HOME  目次 1.局所系 2.非局所系 3.小正準 4.正準 5.大正準 6.金属内電子 END

第13章 局所体系と非局所体系

 量子統計力学の基本的なとこを説明します。これは、原島鮮著「熱力学統計力学」倍風館(1966年刊)の第13章からの引用です。ただし、解りやすくする為にかなり改変しています。

10.統計理論の問題
11.Liouvilleの定理と各種集団(アンサンブル)
12.量子統計
13.局所体系と非局所体系
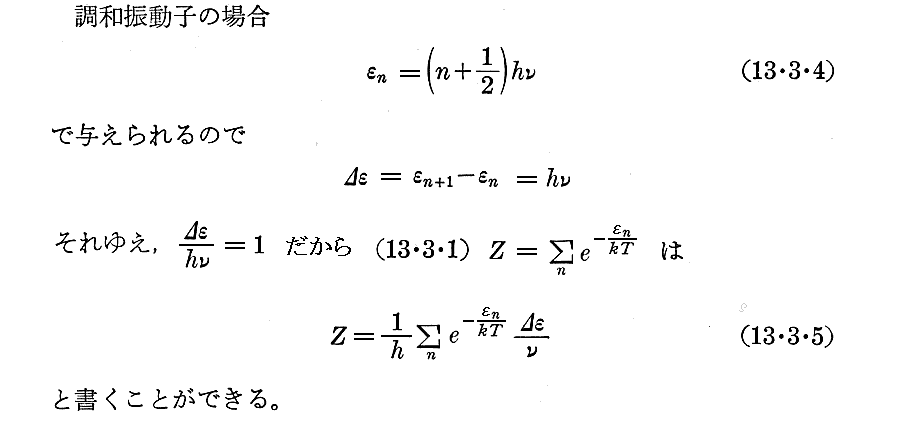
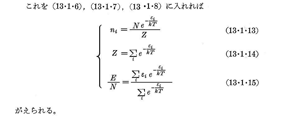
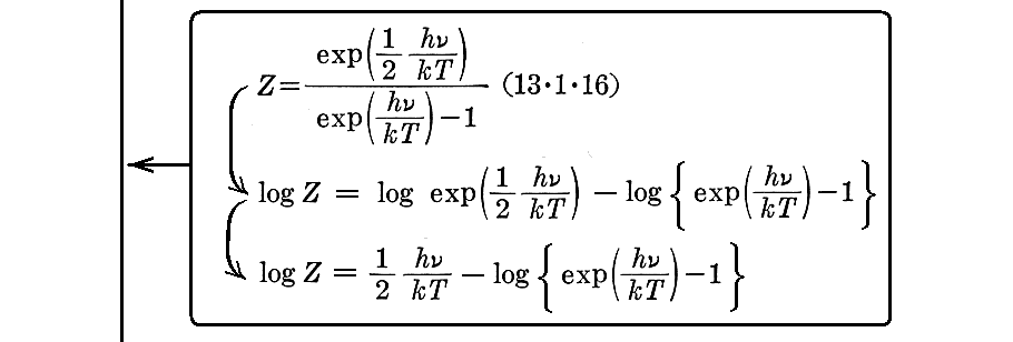
     (1)局所化された体系
     (2)局所化されていない体系
     (3)量子小正準集団
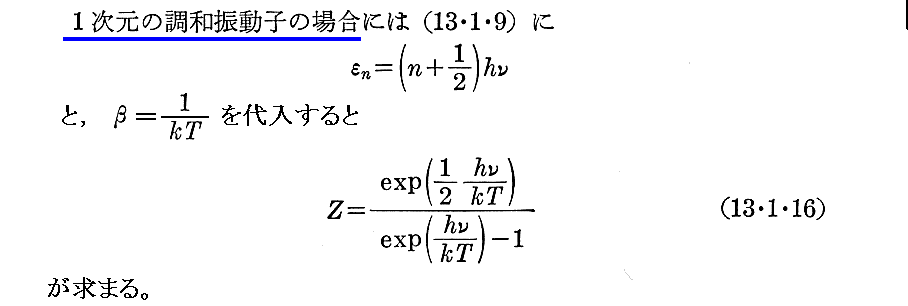
     (4)量子正準集団
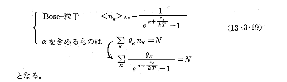
     (5)量子論の大正準集団熱
     (6)金属内電子の簡単な取り扱い

