HOME  1.気体分子分布 2.スターリング公式 3.最大確率(1)(2)(3) 4.速度分布 5.Maxwell分布(1)(2)(3) 6.光量子分布(1)(2)(3) END

統計力学におけるラグランジュの未定乗数法

 統計力学における“ラグランジュの未定乗数法”の使用例です。
 本稿は、戸田盛和著「物理入門コース7 熱・統計力学」岩波書店(1985年刊)第5章 の引用です。ただし、解り易くするために大幅に改変しています。式番号を付け替えているところもあります。
 未定乗数法そのもに関しては別稿「多変数関数の極値とラグランジュの未定乗数法」をご覧ください。

1.気体分子の位置分布






補足説明1
 このときN個の分子には番号が付いていて識別されている事に注意。
その為、N個の分子をそれぞれN1個,N2個、N3個、・・・、Nn個の組みに分ける方法の数は

となる。本文中の例に付いては

補足説明2
 Bose粒子の様に互いが識別できない場合は、一列に並べた区別できないN個の分子の間にN1,N2,N3,・・・ ごとに(n−1)個のしきりを入れる方法の数ですが、それはただの1通りとなる。

 


補足説明3
 ここも解りにくいので例で説明する。
 体積がそれぞれ V1,V2,V3,・・,V,・・,V,・・,V,・・・,V の箱の中に、互いに区別できる分子をそれぞれ N1,N2,N3,・・,N,・・,N,・・,N,・・・,N 個ずつ分配することを考える。
 このとき、各体積に分配する分子数が2個以上になると、分子が互いに区別できる場合には、入れ替えによる場合の数の増加に注意しなければ成りません。例えば

となります。上図の置く方法の数は、別稿江沢洋「シュレーディンガー小伝」3.“粒子の統計性”の表3.1に相当します。

更に例を続ける。

の27通りですが、この計算法は次図の並び替えを検討すれば解ります。

 いずれにしても、分子が互いに区別できるとした古典統計力学の場合

補足説明4 
 分子が互いに区別できない量子統計力学では、場合の数の数え方は以下の様になる。

 この置く方法の数は、別稿江沢洋「シュレーディンガー小伝」3.“粒子の統計性”の表3.2に相当します。
例を続ける。

更に例を続ける。

この例に付いて、下記の様に並び替えると計算メカニズムが見えてくる。

 つまり、Bose粒子の様に互いが識別できないときには、

 

  分子が互いに区別できるとした古典統計力学の場合に於いて、

補足説明5
 上記(5.5)式は、分子が互いに区別できるとした古典統計力学の場合です。

 補足しますと、(5.5)式の W(N,N,・・・Nn) は、別稿江沢洋「シュレーディンガー小伝」3.“粒子の統計性”の(3.12)式に相当します。
 
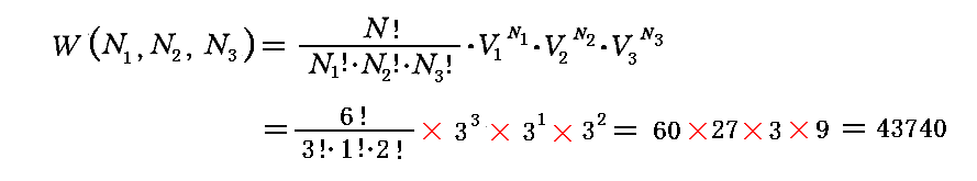
 例題として補足説明1で取り上げたもので説明する。すなわち、互いに区別できる 6個の分子 @ABCDE を三個の体積細胞 V,V ,V に N=3,N=1 ,N=2 の組み分けで分配する方法の数 W(N,N,N) を示す。ただし、三個の体積細胞は同体積で V=V=V=3 としている。

