HOME .α粒子 2.当時の状況 3.大角度散乱 4.多数回散乱の困難 5.有核原子モデル 6.確認実験 7.その後 8.文献

 このページを印刷される方はこちらのバージョンをご利用下さい。ブラウザーでは見にくいのですが印刷は鮮明です。

ラザフォードのα線散乱実験と有核原子モデル(1911年)

 ラザフォードの原子模型(有核原子モデル)の根拠となった有名な実験の説明です。原子核の存在を確信する鍵は、なぜトムソンの原子モデルではα粒子の大角度散乱を説明できないのかを理解するところにあります。このページは様々な文献を参考にして作りました。

1.α線の本性

 ウラニウムからでる放射線は物質をよく透過する性質と気体をイオン化する性質をもっている。ラザフォードは放射線に、透過性の弱いものと強いものがあることをみとめ、透過性の弱い方をα線、強い方をβ線と呼んだ。(E.Rutherford、Phil.Mag.47(1899)、109)

 α線の物質による吸収の性質から、α線は正電気をおびた粒子(α粒子)と考えた。(R.J.Strutt、Phil.Trans.193(1900)、377;E.Rutherford、Phil.Mag.5(1903)、95)

 α線を電場と磁場で曲げるのは電子の場合よりはるかに困難であったが、ラザフォードは1903年にそれに成功した。電場と磁場によるα線の偏向実験(トムソンがβ線で用いたのと同じ方法)により、、α粒子の速度(光速の1/12)および質量/電荷比(水素イオンの2倍)を測定。(E.Rutherford、Phys.Z.4(1902)235;Phil.Mag.5(1903)、177)

 当時α線の飛距離はそのエネルギーに応じて一意に決まることが見いだされていた。(W.H.Bragg and R.D.Kleeman による一連の報告1904〜1907)

 質量電荷比の値、ラドンからヘリウムができること、ラジウムの蛍光のなかにヘリウムのスペクトルが発見されたことなどからα粒子はヘリウム原子のイオンと考えられた。(E、Rutherford、Nature68(1903)、366)

 ラザフォードはガイガーと共同してラジウムから放射されるα粒子の数と総電気量を測定して、α粒子が2eの電気量を持つことを確かめた。[詳細はこちらを参照;E. Rutherford and H. Geiger、Proc.Roy.Soc.London(A)81(1908)、141〜161、162〜173;これらはRoyalSocietyの公式サイト http://rspa.royalsocietypublishing.org/ から無料ダウロードできます。]
 このときガイガーが開発した電気的方法による計数管がガイガーカウンターで後にガイガー‐ミュラー計数管(1928)へ発展する。

 ラザフォードとロイズは、α粒子をガラス管の中に集め、それを放電管に導いて発光させた。そしてスペクトルがヘリウムのそれと一致する事を確かめた。下図は彼らが用いた装置である。細い針状の容器Aにウランの娘核ラドン(不活性ガス)が入っており、これらから出るα粒子はAの薄いガラス壁を突き抜けて管Tにヘリウムとなって貯まる。低圧のヘリウムは水銀により放電管Vに押し込められる。実験を始めて2日後には、放出される光の中にヘリウムの黄色い輝線がみとめられ、6日後にはヘリウムの完全なスペクトルが見いだされた。(E.Rutherford and T.Royde、Phil.Mag.17(1909)、281)参考文献9.古典論文叢書7に翻訳されているhttp://web.lemoyne.edu/~giunta/royds.html

 以下の実験ではα線が重要な働きをする。それまで原子にβ線(電子)をぶつける散乱実験はなされていたが、α線によるものは無かった。後から考えると重いα線を用いたことこそ本質的に重要な事だった。そして、放射性変換説をソディとともに確立したラザフォードは、その当時α線の本性について最も良く理解している第一人者だった。

 

