10月追記)
 2018年10月4日に放映されたNHKコスミックフロントNEXTで「オウムアムア」を特集していましたね。大きさの推定値の最新版は長さ800m、直径は80mとなっていました。また、その正体についてハッブル宇宙望遠鏡による軌道観測の詳細から、他の恒星系の外縁部で作られた氷でできた彗星の可能性が高い事が説明されていました。
 また、「オウムアムア」の発見をきっかけに太陽系に捉えられた太陽系外天体の存在の可能性も議論されていました。興味深いですね。
 
(2021年10月追記)
 「オウムアム」の天体形状について新しい展開がありました。新しい考察・分析によると、「オウムアム」は、岩石ではなくて、N2の氷できたパンケーキ状の天体であっただろうと言うことです。このことの詳細は[補足説明4]で説明しています。

補足説明3](2019年12月追記) 朝日新聞デジタル版のニュース記事
 2017年に太陽系外から飛来し、地球の近くを通って飛び去った葉巻型の天体「オウムアムア」に続く2例目の恒星間天体になりそうな候補が見つかった。今年8月に見つかった彗星(すいせい)がそれで、太陽系内を回るふつうの彗星と違って太陽系外から近づいてきているらしいことが判明したと米航空宇宙局(NASA)が2019年9月12日に発表した。
 NASAによると、その天体は、ウクライナ南部のクリミア半島にある天文台で8月30日、ゲナディー・ボリゾフ氏が発見した彗星「C/2019 Q4」。ボリゾフ彗星と名付けられ、NASAや欧州宇宙機関(ESA)などのその後の観測で、宇宙空間を極めて高速で移動していることが分かった。
 ボリゾフ彗星は現在、太陽から約4億キロ離れた場所にいて、時速15万キロという猛スピードでこちらに近づいている。これは、米アポロ宇宙船が3日かかった地球から月までの距離を、2時間半で到達できる速さだ。NASA地球近傍天体研究センターのダヴィデ・ファルノッキア氏は「この速さから、太陽系の外から飛来し、飛び去っていく可能性が高い」と述べた。
 彗星はこのまま行くと、12月初めに太陽に最も近づき、火星と木星の軌道の間を通り抜けそうだ。地球には約3億キロまでしか近づかないため、暗く、ふつうの望遠鏡で見るのは難しそうだ。その後、太陽の重力で軌道を少し変えて飛び去るという。

補足説明4](2021年10月追記)
 [補足説明2]で説明した「オウムアムア」に付いてのその後の観測と分析の報告です。これは
 NHKコスミックフロントNEXT 2021年10/7放送 “恒星間天体 異世界からの訪問者”
からの情報です。
 
 「オウムアム」は、その発見の当初から継続してその軌道が観測され続けています。その観測過程で「オウムアムア」はそれまでの軌道の観測値から予測される軌道からどんどん外れ続けている事が解りました。それはあたかも太陽から遠ざかる向きの力が継続的に働き続けている様な軌道です。それはちょうど、氷でできた小天体が太陽系内を運動しているときに、太陽に照らされた面の氷が太陽光線により暖められることによりガス化してロケット噴射の様な噴出をして、太陽とは反対方向に小天体が加速される現象が起きていることを予想させるものでした。
 
