HOME  52波動 53.長波 54.表面波 55.定常波 56.群速度 57.表面張力波 58.勢力伝達 59.トロコイド  参考文献

波動 (友近晋「流体力学」1940年刊より引用)

友近晋著「流体力学」(1940年刊)第8章“波動”の引用です。ただし、理解しやすくする為に、かなり改変しています。別稿「水の波」や、Sommerfeld「波動論」などと比較しながら読まれると、互いに至らないところを補い合って理解が進みます。

第8章 波動

52. 波動の一般的性質

.波動とは





 

.波動方程式とその解






 

.定常波と進行波





 本節で利用している三角関数の加法定理や和を積にする公式は別稿「三角関数の公式(図的理解)」を参照。

 

HOME 52波動 53.長波 54.表面波 55.定常波 56.群速度 57.表面張力波 58.勢力伝達 59.トロコイド  参考文献

53. 浅い液体における長波

.非回転的な運動


 上記ピンク色四角の囲み記述は“ラグランジュの渦定理”の事を言っている。このことに付いては別稿「二次元・非圧縮性・完全流体の力学」3.(3)を復習されて下さい。

 

.長波の運動方程式と連続方程式

 ここは、別稿「波動方程式と一般解」2.(4)も参照されたし。



[補足説明]
 上記の a/τ の部分は回転運動の加速度は一般に rω で表されることを利用しています。

このことは、単振動の様な往復運動に付いても回転運動と同じ様に見なせます。


 “運動方程式”については、別稿「二次元・非圧縮性・完全流体の力学」1.(2)3.を復習。










 

.長波における流体粒子の運動








 上記 u∝f(x-ct) の説明については別稿「波動方程式と一般解」3.(5)も復習されて下さい。

 

HOME 52波動 53.長波 54.表面波 55.定常波 56.群速度 57.表面張力波 58.勢力伝達 59.トロコイド  参考文献

54. 表面波

.速度ポテンシャルと境界条件



 上記ピンク色アンダーラインの部分は“ラグランジュの渦定理”の事を言っている。このことに付いては別稿「二次元・非圧縮性・完全流体の力学」3.(3)を復習されて下さい。
 また、そのとき(54.1)式が成り立つことは別稿「二次元・非圧縮性・完全流体の力学」4.(2)を復習されたし。

 上記の「二次元・非圧縮性・完全流体の力学」3.(4)3.



 上記の「二次元・非圧縮性・完全流体の力学」1.(4)2.



 

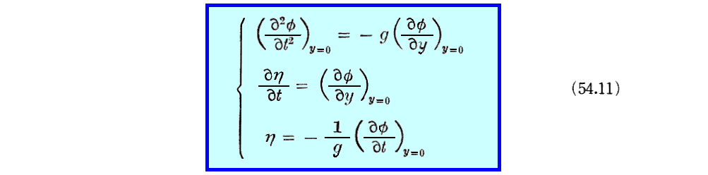
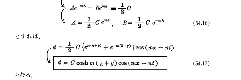
.水底が平らな場合の表面波

  【速度ポテンシャル:φ(x,y,t)】





 
  【伝播速度:c(λ)】






 上記の極限値に付いては、双曲線関数のグラフを参照されたし。

補足説明1
 第62図の c(λ)曲線 のすべての部分が、ここの表面波の議論に適用できるわけではありません。(54.20)式を求めるとき用いた仮定・近似手法から、図中の曲線の一部の部分が適用可能であるだけです。
 このことに付いては別稿「群速度と位相速度」4.§23.3.をご覧下さい。

 
  【波形:η(x,t)】



 
  【流体粒子の速度:(u(x,y,t),v(x,y,t))】


 上式の不等号>の向きは、双曲線関数のグラフを参照されたし。

 このことの意味は、次節で説明する、流体粒子の運動軌跡と“進行波”の波高ηとの関連を示す図から読み取ることができます。

 

.表面波における流体粒子の軌跡





補足説明1
 上図について補足します。図中に1/4周期後の波の位置を灰色線で示しているが、これは表面の流体粒子の運動とリンクさせると図の位置まで進んでいなければならないと言うことです。しかし実際には1/4周期で波が進む量はλ/4ですから図に示した位置まで進みません。つまり、ここの議論の近似で求めた波動の様子を示す関数は完全に正しいわけではありません。
 これらの解関数は、元々自由表面の振幅が波長に比べて十分小さいという条件の元で得られた近似的な方程式系と境界条件式から得られたものです。更に、方程式を解くときにここで説明した様な近似をしています。だから上記の齟齬(矛盾)が生じるのもやむを得ません。
 上図に於いて波長はそのままにして、振幅が小さい場合のグラフを描きなおしてみれば解るように、その場合には上記の齟齬(矛盾)は目立たなくなります。
 実際、自由表面の振幅が波長に比べて十分小さいという条件を満たした、より現実的な状況の正確なグラフを描いてみると下図の様になります。