 以上をまとめると、分配する方法の数 W(N,N,N) は

通り となる。もちろん V,V ,V の体積が異なっていれば、それに応じた値が入ります。

補足説明6
 Bose粒子の様に分子が互いに識別できない量子統計力学の場合は、

となります。
 補足しますと、上式 W(N,N,・・・Nn) は、別稿江沢洋「シュレーディンガー小伝」3.“粒子の統計性”の(3.13)式に相当します。
 
 例題として補足説明2で取り上げたもので説明する。すなわち、互いに識別できない 6個の分子 ○○○○○○ を三個の体積細胞 V,V ,V に N=3,N=1 ,N=2 の組み分けで分配する方法の数 W(N,N,N) を示す。ただし、三個の体積細胞は同体積で V=V=V=3 としている。

 以上をまとめると、互いに識別できない 6個の分子 ○○○○○○ を三個の体積細胞 V=3,V =3,V=3 に N=3,N=1 ,N=2 の組み分けで分配する方法の数 W(N,N,N) は

通り となる。もちろん V,V ,V の体積が異なっていれば、それに応じた値が入ります。

 

  分子が互いに区別できるとした古典統計力学の場合に於いては、


 このことは、こちらの図でVをVにして、NをNに置き換えて考えれば明らかです。

1-Ex1


1-Ex2




 すなわち、互いに区別できる 4個の分子 @ABC を二つの体積細胞 V,V に分配する方法の数 W(N,N) は以下の様になる。ただし、二つの体積細胞は同体積で V=V=1 としている。

補足説明7
 体積の等しい2つの部屋に、N=4個の分子を分ける方法は上記の様に5通りですが、これは下記の様にして求まる。また、各W(N1,N2)の計算法は補足説明5と同じです。ただし、二つの体積細胞は同体積で V=V=1 としている。

となります。

補足説明8
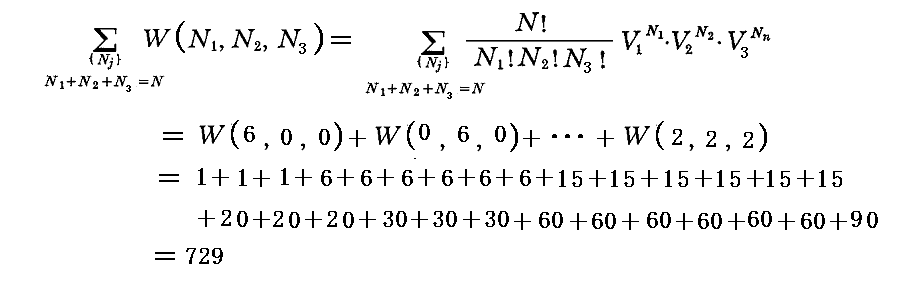
  補足説明1で利用した互いに識別できる N=6個の分子 を 3 個の部屋 にそれぞれN1個,N2個、N3個の【組みに分ける方法の数】 と、【分配する方法の数 W(N1,N2,N3)】 と、【分配の総数】 を求めておきます。三つの体積細胞は同体積で V=V=V3=1 であるとする

 すなわち、【組みに分ける方法の数】 は28通りとなります。
 更に、【互いに区別できる6個の分子 @ABCDE を3個の体積細胞 V,V,V3 に分配する方法の数 W(N1,N2,N3)】 は上図の右側に記載の値になる。ただし、三つの体積細胞は同体積で V=V=V3=1 としている。
 このとき【分配の総数】 は、

となりますが、これは 式(5.7) による計算値と一致します。

すなわち、【分配の総数】 は729通りです。

補足説明9
 更に補足しますと、 補足説明2で利用した互いに識別できない N=6個の分子 を 3 個の部屋 にそれぞれN1個,N2個、N3個の組みに分ける方法の数は、前記の互いに識別できる N=6個の分子 を 3 個の部屋 にそれぞれN1個,N2個、N3個の組みに分ける方法の数と同じ28通りです。
 
 何故なら、互いに区別できない6個の分子 ○○○○○○ を、それぞれN1個,N2個、N3個ずつ 3 個の体積細胞 V,V,V3 に分配する方法の数 W(N1,N2,N3) は、補足説明6で示した式により
 (三つの体積細胞が同体積で V=V=V3=1 としている場合)