HOME  目次 1.局所系 2.非局所系 3.小正準 4.正準 5.大正準 6.金属内電子 END

(1)局所化された体系






補足説明1
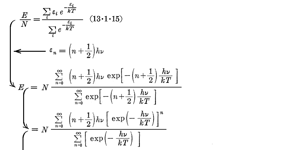
 ここで、 (i) と  のそれぞれが表す量の意味の違いを混同しないこと。
 (i) の はN個の調和振動子に付けた振動子を区別する背番号1〜N までの値をとる。
 一方  は 番目の量子状態にいる振動子の個数で  のどれもが 1〜N までの値を取り得る。ただしこちらの に付いては、後の注1)で述べる様に に置きかえて,ε とするのだが、この  は n=0〜∞ の値を取ることになる。

 下記の古典論第11章(3)はこちらです。

 上記は古典論の小正準集団(Microcanonical ensemble)分布の統計力学理論と同様に導かれる。



 下記(189ページ参照)第11章(3)3.です。






補足説明2
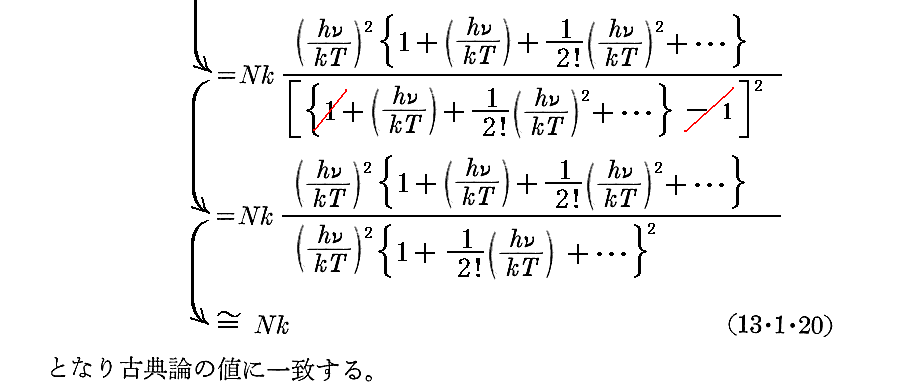
 上記の(13・1・18)式については,別稿「統計力学」2.(5)2.[補足説明1]と、別稿「統計力学の基本的な応用」3.(2)“固体の比熱”の(3.10)式を復習されたし。
 
 そのとき別稿「統計力学」1.(1)[補足説明1]には特に注意されたし。

補足説明3
 さらに補足します。
 上記の様に統計力学に於ける物理量(ここではE)の平均値を求めるときに、 状態和(分配関数)Z のlogをとった logZ偏微分をほどこしたものが利用されます。 このことは上記の導き方と以下の導き方を比較検討してみれば了解できる。
 すなわち、 logZ偏微分が利用されるのは、下記の (★) に示した 偏微分を利用する数学公式 が常に利用されるからです。





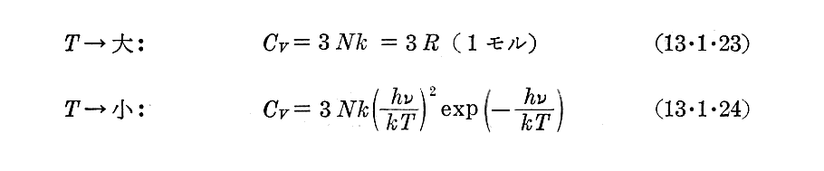
 古典論での比熱の計算式は第11章(4)4.を参照








 

HOME  目次 1.局所系 2.非局所系 3.小正準 4.正準 5.大正準 6.金属内電子 END

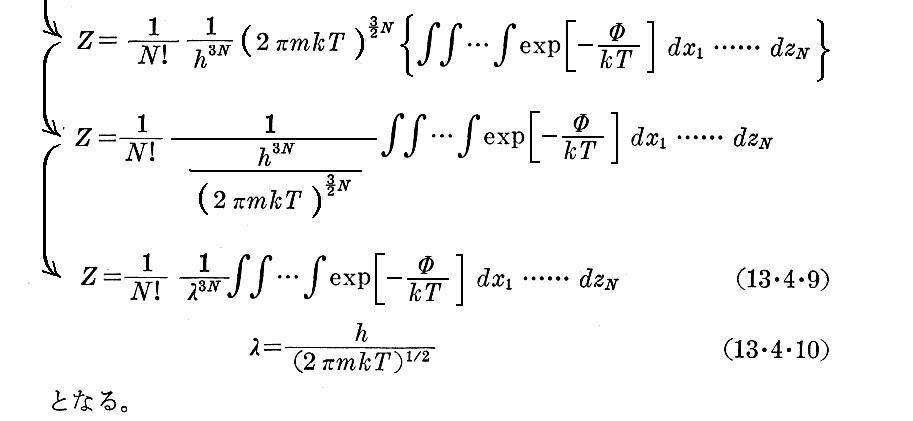
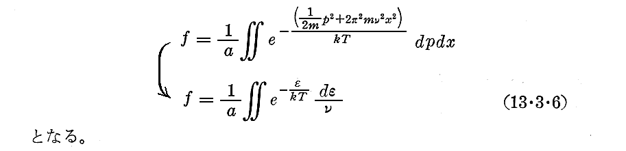
(2)局所化されていない体系