HOME 1.α粒子 .当時の状況 3.大角度散乱 4.多数回散乱の困難 5.有核原子モデル 6.確認実験 7.その後 8.文献

2.1909年当時の状況

(1)原子の表象

 高校物理のトムソンのe/m測定実験(http://web.lemoyne.edu/~giunta/thomson1897.html)で習うように、当時電子の本性は解明されていた。電子が原子の構成要素であり各原子が含む電子の数は原子量程度(J.J.Tomson、Phil.Mag.11(1906)769)(http://www.chemteam.info/Chem-History/Thomson-1906/Thomson-1906.html)であると考えられていた。そのため原子の中に負の電子があり、その負の電荷を埋め合わせるだけの正電荷が存在しなければならないと考えられていた。[物理学古典論文叢書9「原子模型」東海大学出版会(1970年刊)2.“原子内の微粒子の数について(J.J.Thomson)”や、広重徹著「物理学史U」倍風館14-7等も参照されたし。]

 また、当時原子1個の質量は解っていた(別稿「アボガドロ数の測定法」参照)から、電子よりも数千倍重い原子の質量を説明するためには、電子よりずっと重い何かが原子の中に存在しなければならないと考えられていた。

 気体中でもβ線(高速の電子線)が非常に長い距離(数cm)進むという事実(P.Lenard、Ann. der Phys.12(1903)714)を説明するためには原子はスカスカかもしれないと考えざるを得ない。原子の大きさが10-10m程度だというのは当時解っていた。また、アボガドロ数も解っていたので、それから計算される原子の空間占有率も解っていた。それから計算される1気圧の気体の場合の平均自由行程は10-7m程度(見積もり計算はこちらを参照)なのだから電子が数cmも進むことは驚きだった。

(2)トムソンおよび長岡の原子モデル

1.トムソンの原子モデル(1904年)

 トムソンは原子の構成を以下のようなものだと考えた。正電荷は球形をした原子いっぱいに均一に分布している。原子の大きさはこの正電気の球の大きさである。電子はこの正電気の中に埋められている。
 彼が、このような構成を考えたのは、こうすることで多数の電子が原子の中に安定な状態で静止している状況が実現できると予想したからである。つまり電子同士が互いの反発力で散らばろうとする傾向と、電子が正電荷の海の中に浮かぶことで生じる引力でつなぎ止められる傾向が旨くバランスして安定な状態が実現できると考えたからだ。ラザフォードの有核モデルでは別稿「ボーアの水素原子モデル(1913年)」で述べたように、原子の大きさの決定と、電子軌道の安定性において重大な欠陥があるのだから、トムソンのモデルは苦心の作であると言ってよい。

 トムソンは、さらに正電荷の海の中に浮かぶ電子が何らかの原因でつり合いの位置からずらされると電子はつり合いの位置を中心として振動するとした。この振動する電子が光を放射あるいは吸収して原子スペクトルになると考えた。原子が放射する光が原子スペクトル程度の振動数を持つために必要な正電荷の球の大きさを計算してみるとだいたい10-10m程度となり、気体分子運動論から予想される原子の大きさと一致した。
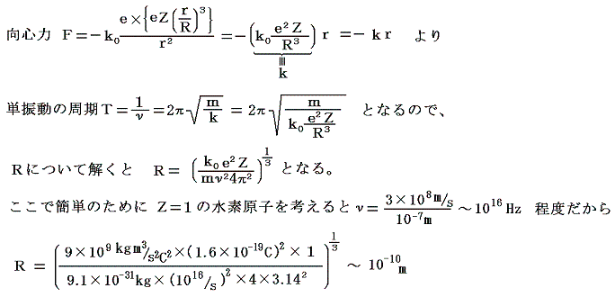
 原子は半径Rの球形をしており、正電荷はそれいっぱいに一様に分布している。そしてその総電気量は電気素量eの原子番号Z倍とする。その中で振動する電子の運動を考える。これは別稿「ニュートンの運動法則」3.(4)で述べた地球貫通列車の問題として高校物理ではお馴染みのものである。

ここで電子に働く向心力に寄与するのは半径rの内側にある正電荷のみである。(別稿「万有引力の法則」(3)を参照)それ故に向心力は距離に比例し、電子の運動は正電荷分布の中心を振動中心とする単振動になる。(別稿「ニュートンの運動法則」3.(4)参照)