となるからです。すなわち、下図の右側に記した様にW(N1,N2,N3)は総て =1 になる。

 すなわち、【組みに分ける方法の数】 は28通りとなります。
 更に、【互いに区別できない6個の分子 ○○○○○○ を3個の体積細胞 V,V,V3 に分配する方法の数 W(N1,N2,N3)】 は上図の右側に記載の様に すべて=1 となる。ただし、三つの体積細胞は同体積で V=V=V3=1 としている。
 その為。【分配の総数】 は、【組みに分ける方法の数】 と同じ値28通り となるのです。

 

HOME  1.気体分子分布 2.スターリング公式 3.最大確率(1)(2)(3) 4.速度分布 5.Maxwell分布(1)(2)(3) 6.光量子分布(1)(2)(3) END

2.スターリングの公式






2-Ex1

補足説明1
 (5.5)式自然対数を取ったlogeの表現(5.21)式が何故重要かと言いますと、(5.21)にボルツマン定数kBを乗じた

は、N個の多数の粒子が空間的に分布しており、その分布の状況でその系の状況を表すとき、その系の“エントロピー値”を表すからです。

補足説明2
  そのとき、物理的対象がN個の理想気体からなり、それが適当な熱浴に接していて、その系中の理想気体が様々な速度で熱運動している様な系の場合、N個の粒子を分配する場合の数を数える体積領域は速度空間の体積領域になります。
 すなわち、上記Wの表現(5.5)式から第4章の(5.59)式に置き換えられ、logeWの表現(5.21)式から第4章の(5.61)式に置き換えられなければなりません。
 4.“気体分子の速度分布” に於ける議論はその観点からの議論です。
 
 この当たりの議論は、別稿「プランクの熱輻射法則」9.(1)2.などを復習されて下さい。

 

HOME  1.気体分子分布 2.スターリング公式 3.最大確率(1)(2)(3) 4.速度分布 5.Maxwell分布(1)(2)(3) 6.光量子分布(1)(2)(3) END

3.気体分子の最大確率分布

(1) 最大確率分布とは


 5-1節の例題2はこちらです。また。1.補足説明8で取り上げた3個の容器に6個の分子を分布する例では、3個の容器に2個ずつの分子が分布する分配方法の数W(2,2,2)=90 が最大になる場合て゜した。




 5-1節の例題2や。1.補足説明8ではその様にした。




 実際、5-1節の例題2ではN1=N2=N/2で極値 W(2,2)=6 を取った。
 また。1.補足説明8で取り上げた3個の容器に6個の分子を分布する例では、3個の容器に2個ずつの分子が分布する分配方法の数W(2,2,2)=90 が最大極値になった。
 



 

HOME  1.気体分子分布 2.スターリング公式 3.最大確率(1)(2)(3) 4.速度分布 5.Maxwell分布(1)(2)(3) 6.光量子分布(1)(2)(3) END

(2) 変数が 2個(N1,N2)の場合 の“ラグランジュの未定乗数法”

 極値を取る座標値を求める条件式(5..36)

と、座標の変分が満たすべき条件式(5..38)

を連立させて解くには次の様な方法もある。
 このような方法を“ラグランジュの未定乗数法”と言う。

 

HOME  1.気体分子分布 2.スターリング公式 3.最大確率(1)(2)(3) 4.速度分布 5.Maxwell分布(1)(2)(3) 6.光量子分布(1)(2)(3) END

(3) 変数が n個(N1,N2,・・・,Nn)の場合 の“ラグランジュの未定乗数法”



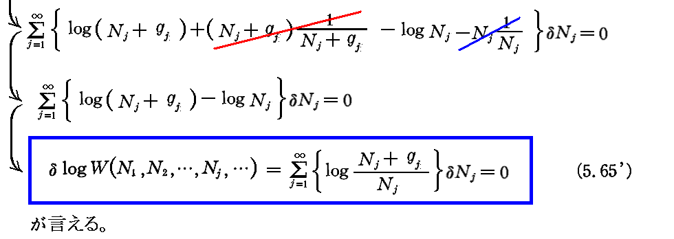
   この説明は不十分で解りにくい。この方法で極値が求まり、その極値を取る時の(N1,N2,・・・,N)の値が求まるメカニズムの詳細については、別稿「多変数関数の極値とラグランジュの未定乗数法」3.(2)をご覧下さい。

