HOME  31 32.長波 33.2次元長波 34.表面波 35.深度一定 36.浅水深水 37.群速度 38.さざ波 39.トロコイド  文献

水の波 (今井功「流体力学」1970年刊より引用)

今井功著「流体力学」岩波全書(1970年刊)の第6章“水の波”の引用です。ただし、解りやすくする為にかなり改変しています。別稿「波動」や、Sommerfeld「波動論」と比較しながらよまれると良いでしょう。

第6章 水の波

§31. 波

 

HOME  31 32.長波 33.2次元長波 34.表面波 35.深度一定 36.浅水深水 37.群速度 38.さざ波 39.トロコイド  文献

§32. “長い波”




 上記の“運動方程式”については、別稿「二次元・非圧縮性・完全流体の力学」1.(2)3.を復習されたし。













 上記の“波動方程式”の解については別稿「波動方程式と一般解」3.(2)を復習されて下さい。





 上記 u∝f(x-ct) の説明については別稿「波動方程式と一般解」3.(5)も復習されて下さい。







 

HOME  31 32.長波 33.2次元長波 34.表面波 35.深度一定 36.浅水深水 37.群速度 38.さざ波 39.トロコイド  文献

§33. 2次元の“長い波”



 “速度ポテンシャル”が導入できる条件に付いては、別稿「二次元・非圧縮性・完全流体の力学」4.(2)1.を復習されたし。













 

HOME  31 32.長波 33.2次元長波 34.表面波 35.深度一定 36.浅水深水 37.群速度 38.さざ波 39.トロコイド  文献

§34. “表面波”




 上記ピンク色アンダーラインの部分は“ラグランジュの渦定理”の事を言っている。このことに付いては別稿「二次元・非圧縮性・完全流体の力学」3.(3)を復習されて下さい。
 さらに、(34.1)式の導出については、別稿「二次元・非圧縮性・完全流体の力学」4.(2)を復習されたし。




 境界条件(6.4)式は、別稿「二次元・非圧縮性・完全流体の力学」1.(4)2.で説明しているものと同じですので、そこを復習してください。

 (10.10)式圧力方程式”あるいは“拡張されたベルヌーイの定理”と言われるものです。この式は別稿「二次元・非圧縮性・完全流体の力学」3.(4)3.で導いていますので、そちらを復習されてください。





 

HOME  31 32.長波 33.2次元長波 34.表面波 35.深度一定 36.浅水深水 37.群速度 38.さざ波 39.トロコイド  文献

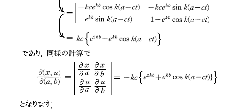
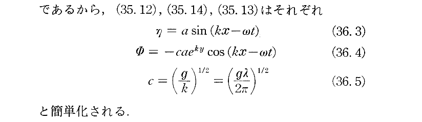
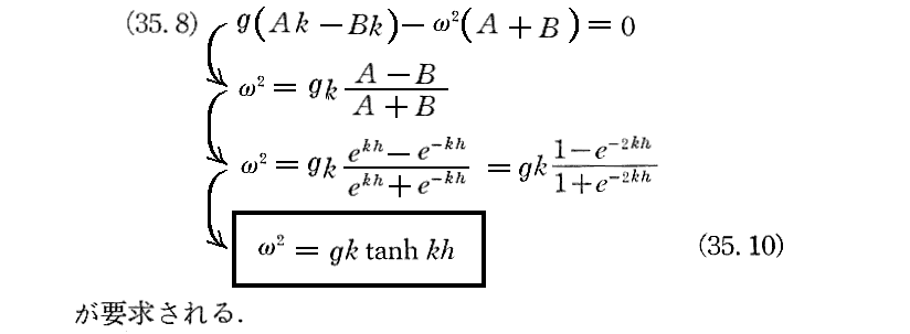
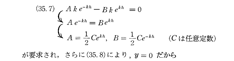
§35. 一様な深さの海

.速度ポテンシャルΦ









 位相速度c(中程度水深の“重力波”)

 速度ポテンシャルΦ(中程度水深の“重力波”)

 

 

.水の運動







 