 実際の波の移動に伴う 【流体粒子軌跡と位相伝播を示す写真】 は別稿「群速度と位相速度」4.§24.4.Fig.39bを参照されたし。
 
 次に、波長λと振幅aは同じだが水深を1mと浅くして、長波に近づけた時の様子を示す。波の伝播速度(位相速度)cは遅くなるが、周期は長くなるので流体粒子の軌跡は横に長くなる。

流体粒子の軌跡は別稿「波動方程式一般解」3.(5)で示した図に近づいて行くことが解る。

 

.特別な場合の表面波







補足説明1
 上の第64図中の灰色線で示した1/4周期後の波の位置の正確性に付いても先ほどの[補足説明1]で説明した事情があります。これは表面の流体粒子の運動とリンクさせると図の位置まで進んでいなければならないと言うことですが、実際には1/4周期で波が進む量はλ/4ですから図に示した位置まで進みませんので、この図には矛盾があります。
 この場合も、先ほどと同じで、ここの解関数は、自由表面の振幅が波長に比べて十分小さいという条件の元で得られた近似的な方程式系と境界条件式を、更に近似的に解いて得られたものだから上記の齟齬(矛盾)が生じるのです。
 ここの場合にも、上図に於いて波長はそのままにして、振幅が小さい場合のグラフを描きなおしてみれば解るように、その場合には上記の齟齬(矛盾)は目立たなくなります。
 実際、自由表面の振幅が波長に比べて十分小さいという条件を満たした、より現実的な状況の正確なグラフを描いてみる。下図は、水深を40m、波長λを20m、振幅aを0.2mとした場合です。

 

HOME 52波動 53.長波 54.表面波 55.定常波 56.群速度 57.表面張力波 58.勢力伝達 59.トロコイド  参考文献

55. 定常波

.定常波の速度ポテンシャル





 

.定常波における流体粒子の軌跡




[補足説明1]
 上述のように、“流線”が時間的に変化しないのは、“定常波”の場合です。進行波”の場合は、別稿「群速度と位相速度」4.§24.4.[補足説明2]で説明しているように、“流線”は時間的に変化します。このことの意味は解りにくいので補足します。
 
 (55.8)式は様々な(x,y)座標における流体粒子の一周期の往復運動が下図の棒状の線分で表わされることを示している。“定常波”については、この往復運動を示す棒線の分布(その方向や長さ)が時間が経っても変化しないのです。この棒状の線分を連続的に繋いで行くと“流線”が得られますが、その流線が時間的に変化しない事を意味します。

 上図の棒状線分は流線の一部を表しているだけですが、連続的な流線曲線を表す“流線関数”(流れ関数)を求める事もできます。別稿「水の波」§35..3.で説明した様に、【複素速度ポテンシャル】を用いれば良いのです。そのやり方に付いては、そこで説明していますから、ここでは省略します。
 
 一方、それに対して進行波”の場合は(55.8)式が(54.30)式に代わりますので、上図の棒状線分の分布状況が54.3.[補足説明1]のグラフの様に楕円状軌跡の分布になります。
 この楕円状軌跡を様々な(x,y)座標に分布させてさせてみても、流線の様子を読み取ることはできません。それで時間を固定して、短い露光時間で流体粒子(水中に光を反射する粒子を分散させて)の写真を撮ります。露光時間が短いので、上記の楕円状軌跡の上を動いている流体粒子の速度ベクトルの分布状況を写真に撮ることになります。
 その様子を示すのが別稿「群速度と位相速度」4.§24.4.Fig.39aの写真です。

 これは、“進行波”のある瞬間における流体粒子の移動方向が読み取れる“流線”の様子を示しています。それを図示したのが、そこのFig.38です。

 この図に於いて、次の2点に注意して下さい。
 Fih.38の左側の図はある瞬間の流線であって、進行波”の場合には、波の進行に伴って流線図も右側の図の様に進んでいきます。実際(x,y)座標を固定して、その位置を通過する流線の黒線→青線→赤線の方向が変化していく様子を確認して見て下さい。
 また、“流線”の傾斜が水平となる位置は波の頂と底の位置でであり、“流線”垂直になるのは頂と底の中間の位置です。これは後に第65図で示す“定常波”の場合と異なります。








 

HOME  52波動 53.長波 54.表面波 55.定常波 56.群速度 57.表面張力波 58.勢力伝達 59.トロコイド  参考文献

56. 群速度

.群速度とは






補足説明1
 上記(56.5)式についてSommerfeld§26.3.の説明を採録して補足ましす。
 この式は位相速度c(λ)を変数λで表した関数曲線の接線の直線方程式を表しています。その直線が縦軸を切る値が群速度Uです。