 それで、2021年3月になって、アリゾナ大学のスティーブン・デッシュ(S.J.Desch)とアラン・ジャクソン(A.P.Jackson)は、「オウムアムア」の正体についてもう一度検討してみることにしました。
 まず、当初予想された「オウケアムア」が長さ800m程度、太さ80m程度の形状ですが、これは「オウムアムア」のスペクトル観測から、ガスの痕跡が見られないことから、「オウムアム」は岩石質でできた小惑星だろうと推測された事によります。岩石質の小惑星のアルベト(反射率)は0.04程度(つまり太陽光の4%を反射する)であることは解っていますので、観測された「オウムアム」の明るさと、その光度の時間的な変化の様子からその大きさと形状が計算されたのでした。
 デッシュとジャクソンは「オウムアム」のアルベド(反射率)がもっと大きければ、もっと小規模でしかもパンケーキのような形状の天体でも、その光度と光度の時間的変化が説明できる事に気付きます。
 それで彼らは色々なアルベトを仮定して、太陽光による蒸発のロケット効果と小天体の大きさの関係を、様々な物質分子の氷の塊に付いて検討したのです。そうするとHO、CO、NH、Oなどの氷の塊では観測されたロケット効果やその明るさを生み出すアルベドの値は解として存在しませんでした。一方N2、CO、CH4などの氷の塊では観測されたロケット効果を生み出すアルベド値(この値と観測光度より小惑星天体の大きさがきまる)が存在したのです。特にN2の氷はアルベド値が0.1と0.64の場合が解として存在しました。特にその二つの解の内で0.64は冥王星の表面に窒素が氷として降り積もった平原のアルベドとして知られていたものだったのです。アルベド値が0.1の方を採用するとロケット効果とは矛盾しないが天体の大きさが大きくなりすぎるので排除。
 それで、彼らは遙か彼方の恒星系に(冥王星のような)系外惑星が存在して、それに何らかの小天体が衝突してそれから剥ぎ取られたN2の氷の塊が恒星間に放り出されたものが「オウムアムア」だろうと推論します。
 実際、「オウムアムア」のアルベドが0.64の様に大ききれば、より小さな天体(彼らの計算値では半径20m程度)でも「オウムアムア」の明るさの観測値を説明できますし、その形がパンケーキの様なものであれば、「オウムアムア」の明るさの時間的変化も説明できます。更にその大きさのN2の氷が太陽光線で照らされたときのロケット効果による軌道の変化量も説明できて「オウムアムア」の実際の飛行軌道をうまく説明できたのです。
 
 この内様につきましてはスティーブン・デッシュのプレスリリース
https://news.agu.org/press-release/interstellar-object-oumuamua-is-likely-a-piece-of-a-pluto-like-planet
を参照されたし。論文本体は以下で引用。
1I/’Oumuamua as an N2 ice fragment of an exo-Pluto surface: I. Size and Compositional Constraints
1I/’Oumuamua as an N2 ice fragment of an exo-pluto surface II: Generation of N2 ice fragments and the origin of ‘Oumuamua

 

HOME 円運動  2.太陽系脱出  3.ホーマン軌道  4.到達最小速度  5.楕円軌道  6.rとφ  7.ボイジャー2号  8.浮遊惑星

8.浮遊惑星 (2023年8月追記)

 恒星の重力による束縛を逃れて宇宙空間を移動している惑星が存在するのではないかと言うことは、昔から予想されていました。それらの浮遊惑星がどの様にして生じたのかは謎ですが、おそらく最初はその惑星が誕生した恒星系の母恒星の周りを公転していたはずです。
 それが何らかの天体衝突により元の軌道からずれて、その軌道が同じ恒星・惑星系を公転している巨大惑星の軌道と交叉する事態が生じたに違いありません。そして、別稿「惑星探査機のスイングバイ航法」で論じた様な現象が生じたのでしょう。そこの4.(1)で説明したパイオニア10号4.(3)で説明したボイジャー2号の様に、スイングバイにより、宇宙空間へ放り出されて旅だったのでしょう。前章[補足説明2]で紹介した「オウムアムア」もその様なものの一例でしょう。
 その様に考えられるはじき出されるメカニズムから、おそらくこの宇宙空間にはより軽い惑星(小惑星)の方が浮遊惑星となりやすいと予想されます。しかし、惑星は自ら光りませんし、もともと小さい天体ですから、発見は極めて難しい。所が今日重力場天文学の発展に伴い、そういった浮遊惑星の存在が次々と確かめられています。
 以下で2023年8月29日の朝日新聞の記事を紹介します。

HOME 1.円運動  2.太陽系脱出  3.ホーマン軌道  4.到達最小速度  5.楕円軌道  6.rとφ  7.ボイジャー2号  8.浮遊惑星