となり、確かに当時知られていた原子の大きさ程度になる。ただし、ラザフォードの有核モデルの場合でも、定数係数(1/2π)2/3の違いを除いて、ほぼ同様な値が得られる(高校物理の練習問題)から、この結論がトムソンモデルの特徴的な成果というわけではない。

2.長岡の原子モデル(1904年)

 長岡のモデルは正の電荷は原子の中心に集中していると考える。この正電気の中心核の回りをたくさんの電子が土星の環のようにとりまいていると考える。こういう環状の配置で電子が適当に核の回りを運行しているのなら力学的に安定な並び方が存在するということを長岡は示した。
 ただし、このモデルではラザフォードの有核モデルと同様に電子の運動に伴い電磁波が放射されてエネルギーを失い軌道の安定性が損なわれる。

 トムソンや長岡のモデルが出された当時は原子に電子(β線)をぶつける散乱実験は行われていたが、電子よりもはるかに重いα粒子による散乱実験は行われていなかった。質量の軽い電子線の散乱についてはトムソンや長岡のモデルで、いかようにでも説明する事ができた。だから、トムソンや長岡のモデルでは、[電子と正電荷をある特定のやり方で配置すると力学的な安定性がえられる]ということ、及び、[そのモデルが原子スペクトルをよく説明するつじつまの合う理論を構築できる]ことの説明にもっぱら勢力が注がれた。[<2012.1.10追記> 吉田伸夫 著「光の場、電子の海」新潮選書(2008年刊)p47〜49の長岡、トムソンモデルの解説が解りやすいので引用しておきます。]
 そこにα線を用いたガイガーとマースデンの実験(1909年)が出てくる。[電子よりもはるかに重いα粒子を用いたことが、本質的に重要]だったし、[α粒子の散乱のされ方を正しく説明すること]こそが原子構造解明の鍵だった。当時、α線の本質について最もよく理解し、その取り扱いにおいて最も長けていたのは、ラザフォードの研究室のメンバーだった。

 

HOME 1.α粒子 2.当時の状況 .大角度散乱 4.多数回散乱の困難 5.有核原子モデル 6.確認実験 7.その後 8.文献

3.アルファ線大角度散乱の発見(1909年の実験)

 教科書などで、よく紹介されているのは1913年の実験装置とその結果ですが、ラザフォードの有核原子モデルの考えに決定的な影響を与えたのは1909年の実験です。

 アルファ線は物質中を直進する。これはアルファ線が電子よりも十分重い(約7000倍)のため、電子とならば何回衝突してもアルファ線の方が曲がることはないからである。ラザフォードは、1906年(当時彼はカナダのマギル大学にいた)にアルファ線は細いスリットを通したとき真空中では直進するが、スリットに薄膜を張ると、それによってわずかに散乱されてビームが広がることを見出していた。
 1907年にマンチェスター大学にやってきたラザフォードはドイツからきた若い研究者ガイガーに以前研究したα粒子の金属箔による散乱の現象を詳しく研究させた。ラジウム線源から放射されてくるα粒子を細いスリットに通して細いビームにする。そのビームを金属箔に当てる。箔を構成している原子を、通過すると、α粒子の軌道は少し曲げられるので、箔を通過したビームは広がる。その広がりの様子を、ビームを硫化亜鉛の板に当てることによって測定した。硫化亜鉛は、たった1個のα粒子が当たっても閃光を発する。ガイガーは1908年、散乱されるα粒子の数が散乱角の増大に伴って急激に減少し、2〜3度をこえるような角度では、散乱α粒子は観測されなかったと報告した。(H.Geiger、Proc.Roy.Soc.London(A)82(1909)、445)