 

 以下の[例題1]は、変数(N1,N2,・・・,Nnについての一つの条件式

のもとで、関数

極値(最大値)と、その極大値を取る変数値(N1,N2,・・・,Nnを求める問題で、一つの未定乗数λを導入した“ラグランジュの未定乗数法”が用いられる。
 ここで、変数の数がn個(N1,N2,・・・,Nn)である事に注意されたし。だからn次元空間の関数 f(N1,N2,・・・,Nn) に対する極値問題です。

3-3-Ex1

    下記で利用する2.例題1の(5.21)式はこちらを参照。





 

HOME  1.気体分子分布 2.スターリング公式 3.最大確率(1)(2)(3) 4.速度分布 5.Maxwell分布(1)(2)(3) 6.光量子分布(1)(2)(3) END

4.気体分子の速度分布
  変数が無限個(N1,N2,・・・,N,・・・)の場合で、
  二つの条件式がある時の“ラグランジュの未定乗数法”

 ここは、変数(N1,N2,・・・,Nj,・・・)についての二つの条件式

のもとで、関数

極値(最大値)を求める問題で、二つの未定乗数αβを導入した“ラグランジュの未定乗数法”を用いる。
 すなわち、気体分子が運動エネルギー ε を持つものが N個 であるとして、上記の二つの条件式の元で logW(N,N,・・・N,・・・) が最大となる(N,N,・・・N,・・・)を求める問題です。
 
 そのとき、下記(5.59)式 W(N,N,・・・N,・・・) は気体分子が運動エネルギー値が ε である細胞にN個を、他の細胞には(N,N,・・・N,・・・)個を分配するやり方の総数を表しています。そのとき気体分子を分配する (速度空間に於ける)各細胞の体積 は球殻状にしてε 値に応じて変化するようにしても良いし、本稿のように立方体状の一定値としても良い。
 
 更に補足しますと、(5.59)式 W(N,N,・・・N,・・・) は、別稿江沢洋「シュレーディンガー小伝」3.“粒子の統計性”の(3.12)式に相当します。
 
 ここでは、変数の数が無限個(N1,N2,・・・,N,・・・)である事に注意されたし。すなわち無限次元空間の関数 f(N1,N2,・・・,N,・・・) に対する極値問題です。






 ここで注意して欲しいのですが、分布細胞数が無限大に成っても、Nε1+Nε2+・・・+Nε・・・=E の条件式があるために、速度がある程度以上大きな速度空間領域の細胞に分子が分布することは有りません。

4-(5.59)
以下の(5.59)式→(5.61)式の手順は2.例題1と同じですから、そこを復習されたし。



 (5.59)式については、 1.[補足説明3][補足説明5]や、[補足説明8]のW(N,N,・・・Nn・・・)を参照。


 



4-(5.68)








補足説明1
 先ほど2.[補足説明1]で、(5.59)式自然対数を取ったlogeの表現(5.61)式にボルツマン定数kBを乗じた

は、N個の多数の粒子が様々な速度でもって飛び回り、空間内に分布している系の“エントロピー値”を表すことを注意しました。
 このことを前面に出して、本稿の内容を議論したものがあります。それが別稿「プランクの熱輻射法則」9.(1)2.〜4.です。丁度良い機会ですから、そこの説明との対応関係を確認しておきます。
 
 まず、プランクの理論では要素領域dσはすべて同じ大きさであるとしていますが、これは本稿の

に相当するものが j の違いにかかわらずすべて同一の ΔvxΔvyΔvz とする事です。
 プランクは要素領域dσを

としていますが、平衡状態では分子の空間的な分布は一様になり座標(x,y,z)に依存しなくなることがわかりますから、ここでは最初から dx・dy・dz の次元は省略して考えます。そのため