 

.群速度の例(表面波)




 上記の特別な場合の(56.7)、(56.8)式に付いては別稿「水の波」§37.2.[補足説明2]を参照されたし。

 

HOME  52波動 53.長波 54.表面波 55.定常波 56.群速度 57.表面張力波 58.勢力伝達 59.トロコイド  参考文献

57. 表面張力の波

.表面張力とは







 上記の説明はなかなか解りにくいところです。別稿「水の波」§38.1.も参照されてください。

 

.自由表面の境界条件






 

.自由表面の連続方程式



 

.表面張力波の伝播速度








補足説明
 上記具体例の計算に付いては別稿「群速度と位相速度」4.§25.3.を参照されたし。これが、水面上でよく観測される“表面張力波”(さざ波)の典型的な状況です。
 実際に洗面器に水を張ってその表面に息を吹きかけたとき、水面に生じる“さざ波”“波長”“伝播速度”が上記の値程度になる事を確かめて見られたし。

 

.表面張力波の群速度


 上記(57.22)式の導出計算については別稿「水の波」§38.4.を参照されたし。

 上記の特別な場合の(57.23)、(57.24)式に付いては別稿「水の波」§38.4.[補足説明1]を参照されたし。

 

HOME  52波動 53.長波 54.表面波 55.定常波 56.群速度 57.表面張力波 58.勢力伝達 59.トロコイド  参考文献

58. 波動の勢力およびその伝達

.位置エネルギーと運動エネルギー

   【進行波】




 “グリーンの定理”は別稿「グリーンの定理」3.をご覧下さい。




 
   【定常波】




 

.エネルギーの伝播











補足説明1
 ここは、解りにくいところです。別稿「群速度と位相速度」4.§26.4.も参照されて下さい。
 ただし、そちらでは波の振幅 a を A×(k/ω) と置いているので注意して下さい。本稿の54.2.(54.25)式の速度ポテンシャルφの a×(n/m) を A と置いていることに相当します。
 また、こちらの m と n が別稿の k=2π/λ と ω=2π/T に対応します。そして別稿では本稿の n2=mg に相当する場合を論じています。すなわち ω2/k=(λ/2π)×g の場合です。
 そのため、計算式を比較するとき注意されて下さい。本稿の(58.3)(58.6)式 V=T=(1/4)ρa2gλ が、別稿の(7a)式 Epot=Ekin=(1/2)ρπA2 に一致します。
 
 更に補足します。別稿では、 【一波長が移動する時間(別稿のτ)当たりのエネルギー移動量(別稿のS)】 を 【一波長分の領域が持つエネルギー量(別稿のE)】 で割った値が 【群速度(別稿のU)】 を 【位相速度(別稿のV)】 で割った値に等しい事を導いています。すなわち

が成り立つとしている。
 所で本稿の(58.17)式のWは、一波長が移動する時間当たりのエネルギー移動量ではなくて、単位時間当たりのエネルギーの移動量でした。だから(58.17)と(58.7)の片々をそれぞれ割り算した式は次の様に変形できます。

結局、別稿と同じ結論が得られます。すなわち、
 【群速度U】【位相速度c】との比は、【波の断面をT時間に通り抜けるエネルギーの流れS】【この断面の前の一波長分λ=c・Tの空間領域のエネルギー容量E】の比に等しい
 これも重要な結果です。

 

HOME  52波動 53.長波 54.表面波 55.定常波 56.群速度 57.表面張力波 58.勢力伝達 59.トロコイド  参考文献

59. Gerstnerのトロコイド波

.ラグランジュ形式の流体理論




補足説明1
 【ラグランジュ形式の流体理論】につきましては、別稿「二次元・非圧縮性・完全流体の力学(ラグランジュの渦定理とは何か)」1.(1)を復習されて下さい。 


 
  【Lagrangeの連続方程式】


 
  【Lagrangeの運動方程式】



補足説明2
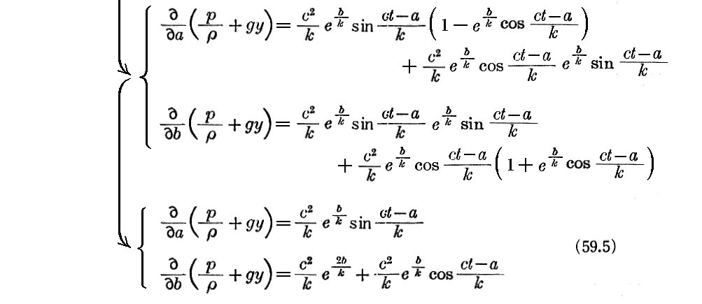
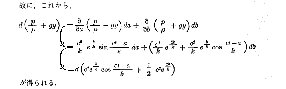
 ここは説明が不足しているので、補足します。
 実際に計算して見られれば解るように、【(59.5)の第1式】をbについて微分したものは、【(59.5)の第2式】をaに付いて微分したものに等しい事が言えます。
 つまり、(59.5)の二式は“完全微分方程式”を構成するための“必要十分条件”を満たしています。
 そのため 第1式×da+第2式×db は完全微分の表現 d(p/ρ+gy) となります。
 その時、完全微分は簡単に積分できて下記の様に p/ρ の表現が求まる
 