 そんなとき、ガイガーがラザフォードのところへやってきて「(ニュージーランドからやってきた学生の)マースデンに、放射能実験の方法を教えていますが、簡単な実験を始めさせてみてはいかがでしょうか」と提案した。それで練習のためにマースデンにやらせることになったのが次に述べる実験である。
 実際の所、ラザフォードは、α粒子は非常に早く走る重い粒子だから大きなエネルギーを持っているので、たとえ多数回の衝突を繰り返しても後方へ散乱されてくる確率はきわめて小さい(この当たりの見積もりは4.項参照)から、大角度の散乱など起こるはずはないと思っていた。どうせ練習用なのだから、ためしにマースデンにやらせてみようと提案した実験だった。

 下図1はマースデンが用いた装置です。これは、いかにも手近にあったあり合わせの材料を適当に組みあわせて作ったような装置である。この装置を見ると、これは、大角度の散乱が起こらないことを確かめるために、学生の練習用にちょつとためしにやらせてみようという実験だったようだ。
 円錐形のガラス容器A、Bにはラジウムエマネーション(ラジウムの崩壊でできる娘核種のラドンのこと。ラドンは不活性ガスでさらにα線を出して崩壊する)が封入されている。Bには雲母の薄膜が張ってある。エマネーションからのアルファ線はこの雲母板を通り抜けて、金属板RRに入射する。SはZnSシンチレータでアルファ線が入射すると入射した点が光る。遮へい板PはBの窓から出てくるアルファ線が直接感光板Sに当たるのを防いでいる。MはZnSが光るのを観察する顕微鏡である。

 この実験で、金属板に当たったアルファ線が、万が一反対方向に反射されるならZnSが光るのが観察されるはずだ。
[補足説明]
 彼らが、放射線源として何故“気体ラドン”を用いたのかは、こちらの引用文を読まれるとお解りになる思います。左記引用文の前半はこちらです。引用文中の1グラムのラジウムの放射能については別稿1.(2)2.の説明をご覧下さい。

 それらか、二三日して、ガイガーが非常に興奮してラザフォードの所へやってきて言った。「何個かのα粒子が後ろにはね返されるのを見つけることができました。・・・・」それを聞いたラザフォードは驚愕した。「これは、それまでの私の生涯で起きた事件の中で、最も信じられないものでした。もし、みなさんが、一枚のティッシュペーパーめがけて15インチ砲弾を打ち込んだところ、それがはね返ってきてみなさんに当たったとしたら、それを信じられるでしょうか。私にはこれと同じくらい信じられないことでした」と後に回想している。確かにこれがいかに信じられないことであるかを次項4.で説明する。

 ガイガーとマースデンは、さらに引き続いて以下に述べるような実験を行いその結果を1909年に報告した。(H.Geiger and E.Marsden、Proc.Roy.Soc.London(A)82(1909)、495-500)http://www.chemteam.info/Chem-History/GM-1909.html

反射されるアルファ線の数は反射金属板の原子番号が大きいほど増加した。(下表参照)

 また、薄い金箔(空気に換算して約0.4mm)を反射板として重ねていくと、最初は枚数に比例して反射されるアルファ線の数は増加していくが、20枚ほど(空気厚で8mm)で飽和した。(下図2)


 グラフの形がこのようになることは、α粒子の大角度散乱が微少散乱の加えあわせで起こるのではなく、単一の散乱で起こることを予測させる。

 さらに下図3の装置で照射したα粒子数と反射されたα粒子数の比を測定した。そして入射粒子の約1/8000が反射されることを確かめた。

 

HOME 1.α粒子 2.当時の状況 3.大角度散乱 .多数回散乱の困難 5.有核原子モデル 6.確認実験 7.その後 8.文献

4.トムソンや長岡のモデルの困難

 以下に述べるようにトムソンや長岡のモデルではα線の大角度散乱を説明できない。その当たりの事情をトムソンのモデルを用いて議論する。

(1)原子内の電子によりα粒子が曲げられる角度

 簡単化して質量mαのα粒子が質量meの静止している電子に速度vαで正面衝突する場合を考える。衝突後のα粒子と電子の速度をそれぞれvα’、v’とする


つまり電子の得る運動量は最大でも2meα 程度であることが解る。つまりα粒子が受ける運動量の変化Δpαは最大でも2meα 程度である。ところでα粒子が衝突前に持っていた運動量pαはmαα=4×1836×meα であるから、この衝突によってα粒子が曲げられる角度の最大値はθmaxはベクトルΔpαがべクトルpαに直角に生じた場合の