とすれば良い。
 そうすると「プランクの熱輻射法則」9.(1)2.の式

は本稿の表現と下記のように対応します。

そうすると、これ以下の展開はすべて本稿と同じである事が了解できます。

 Planckの様に最初からエントロピーSが極大に成る(N,N,・・・N,・・・)を求める問題として論じた方が、最後に求める関係式(5.92) β=1/kT の厳密な導出には便利です。この事については、別稿「プランクの熱輻射法則」9.(1)5.を参照されたし。

 

HOME  1.気体分子分布 2.スターリング公式 3.最大確率(1)(2)(3) 4.速度分布 5.Maxwell分布(1)(2)(3) 6.光量子分布(1)(2)(3) END

5.マックスウェルの速度分布則 (未定乗数 α と β の決定)

(1) 分布関数の導出




補足説明1
 Maxwellは、1860年の論文「気体の動力学的理論の説明」2.(1)に於いて初めて(発表は1859年の学会にて)この分布則を導いたのですが、彼は、その後何種類かの別の方法で導き直しています。
 本稿で説明されているのは、その別の導出法の一つです。


 

HOME  1.気体分子分布 2.スターリング公式 3.最大確率(1)(2)(3) 4.速度分布 5.Maxwell分布(1)(2)(3) 6.光量子分布(1)(2)(3) END

(2) 未定乗数 α と β の決定

補足説明1
 未定乗数αβは前章の(5.71)、(5.72)式を用いて求めるのですが、これらを熱力学的考察と結びつけて絶対温度Tボルツマン定数kで表すことができる
 
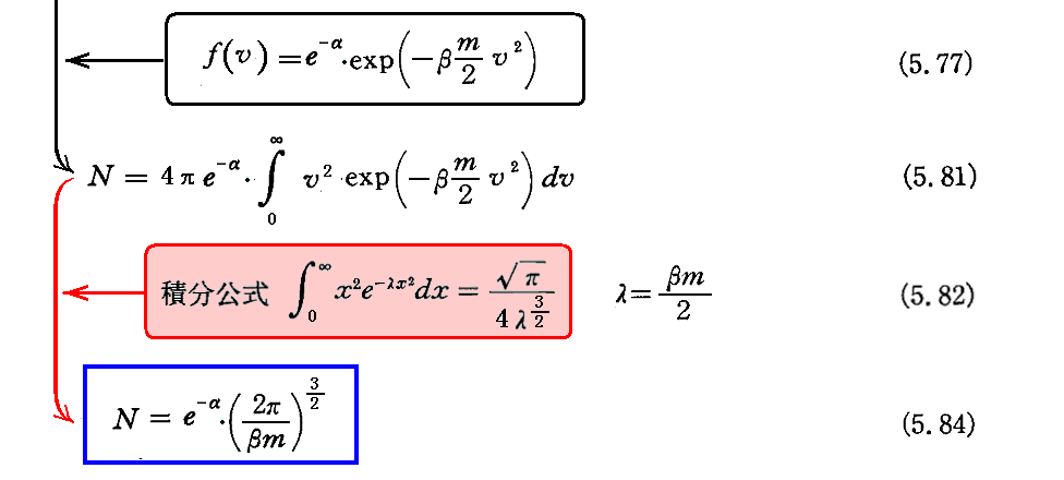
 以下で用いる積分公式(5.82)、(5.86)式に付いては別稿「マクスウェルの速度分布則1“気体の動力学的理論の説明”(1860年)」2.(2)などを参照されたし。 


補足説明2
 以下の(5.85)式から(5.88)式への式変形については別項「気体の動力学的理論の説明」3.(1)[補足説明3]などを参照されたし。
 これは拡散現象の積分などでも使われます。それについては別稿「Einsteinのブラウン運動理論(1905年) と Perrinの検証実験」2.§4[補足説明5]などをご覧下さい。



補足説明3
 ここは、下記の説明の方が解り易いかも知れません。
 分子速度の方向は問題にしないで、速さがvとv+dvの間にある分子数を求める。そのためにはf(vx,vy,vz)dvxdvydvzvとv+dvの間にある部分についてvx,vy,vzの積分をすればよい。

上図の球殻の体積は4πv2dvであるから、
 (5.73)を考慮すれば、(5.71)は (5.76)(5.77) を用いて


 同様に(5.72)は (5.74)(5.76)(5.77) を用いて


の様に変形できる。


5-2-(5-91)