 この補足説明の意味が理解できない方は、別稿「絶対温度とは何か」5.(2)“完全微分方程式”を復習して下さい。

 

.トロコイド曲線







補足説明1
 上記の赤□で囲った部分の説明は何を言っているのか解りにくいので補足します。
 トロコイド波の様子を示す図に於いて、b=const.の曲線はトロコイド曲線です(下図を参照)。

 そのとき、後で説明するトロコイド曲線の描き方から解るように、この b=const.の曲線 は “流線” そのものになります。なぜなら、この曲線は円柱を滑らないように転がしたときその円柱内の一点が描く曲線なのですが、流体内部ではその転がっていく円柱のそれぞれの位置にある流体円柱の回転ころがり運動のある点の微小回転運動による移動方向と一致するからです。
 その事は上図を拡大した次の図から読み取れるでしょう。

 そのように理解すれば、赤□囲み記事の前部の 『波の進む方向と反対の方向に速度cを加えて定常運動にした場合』 の意味も了解できるでしょう。
 
 赤□囲み記事の中程の 『b=const.で定義されるすべての流線が圧力一定の曲線を与える』 についてですが、このことは圧力表現式(59.10)に於いてb=const.とすれば、p=const.となることから言えます。
 
 また、上図のトロコイド曲線のb=const.の曲線(これが流線となる)と、55.2.[補足説明1]で説明した表面波の進行波の流体粒子が波の進行に伴って示す流線曲線の様子とを比較して見られて下さい。
 そうされると、赤□囲み記事の後部 『実際、他の運動では、一般に自由表面を形成する特別な曲線(曲面)上で圧力が一定である事が必要なだけであって、流線が圧力一定の曲線となるとはかぎらず、またその必要も無いのである。』 の意味が納得できると思います。

 

.トロコイド波に伴う流体粒子の運動



 上記赤アンダーラインの事柄については別稿「二次元・非圧縮性・完全流体の力学」」3.(1)を、あるいは同別稿3.(2)1.を復習して下さい。


 上記の変数変換式は別稿「水の波」§39.3.(39.12)の導出計算を参照されたし。
 また、以下の計算過程もそこを参照されたし。ただし、本稿の(59.1)式を、そこでは(39.3)式の様に仮定していますので、その事による表現の違いが生じますが計算手順は同じです。





 上記の説明については別稿「水の波」§39.2.[補足説明2]を参照されて下さい。ただし式中のkやaやcの置き方が本稿と異なっていることは注意して下さい。

 上記赤アンダーラインの文の意味は本稿59.2.[補足説明1]と、その上の赤□で囲った部分の説明を参照されて下さい。



 “実質部分の回転の向き”に付いては59.3.の最初を、あるいは別稿「二次元・非圧縮性・完全流体の力学」」3.(1)を、あるいは同別稿3.(2)1.を復習して下さい。

 

HOME  52波動 53.長波 54.表面波 55.定常波 56.群速度 57.表面張力波 58.勢力伝達 59.トロコイド  参考文献

参考文献

 発刊の古い順に紹介しています。後刊の本は先行する本をおおいに参考にされ、その解りにくいところをより解り易くする事を心がけて書かれていますので、これらすべて読み比べて見られる事を勧めます。そうされることで理解が深まると思います。

  1. Horace Lamb著「Hydrodynamics Sixth Editon」(1932年刊、初版は1879年刊)Cambrige University Press
     Chapter[“Tidal Waves”,Chapter\“Surface Waves”,Chapter]“Waves of Expansion”
  2. 友近晋著「流体力学」共立出版(1940年)の文献社による復刻版(1972年刊)
     第8章“波動” 本稿はここからの引用です。
  3. Arnold Sommerfeld著「理論物理学講座U 変形体の力学」講談社(1969年刊、原本は1944年刊)
     第X章“波動論”
  4. 今井功著「流体力学」岩波全書(1970年刊)
     第6章“水の波”
HOME  52波動 53.長波 54.表面波 55.定常波 56.群速度 57.表面張力波 58.勢力伝達 59.トロコイド  参考文献