程度となる。これはα粒子が標的の原子層を通り抜けるとき、電子との衝突を繰り返しても、原子層を通り抜けた後曲げられる角度θはごく小さなものであることを意味する。

(2)電子以外の正電荷の部分による散乱

 トムソンモデルについて2.(2)1.で述べたのと同様な議論が使える。ただし今度は2eの正電荷を持つα粒子との相互作用である。そのとき各原子の正電荷は、その中に埋まっている負電荷の電子により中和されているから、他の原子からの影響は考えなくてよい。
α粒子が原子内を通過する時間Δtは最大でも2R/vαであるから、α粒子が受ける運動量の変化Δpαは最大でも

程度以下であることが解る。

(3)α粒子散乱角の見積もり

 4.(1)(2)でトムソンモデルの場合1個の原子によってα粒子の進路が曲げられる角度について見当がついたので、α粒子が薄い金属箔を通過するときに最終的に曲げられる角度を求めてみよう。下図の様に厚さ4×10-4mm=4×10-7mの金箔にα粒子を打ち当てる場合を考える。この厚さはガイガーたちが用いた金箔の典型的な厚さである。原子の大きさは10-10m程度だから、金箔の厚さ方向に金原子が数千個並んでいることになる。
 
 議論を簡単にするために、原子の並びは1000個程度であるとしよう。そして、α粒子が一つの原子を通り抜けるごとに、1/2の確率で左右のどちらかに0.1度ほど曲がるとしよう。そうすると、金箔を通り抜けたとき、[まっすぐに通り抜けるもの]、[0.1度曲がって通り抜けるもの]、[0.2度曲がって通り抜けるもの]・・・・・・・・・等の確率はは、高校数学で習う確率論で計算できる。
 一つの原子を通り抜けたとき0.1度右に偏向する確率を(1/2)、同じく0.1度左に偏向する確率を(1/2)とすると、[まっすぐに通り抜けるもの]のは1000個の原子を通り抜けるとき500回が(1/2)で、500回が(1/2)の衝突になる。ここで右に偏向する衝突と、左に偏向する衝突は1000回の衝突の内でいつ起こるかは解らないから、衝突の起こる順番の組み合わせについて場合の数を数え上げておかねばならない。それは500個の(1/2)と500個の(1/2)をランダムに1000個並べるときの並べ方の数になる。それは高校数学で習う順列組み合わせの公式より1000!/(500!・500!)となる。だから真っ直ぐ出てくる確率はその場合の数に確率項(1/2)1000を乗じたものになる。
 同様に右に[0.2度曲がって通り抜けるもの]の確率は501個の(1/2)と499個の(1/2)をランダムに1000個並べるときの並べ方の数に、(1/2)1000の確率項をかけたものになる。以下同様である。
 同様に右に0.2度曲がって出てくる確率は501個の(1/2)と499個の(1/2)をランダムに1000個並べるときの並べ方の数に、(1/2)1000の確率項をかけたものになる。以下同様である。

 このようなおおざっぱな計算でも、微少散乱が多数回起こることで大角度散乱が生じるとしたとき、大角度散乱が起こる確率が極めて小さくなるメカニズムを理解することができる。実際は、1回の散乱による偏向角はもっと小さいのだから確率はさらに小さくなる。