 上記の(5.91)式に付いては別稿「音速の理論2」1.(2)などを復習されたし。

補足説明4
 結局、 gj を dvxdvydv に置き換えると εj が具体的に vx,vy,v  によって表現でき、積分可能になる。そのため、 (5.71) と (5.72)式 が未知数 α と β の連立方程式として解ける。
 未定定数 α と β の決定法については、別稿のMaxwell著「気体の動力学的理論の例示」6.も参照されたし。
 関係式(5.92) β=1/kT の厳密な導出法は、別稿「プランクの熱輻射法則」9.(1)5.を参照されたし。

 

HOME  1.気体分子分布 2.スターリング公式 3.最大確率(1)(2)(3) 4.速度分布 5.Maxwell分布(1)(2)(3) 6.光量子分布(1)(2)(3) END

(3) マックスウェルの速度分布則

 前節で得られた未定乗数 α と β を適用すると、“マックスウェルの速度分布則” (5.77)式

となる。

補足説明1

 その為、分子速度の方向は問題にしないで、速さがvとv+dvの間にある分子数を求めるには、f(vx,vy,vz)dvxdvydvzvとv+dvの間にある部分についてのvx,vy,vzの積分値にすればよい。

上図の球殻の体積は4πv2dvであるから、この球殻に含まれる分子数は

となる。
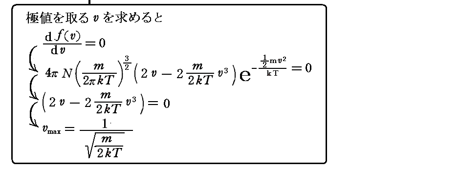
 この関数のグラフは下図のようになる。f(v)が極大を取るvの値はdf(v)/dv=0より求まる。

補足説明2
 今日解っている分子質量を用いて、幾つかの実在気体の速度分布を縦軸を)/、横軸をに取って図示してみる。
その際、 ボルツマン定数kB=1.381×10-23J/K  を用いる。
 
水素分子 m=2.0÷(6.02×1026)kg

 
ヘリウム m=4.0÷(6.02×1026)kg

 
窒素分子 m=28.0÷(6.02×1026)kg

 
アルゴン m=40.0÷(6.02×1026)kg


 ここで、気体分子の運動速度各気体の音速程度となっている事に注意。さらに、音速の理論値が量子統計ではなく、古典統計力学で計算できる事は、別稿「音速の理論2(分子速度と比熱比)」2.(3)を参照して下さい。

 

HOME  1.気体分子分布 2.スターリング公式 3.最大確率(1)(2)(3) 4.速度分布 5.Maxwell分布(1)(2)(3) 6.光量子分布(1)(2)(3) END

6.光量子のエネルギー分布
  プランクの熱輻射分布則 (未定乗数 α と β の決定)
  変数が無限個(N1,N2,・・・,N,・・・)の場合で、
  二つの条件式がある時の“ラグランジュの未定乗数法”

 ここは、変数(N1,N2,・・・,Nj,・・・)についての二つの条件式

のもとで、関数

極値(最大値)を求める問題で、二つの未定乗数αとβを導入した“ラグランジュの未定乗数法”を用いる。
 すなわち、光量子がエネルギー ε=hν を持つものが N個 であるとして、上記の条件式の元で logW(N,N,・・・N,・・・) が最大となる(N,N,・・・N,・・・)を求める問題です。
 
 そのとき、上記式 W(N,N,・・・N,・・・) は、光量子がエネルギー値が ε =hν である細胞にN個を、他の細胞にはそれぞれ(N,N,・・・N,・・・)個を分配するやり方の総数を表しています。そのとき光量子を分配する (エネルギー空間に於ける)各細胞の体積 はε の値値に応じて増加していく事に注意してください。また Δε=hΔν としています。
 
 更に注意しますと、各細胞に分配する光量子はお互いに区別できないBose粒子ですから式 W(N,N,・・・N,・・・) は、別稿江沢洋「シュレーディンガー小伝」3.“粒子の統計性”の(3.13)式を用いなければなりません。
 
