HOME   光量子論(1905年)  光量子論(1906年)  光量子論(1907年比熱)  光量子論(1909年)   サイトマップ

§116.光の場のゆらぎ

本稿は、E.シュポルスキー著「原子物理学T」東京書籍(1966年)の第9章§116 より引用。

【光の場のゆらぎ】



 *) 【付録W.1.】を参照。
 

343−04
【光量子の発見】



 上記展開の詳細はEinsteinの光量子論第1論文(1905年)§6.でご確認下さい。

344
【輻射密度の揺らぎ】




 *) 【付録W.1.】を参照。




345-04
【統計物理から解る光子の性質】 Einsteinの光量子論第4論文(1909年_1)§6

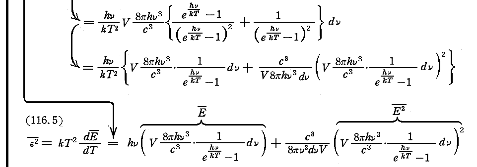
 **) (116.5)式の導出は、【付録W.2.】を参照。







347-03



 ここは、Einsteinの光量子論第4論文(1909年_1)§6を参照されたし。

4-1
W. 揺らぎの自乗平均の公式

  【付録W.1.】




















 上記344頁はこちら
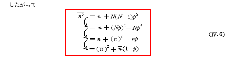
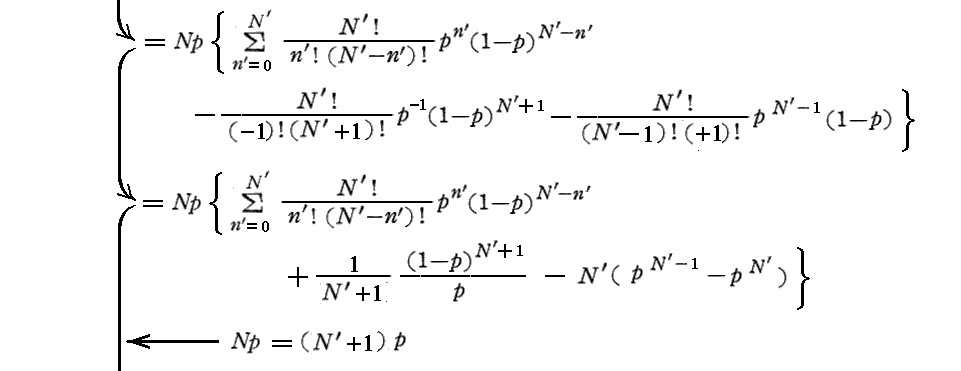
 ここの所の意味が良く理解できない方は、別稿「統計力学」2.(10)[例1][補足説明5]をご覧下さい。そこの(2.108),(2.109),(2.110)式が、本稿の(W.5),(W.6),(W.7)式に対応しますから、両者の式変形のテクニックを比較して見られることを勧めます。,

4-2
  【付録W.2.】  下記の公式(116.5)345頁はこちら






 上記でギブスの正準分布を利用すると書いてありますが、(W.12)式を導いたのはEinstein統計力学1904年論文の§4が最初でして、Einsteinはギブスのカノニカル分布の統計力学に相当するものを自ら開発していたのです。このことについては江沢文献「統計力学へのアインシュタインの寄与」116_117をご覧下さい。

HOME   光量子論(1905年)  光量子論(1906年)  光量子論(1907年比熱)  光量子論(1909年)   サイトマップ