HOME  TOP  END

 江沢洋著 「現代物理学」 朝倉書店(1996年)

第 1章 力学的な世界観
第 2章 電磁場と光
第 3章 相対性理論(1)
第 4章 相対性理論(2)
    1.同時刻の定義
        1-1.ひとつの座標系のなかの同時刻  1-2.相互に動く座標系の間の同時刻  1-3.光速不変
    2.4次元世界
    3.走る時計は遅れる
    4.相対論的力学
        4-1.対応原理  4-2.速度の合成  4-3.加速度の変換  4-4.相対論的運動方程式
        4-5.運動方程式の共変性  4-6.エネルギー保存則
    5.運動量とエネルギーのローレンツ変換
        5-1.4元運動量  5-2.理想気体の質
    6.一般相対性理論へ
    7.演習問題
第 5章 原子論の発展
第 6章 電子とその役割
第 7章 放射能の発見と原子核
第 8章 量子の発見
第 9章 前期量子論
第10章 量子力学の誕生
第11章 観測の理論
第12章 角運動量の量子力学
第13章 原子の構造
第14章 エネルギー準位と物質の構造
第15章 素粒子



HOME  TOP 1.同時刻の定義 2.4次元世界 3.走る時計は遅れる 4.相対論的力学 5.運動量とエネルギーのローレンツ変換 6.一般相対性理論へ 7.演習問題 END


4-1-1

 “光速不変の原理”が成り立つ故に、上記の方法て゜同一慣性系内の時計の時刻を合わせることができる。
4-1-2














 ここで説明されているアインシュタインのローレンツ変換導出法については、別稿「アインシュタインの特殊相対性理論(1905年)」2.(4)、 2.(4)[補足説明3] や 別稿 A.Einstein著「わが相対性理論」附記1. などを参照されたし。
4-1-3




HOME  TOP 1.同時刻の定義 2.4次元世界 3.走る時計は遅れる 4.相対論的力学 5.運動量とエネルギーのローレンツ変換 6.一般相対性理論へ 7.演習問題 END






HOME  TOP 1.同時刻の定義 2.4次元世界 3.走る時計は遅れる 4.相対論的力学 5.運動量とエネルギーのローレンツ変換 6.一般相対性理論へ 7.演習問題 END






 上記の 3.4.節 はこちらです。

HOME  TOP 1.同時刻の定義 2.4次元世界 3.走る時計は遅れる 4.相対論的力学 5.運動量とエネルギーのローレンツ変換 6.一般相対性理論へ 7.演習問題 END


 本節は、別稿「相対論的力学」2.を参照されたし。
4-4-1





4-4-2




 ここの内容が以下の議論で重要になります。これはEinsteinの1907年の総説論文や、内山文献103.補足説明[23.]で用いられている式変形と同じである事に注意されて下さい。
4-4-3






4-4-4



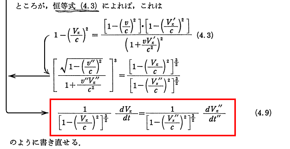
 (4.7)式に付いては、別稿「相対論的力学」2.を参照されたし。
4-4-5



4-4-6



HOME  TOP 1.同時刻の定義 2.4次元世界 3.走る時計は遅れる 4.相対論的力学 5.運動量とエネルギーのローレンツ変換 6.一般相対性理論へ 7.演習問題 END

4-5-1





4-5-2




HOME  TOP 1.同時刻の定義 2.4次元世界 3.走る時計は遅れる 4.相対論的力学 5.運動量とエネルギーのローレンツ変換 6.一般相対性理論へ 7.演習問題 END



HOME  TOP 1.同時刻の定義 2.4次元世界 3.走る時計は遅れる 4.相対論的力学 5.運動量とエネルギーのローレンツ変換 6.一般相対性理論へ 7.演習問題 END

4-7-1

4-7-2

4-7-3

4-7-4

4-7-4

4-8

HOME  TOP 1.同時刻の定義 2.4次元世界 3.走る時計は遅れる 4.相対論的力学 5.運動量とエネルギーのローレンツ変換 6.一般相対性理論へ 7.演習問題 END