 ここでは、変数の数が無限個(N1,N2,・・・,N,・・・)である事に注意されたし。すなわち無限次元空間の関数 f(N1,N2,・・・,N,・・・) に対する極値問題です。

HOME  1.気体分子分布 2.スターリング公式 3.最大確率(1)(2)(3) 4.速度分布 5.Maxwell分布(1)(2)(3) 6.光量子分布(1)(2)(3) END

(1) 分布関数の導出








 (5.59’)式については、 1.[補足説明4][補足説明6]や、[補足説明9]のW(N,N,・・・Nn・・・)を参照。








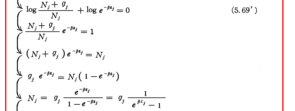
 光量子の分布に対しては、条件式(5.66’)は意味を持たないので、条件式(5.67’)のみ適用した一つの条件式の未定乗数法を採用する。
6-1-(6.68)  以下の展開に於いてこちらの注意も参照されたし。



 上記(5.68’)式、(5.69’)式、(5.70’)式は、4.気体分子の速度分布の(5.68)式、(5.69)式、(5.70)式に対応するものです。
 このとき(5.68’)式、(5.69’)式、(5.70’)式は、粒子が互いに区別できないBose粒子に対して得られたものであり、(5.68)式、(5.69)式、(5.70)式は、粒子が互いに区別できる古典的粒子に対して得られたものであることに注意してください。
 すなわち、(5.68’)式と(5.68)式の違いが、(5.70’)式と(5.70)式の違いを生じる。そして(5.70’)式こそ真に正しいPlanckの熱輻射分布則です。実際、u(T,ν)=(N/V)×hν であることを考慮すれぱ、(5.70’)式は別稿『プランクの熱輻射法則(1900年)』 8.[補足説明5] に於ける《輻射エネルギー密度の振動数分布則》に一致する事が解ります。
 そして、(5.70)式は低温度・高振動数(短波長)領域でしか正しく無いWienの熱輻射分布則です。
  
 ここで注意して欲しいのは、振動数が大きくて温度が低いときの輻射場については“Wienの熱輻射分布則”が正しい事です。つまり、振動数が大きくて温度が低いときにはBose粒子を古典的粒子として取りあっかえるということです。

 

HOME  1.気体分子分布 2.スターリング公式 3.最大確率(1)(2)(3) 4.速度分布 5.Maxwell分布(1)(2)(3) 6.光量子分布(1)(2)(3) END

(2) 未定乗数 β の決定

 ここで、未定乗数のβは以下の様にして決定される。
 まず、条件式(5.62’)を用いると





が得られる。
 さらに、条件式(5.64’)を用いると





が得られる。
 二つの条件式から以上の様にして得られた二つの式

を、二つの未知数 “1/β” と “定数” に対する連立方程式と見なして解く。

が得られる。

HOME  1.気体分子分布 2.スターリング公式 3.最大確率(1)(2)(3) 4.速度分布 5.Maxwell分布(1)(2)(3) 6.光量子分布(1)(2)(3) END

(3) 熱力学第二法則と絶対温度の導入(Sの表現式と未定乗数 β の決定)

 Boltzmann-Planckによるエントロピー表現式に、エントロピーSが極大値を取る時に実現される各要素領域dσに於ける分子数(N・dσ)の表現式を代入する。




となる。

 このエントロピーSが極大値を取る時に実現されるエントロピーSの表現式を用いる。
 熱力学第二法則により、
 
であるから
 
となる事が解る。

 更に、上式を前節の結論に適用すれば

となる。
 そして、u(T,ν)=(N/V)×hν であることを考慮すれぱ、(5.70’)式は別稿『プランクの熱輻射法則(1900年)』 8.[補足説明5] に於ける《輻射エネルギー密度の振動数分布則》に一致する事が解ります。

HOME  1.気体分子分布 2.スターリング公式 3.最大確率(1)(2)(3) 4.速度分布 5.Maxwell分布(1)(2)(3) 6.光量子分布(1)(2)(3) END