補足説明1
 上図について補足する。図中に1/4周期後の波の位置を灰色線で示しているが、これは表面の流体粒子の運動とリンクさせると図の位置まで進んでいなければならないと言うことです。しかし実際には1/4周期で波が進む量はλ/4ですから図に示した位置まで進みません。つまり、ここの議論の近似で求めた波動の様子を示す関数は完全に正しいわけではありません。
 これらの解関数は、元々自由表面の振幅が波長に比べて十分小さいという条件の元で得られた近似的な方程式系と境界条件式から得られたものです。更に、方程式を解くときにここで説明した様な近似をしています。だから上記の齟齬(矛盾)が生じるのもやむを得ません。
 実際、上図に於いて波長はそのままにして、振幅が小さい場合のグラフを描きなおしてみれば解るように、その場合には上記の齟齬(矛盾)は目立たなくなります。このことに付いては、別稿「波動」54.3.[補足説明1]を参照して下さい。

補足説明2
 光を吸収する細かい金属粒子を流体に混入し、長い露出(例えば半周期の露出で写真を撮ると上記の軌跡を確認することができる。別稿「群速度と位相速度」4.§24.4.Fig.39b とその説明を下記に引用。

 

.定常波(容器内の水の振動)



 (35.20)式は(35.14)式の形の進行波でx軸の正方向と負方向に進む二つの波動を重ね合わせるのですが、x=0 の位置が定常波の節に成る様にする為に符号を変えたものを重ね合わせています。違う形で重ね合わせた場合には、以下で説明する節と腹の位置が変わってきます。

 符号が逆になるが、それは時間の原点をずらせばいくらでも調整できる。

補足説明1
 “定常波”の場合の速度ポテンシャルを表す(35.20)式に付いて補足します。この式は

と変形できます。右辺の const は時間tを含んでいますが、時刻を固定すれば、ある一定値を取ると見なせます。これは(x,y)座標空間における等速度ポテンシャル曲線を表す陰関数方程式と見なすことができます。
 例えば振幅aや水深hや波数kに適当な値を与えて、しかも右辺の const を種々の値でグラフ表示すると下図の様になります。これはy軸の所が、丁度 const=0 として、 const の値を0から0.2刻みで1.8まで増大させた速度ポテンシャル曲線群を示しています。

 
 §35.2.“進行波”の伝播に伴う流体粒子の運動を表す式(35.17)式を求めましたが、“定常波”に付いても流体粒子の運動を表す式を同様な方法で求める事ができます。
 まず、“定常波”の速度ポテンシャル(35.20)式を(35.15)式に代入します。



 最後に得られた式は様々な(x0,y0)座標点における流体粒子の一周期の往復運動が下図の棒状の線分で表わされることを示している。“進行波”の場合は楕円運動だったが、“定常波”では直線状の往復運動になる。下図は、前述の数値例の場合に付いての図です。

 “定常波”については、この往復運動を示す棒線の分布(その方向や長さ)が時間が経っても変化しないのです。この棒状線分の方向は流体粒子の速度ベクトルの方向と一致しますから、先ほどの速度ポテンシャル曲線に直交しているはずです。実際、両者を重ね合わせてみると下図のようになり、その事が確認できる。

 この棒状線分を連続的に繋いで行くと“流線”が得られるのですが、実際にその流線を表す関数方程式の導き方が以下で説明されています。




補足説明2
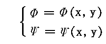
 上記の説明は何を言っているのか解りにくいので補足します。
 文中の“複素速度ポテンシャル”に付いては、別稿「二次元・非圧縮性・完全流体の力学」4.(2)2.と、別稿「カルマン渦列(動的安定性解析)」3.(2)1〜2.を復習されて下さい。
 そこで説明されている様に、“複素速度ポテンシャル”の実部を Φ(x,y) 、虚部を Ψ(x,y) とすると Φ(x,y)=const の曲線は流体の“速度ポテンシャル曲線”を、Ψ(x,y)=const の曲線は流体の“流線曲線”を表します。
 そして、ここでの議論の様に、“複素速度ポテンシャル”の実部である Φ(x,y) がすでに“速度ポテンシャル関数”として求まっている場合には、上記の様な手順を踏むことで、元の“複素速度ポテンシャル”を導く事ができると言うことです。“複素速度ポテンシャル”が導ければ、その虚部として“流線関数”Ψ(x,y)が求まる。
 上記の手順は、複素数z=x+iyを変数とする複素関数w=f(z)は一般にwを実数部φと虚数部ψにわけて

と書かれるのですが、このφとψはともに複素変数zの実数部xと虚数部yの関数です。すなわち

となるのですが、ここではこの事を利用しています。
 
 さらに補足すると、実部である“速度ポテンシャル関数”Φ(x,y)がすでに求まっている場合には、別稿「群速度と位相速度」4.§25.4.で説明されている様に、“コーシー・リーマンの関係式”

