HOME  目次 1.問題 2.気体論 3.Maxwell分布 4.分布結論 5.分布実験 6.衝突 7.H定理 8.定理吟味 END

第10章 統計理論の問題

 これは、原島鮮著「熱力学統計力学」倍風館(1966年刊)の第10章 からの引用です。ただし、解りやすくする為に少し改変しています。

10.統計理論の問題
     (1)統計理論の問題
     (2)気体分子運動論
     (3)Maxwell分布の導出
     (4)Maxwell分布からの結論
     (5)Maxwell分布の実験的検証
     (6)分子衝突の力学
     (7)BolzmannのH定理
     (8)H定理の吟味
11.Liouvilleの定理と各種集団(アンサンブル)
12.量子統計
13.局所体系と非局所体系

HOME  目次 1.問題 2.気体論 3.Maxwell分布 4.分布結論 5.分布実験 6.衝突 7.H定理 8.定理吟味 END

(1)統計理論の問題


















 上記 注1) には翻訳版が在ります。若野省己訳『気体論の講義』丸善出版(2020年刊)

 






 





 

HOME  目次 1.問題 2.気体論 3.Maxwell分布 4.分布結論 5.分布実験 6.衝突 7.H定理 8.定理吟味 END

(2)気体運動の簡単な理論

1.Joule(1851年), Kro¨nig(1856年) の理論

[補足説明1]
 Joule(1851年) と Kro¨nig(1856年) の理論についての、もう少し詳しい説明は別稿「音速の理論2(分子速度と比熱比)」3.(4)と(5)をご覧下さい。さらに別稿山本義隆著「熱学思想の史的展開」第28章第Y節も参照されて下さい。
 あるいは別稿「統計力学」1.(4)1.をご覧下さい。






 

2.Stefan と Boltzmannの 理論

[補足説明1]
 ここのもう少し解り易い説明は別稿「統計力学」1.(4)2.をご覧下さい。










 上記の、「Einsteinのブラウン運動理論(1905年) と Perrinの検証実験」2.§4.[補足説明5]はこちら。












練習問題





 

HOME  目次 1.問題 2.気体論 3.Maxwell分布 4.分布結論 5.分布実験 6.衝突 7.H定理 8.定理吟味 END

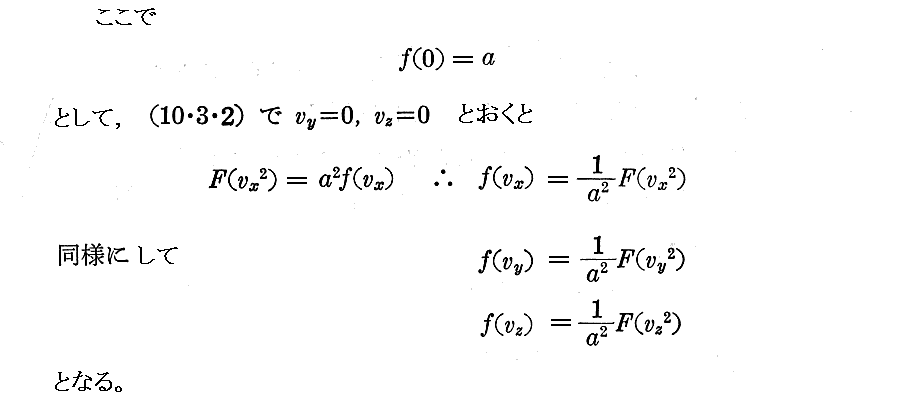
(3)Maxwell分布の導出





[補足説明1]
 以下の説明は、Maxewllの原論文をご覧下さい。以下の引用文は原論文に従って少し改変しています。












[補足説明2]
 積分公式 1) に付いては別稿を復習されたし。







 

HOME  目次 1.問題 2.気体論 3.Maxwell分布 4.分布結論 5.分布実験 6.衝突 7.H定理 8.定理吟味 END

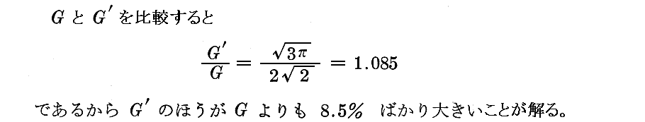
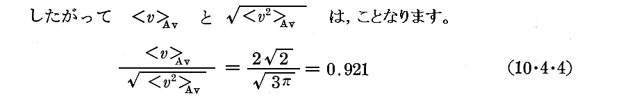
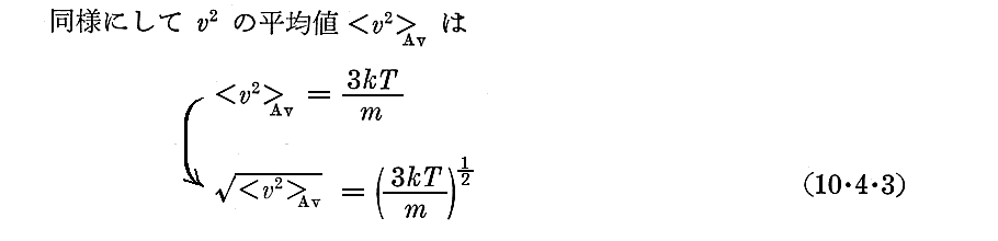
(4)Maxwell分布からの結論

1.速さの分布

[補足説明1]
 以下の説明は、Maxewllの原論文3.(1)を復習しながらご覧下さい。









 

2.小さい穴からの分子噴出



 10・2 問題5 はこちらです。







 

HOME  目次 1.問題 2.気体論 3.Maxwell分布 4.分布結論 5.分布実験 6.衝突 7.H定理 8.定理吟味 END

(5)Maxwell分布の実験的検証



[補足説明1]
 ここは別稿「原子線による速度分布の検証」も参照されたし。特にそこで引用しているJeansの著書の記述を参照されたし。

 

HOME  目次 1.問題 2.気体論 3.Maxwell分布 4.分布結論 5.分布実験 6.衝突 7.H定理 8.定理吟味 END

(6)分子衝突の力学

1.分子の衝突の力学







 

2.Maxwellの分布則














[補足説明1]
 ここは、Boltzmannの元文献「気体論の講義」を読んでも、極めて難解で理解が難しい所です。それで、テル・ハール著「熱統計学」みすず書房(1960年刊)の該当部分を別稿で引用しておきますので参照されてください。。

 

HOME  目次 1.問題 2.気体論 3.Maxwell分布 4.分布結論 5.分布実験 6.衝突 7.H定理 8.定理吟味 END

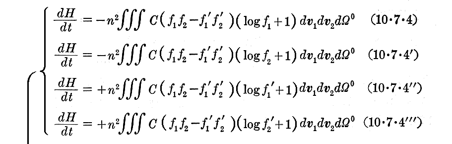
(7)BolzmannのH定理










 

HOME  目次 1.問題 2.気体論 3.Maxwell分布 4.分布結論 5.分布実験 6.衝突 7.H定理 8.定理吟味 END

(8)H定理の吟味


 



 







 

HOME  目次 1.問題 2.気体論 3.Maxwell分布 4.分布結論 5.分布実験 6.衝突 7.H定理 8.定理吟味 END