補足説明1
 Schro¨dinger方程式の詳細については、別稿「統計力学」1.(1)[補足説明1]にて説明した理由により、すべて省略する。以下の解の詳細についても同様です。
 本稿においては、その様なものであると了承して頂ければ十分です。

























  

HOME  目次 1.局所系 2.非局所系 3.小正準 4.正準 5.大正準 6.金属内電子 END

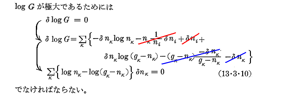
(3)量子小正準集団





 上記の証明は古典論の場合と全く同様にすれば良いので11.(3)2.を復習。








 





 古典統計で行った事は、 11.(3) あるいは 13.(1) を参照。







 
     以下に付いては、別稿「統計力学におけるラグランジュの未定乗数法」6. を御覧ください。







 
      古典統計で行った事は、 11.(3) あるいは 13.(1) を参照。

 (13・1・5) と (13・3・9),(13・3・14) の関係に付いては、別稿の江沢洋「シュレーディンガー小伝」3.“粒子の統計性” も参照されたし。
 




 バラメータ α、β の決定法に付いては、別稿の戸田盛和著「熱・統計力学」の「統計力学におけるラグランジュの未定乗数法」5.(2) あるいは 6.(2),(3) を御覧ください。

HOME  目次 1.局所系 2.非局所系 3.小正準 4.正準 5.大正準 6.金属内電子 END

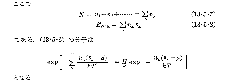
(4)量子正準集団




 上記の証明は古典論の場合と全く同様にすれば良いので11.(3)2.を復習。
















 

HOME  目次 1.局所系 2.非局所系 3.小正準 4.正準 5.大正準 6.金属内電子 END

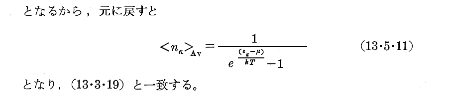
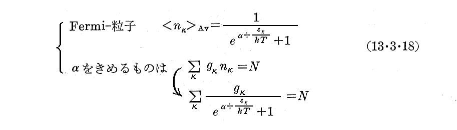
(5)量子論の大正準集団

















 

HOME  目次 1.局所系 2.非局所系 3.小正準 4.正準 5.大正準 6.金属内電子 END

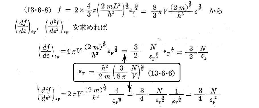
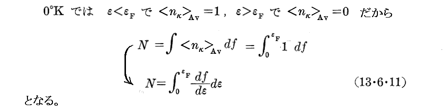
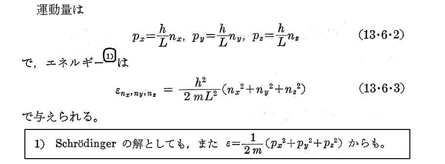
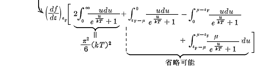
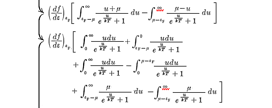
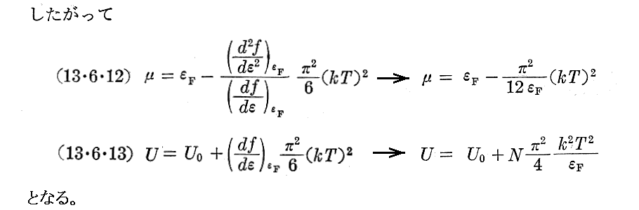
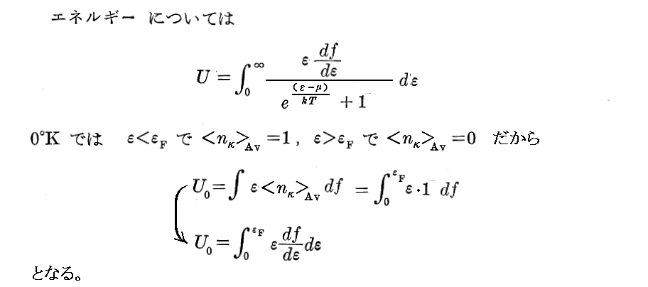
(6)金属内電子の簡単な取り扱い









































HOME  目次 1.局所系 2.非局所系 3.小正準 4.正準 5.大正準 6.金属内電子 END