を用いて“流線関数”(流れ関数)Ψ(x,y)を求める事もできます。
 実際、上式に “定常波”の場合の関数Φの表現である(35.20)式を代入して得られる連立微分方程式

を解けば良い。この“連立偏微分方程式”は簡単に解けて、先ほどの(35.24)式と同じ解

が得られる。
 この関数を用いて、前述の[補足説明1]で説明した数値例に付いての流線の様子を示すと下図のようになります。これはx=±5の位置の縦軸と、水底の所が、丁度 const=0 の流線を表しており、 const の値を0から0.2刻みで1.6まで増大させた速度ポテンシャル曲線群を示しています。

 この図と[補足説明1]の速度ポテンシャル曲線図を重ねて見ると、流線曲線が速度ポテンシャル曲線と互いに直交している事が確認できます。





補足説明3
 ここでは“定常波”に関する“複素速度ポテンシャル” f=Φ+iΨ がどの様な関数で表されるのか説明されています。
 定常波ではなくて、“進行波”“複素速度ポテンシャル”については別稿「群速度と位相速度」4.§24.4.を参照して下さい。そこのFig38 が“進行波”のある瞬間に於ける“流線図”です。本稿の図35.2との違いに注意されたし。

 

HOME  31 32.長波 33.2次元長波 34.表面波 35.深度一定 36.浅水深水 37.群速度 38.さざ波 39.トロコイド  文献

§36. 浅い水,深い水

.水深h≪波長λ





 

.水深h≫波長λ






 

HOME  31 32.長波 33.2次元長波 34.表面波 35.深度一定 36.浅水深水 37.群速度 38.さざ波 39.トロコイド  文献

§37. 群速度

.群速度とは









 

 

.群速度の例(中程度水深の“重力波”)


補足説明1
 今後の利用を見越して、双曲線関数のグラフを示しておく。

補足説明2
 ここは別稿「群速度と位相速度」§26.5.も参照されたし。“浅い水”と“深い水”の“位相速度”cに付いて別稿「群速度と位相速度」§23.3.のFig.34を引用しておきます。それぞれグラフ中の b枝a枝 の部分に相当します。このとき、後の§38.4.[補足説明1]との違いに注意されたし。

 

HOME  31 32.長波 33.2次元長波 34.表面波 35.深度一定 36.浅水深水 37.群速度 38.さざ波 39.トロコイド  文献

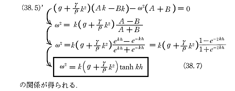
§38. さざなみ(表面張力波)

.表面張力を含む境界条件




補足説明1
 上記(38.3)式は、以下の様にして証明される。

 上記の図に対して次の関係式が成り立つ。

 補足しますと、“平均曲率”と圧力差の関係式(38.2)式は、別稿「波動方程式と一般解」2.(2)で説明した“弦を伝わる波”の波動方程式(38.3)式を適用して、逆方向に変形すれば求まる式ですから、天下り的に持ち出した(38.2)式から出発しても余り意味はない。
 最初から別稿「波動方程式と一般解」2.(2)で説明したやり方で議論すれば“平均曲率”などを持ち出す必要はない。その時、1次元曲線の議論を2次元曲面へ拡張しなければなりませんが、その拡張は容易です。


 

.表面張力−重力波(中程度水深)の解法





 

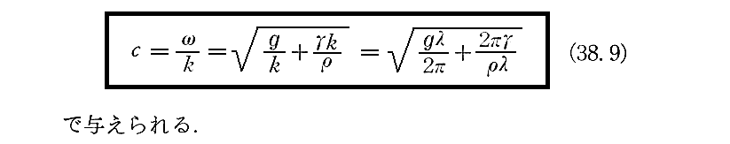
.(“深い水”における)表面張力−重力波の 位相速度








 

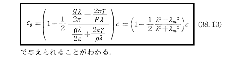
.(“深い水”における)表面張力−重力波の 群速度





補足説明1
 上記のλ→∞における位相速度cと、λ→0における位相速度c0の表現については下図でご確認下さい。このとき左記に説明した§37.2.[補足説明2]との違いに注意されたし。

 更に補足します。(38.14)式g、および(38.15)式g0の関係を示す(37.4)式は 、別稿「群速度と位相速度」§26.3.“分散と波の変形” の Fig.41 で示した“直線の方程式”を表している事に注意されたし。

補足説明2
 上記の具体的数値例の c対λグラフ 、および c2対λグラフ に付いては、別稿「群速度と位相速度」§25.3.“数値例”を参照されたし。

 

HOME  31 32.長波 33.2次元長波 34.表面波 35.深度一定 36.浅水深水 37.群速度 38.さざ波 39.トロコイド  文献

§39. ゲルストナーのトロコイド波

.ラグランジュ形式の流体理論



補足説明1
  (5.5)式はラグランジュ形式の“連続の方程式”であり、(5.8)式はラグランジュ形式の“運動方程式”です。
 【ラグランジュ形式の流体理論】については、別稿「二次元・非圧縮性・完全流体の力学(ラグランジュの渦定理とは何か)」1.(1)を復習されて下さい。 





補足説明2
  ここは、上記の二式は“完全微分方程式”を構成するための“必要十分条件”を満たしているから、次に述べる様に積分できる事を言っている。
 このことの意味が了解できない方は、別稿「絶対温度とは何か」5.(2)“完全微分方程式”を復習して下さい。



 

.トロコイド波の波形

補足説明1
 上記の(39.6)式の導入の仕方としてここの言い方は良くない。別稿「波動」59.2.の様に説明すべきです。
 
 ただし、b=const の曲線(曲面)上では圧力一定となることは重要です。
 トロコイド波では自由表面も含めて、流体内部のb=constの曲線(トロコイド波では“流線”となる)上でも圧力一定が成り立ちます。
 このことはなかなか解りにくいところですので別稿「波動」59.2.[補足説明1]を参照されて下さい。






補足説明2
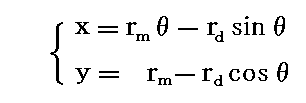
 “トロコイド曲線”についての補足です。
 動円の半径を m、回転角を θ描画点円の半径を d とすると、トロコイド曲線の媒介変数表示は

となります。これは、曲線が
  rm <rd のとき、1回の回転でx軸と2回交わる。
  rm = rd のとき、1回の回転でx軸と1回接し、曲線はサイクロイドとなる。
  rm > rd のとき、x軸と交わらない。
を示しています。
 下図は m=10 として、d=20,10,5,2 の場合の曲線を、 0<θ<4π の範囲で図示したものです。

 この例を検討すれば、(39.8)式の媒介変数表示が図39.1の様になることが解ります。実際、(39.8)式のt=0の瞬間における

のグラフを描いてみる。
 先ほどの式と比較すると、ここの 1/km に相当し、 (1/k)ekbd に相当することが解ります。下図は b0=-10 とした場合の波形を表す図です。

 動円の半径はすべて10で、動円の上側に接する直線の上を、滑らさずにxの負方向に動円を回転させていきます。そのとき、動円の中心が左方に移動する速度が c です。
 実際の(39.8)式の第一式の左辺は x ではなく、x−ct ですから、この波形はx軸の正方向に速度 c で移動していくことになります。そのためトロコイド波を生み出す動円に付随する描画点はx座標が一定の位置で円運動をすることになる。

 

.トロコイド波における流体粒子の運動













 

HOME  31 32.長波 33.2次元長波 34.表面波 35.深度一定 36.浅水深水 37.群速度 38.さざ波 39.トロコイド  文献

参考文献

 発刊の古い順に紹介しています。後刊の本は先行する本をおおいに参考にされ、その解りにくいところをより解り易くする事を心がけて書かれていますので、これらすべて読み比べて見られる事を勧めます。そうされることで理解が進むと思います。

  1. Horace Lamb著「Hydrodynamics Sixth Editon」(1932年刊、初版は1879年刊)Cambrige University Press
     Chapter[“Tidal Waves”,Chapter\“Surface Waves”,Chapter]“Waves of Expansion”
  2. 友近晋著「流体力学」共立出版(1940年)の文献社による復刻版(1972年刊)
     第8章“波動”
  3. Arnold Sommerfeld著「理論物理学講座U 変形体の力学」講談社(1969年刊、原本は1944年刊)
     第X章“波動論”
  4. 今井功著「流体力学」岩波全書(1970年刊)
     第6章“水の波” 本稿はここからの引用です。
HOME  31 32.長波 33.2次元長波 34.表面波 35.深度一定 36.浅水深水 37.群速度 38.さざ波 39.トロコイド  文献