 これらの計算は、その進路が不規則な原因により何度も曲げられるときの移動量の計算と同じで、確率論で言うところの「酔歩の問題」(酒飲みが酔っぱらってフラフラ歩いていく様子を想像されたし)と言われるものである。確率論を用いると散乱角の二乗平均(分散と言われるもので、この平方根が標準偏差)を用いて任意角度の散乱が起こる確率の分布関数を表すことができる。
 ガイガーとマースデンの実験(1910年)によると、厚さが10-5〜10-6m程度の金箔を用いたα粒子の散乱実験では散乱角の二乗平均は1度程度( 0.87°)になった。それは99%以上のα粒子が3度以内に散乱されることを意味する。また、このような状況の場合、微少散乱が1000〜10000回程度繰り返されるとすると、一回の散乱による散乱角は10-4rad以下になり、確かに4.(1)(2)の計算値と矛盾しないことが導けた。つまり角度が数度以内の小角度部分については微少散乱の繰り返しによって生じるとしても説明できる。
 しかし二乗平均値が1度であるような分布関数から求まる散乱角90度以上の散乱が起こる確率は著しく小さな値になる。それはすでに簡単な見積もりで述べたのと同じメカニズムによる。詳しい計算によると、一回の散乱による散乱角が10-4rad以下で1000〜10000回程度の微少散乱を繰り返すとした場合、散乱角が90度以上になる確率は10-3500という驚くほど小さな値になる。これは宇宙開闢以来、1秒間に何億個ものα粒子を金箔に当て続けても一度も起こることがないほど小さな確率である。
 だから、ガイガーの報告にラザフォードが仰天したのである。そのとき有核原子モデルにもとずく単一散乱なら、その確率分布の実験結果が説明できるのだ。

 

HOME 1.α粒子 2.当時の状況 3.大角度散乱 4.多数回散乱の困難 .有核原子モデル 6.確認実験 7.その後 8.文献

5.有核原子モデル(ラザフォード1911年)

 前記の困難を解決するために、ラザフォードは単一散乱モデル(有核原子モデル)を検討します。これが1911年に発表された有名な論文(E.Rutherford、Phil.Mag.Ser.6,21(1911)、669)(http://www.chemteam.info/Chem-History/Rutherford-1911/Rutherford-1911.html)です。

(1)簡単な説明

 4.(3)で述べたように、微少散乱を多数回繰り返すことにより大角度散乱が生じるとしたのでは、実験結果を旨く説明できない。そこでラザフォードは幾つかの仮定を置いて、ただ1回の散乱で大角度散乱は生じるとした。彼が仮定したのは

1.原子の持つ正電荷はe(電気素量)のZ(原子番号)倍程度。
当時様々な考察から原子内の正電荷の量がこの程度になるという見積もりはあった。
2.散乱体の質量はα粒子と同程度かそれ以上の重さを持つ。
運動量保存則から当然の要求。
3.eZが1点に集中していて強い電場が存在する。
ただ1回の散乱ではじき返すほどに強力な電場を生じるには正電荷が1点に集中して存在しないといけない。

の3つである。

 これら3つの仮定が成り立つとして、α粒子がeZの正電荷にどれくらい近づくことができるのか見積もってみよう。α粒子(電荷2e)が、電荷eZのかなり重い(金原子の質量程度、α粒子の197/4倍)質点に、初速v0で正面衝突してもと来た方向へはね返される場合にα粒子と電荷eZ最も近づいたときの距離rminを求める。このときeZの質量中心はα粒子よりはるかに重いから、ほぼ静止しているとしてよい
 正電荷eZが作る静電場の中に距離rだけ離れて2eの電荷が存在するときの位置エネルギーは高校物理で習うようにU=k0(2e)(eZ)/r だから下図の様な状況になる。

 高校物理の授業で習うエネルギー保存則を用いると

この結論から明らかなように、eZが電子の数百倍の電気量であったとしても、最接近距離rminは10-13m以下となる。これは当時、原子の大きさとして知られていた10-10mの1/1000以下である。

 ここで以下のことに注意してほしい。の正確な値が解らないのでminを厳密に知ることはできないが、もし[何らかの方法でrminの値を見積もることができれば、散乱体が持っている電荷Zの値を知ることができる]、そして[大角度散乱が生じる割合を測定できればrminの値を見積もることができる]のである。

 ここで、大角度散乱されるα粒子の割合を測定すればrminを見積もることができる訳を説明する。電気的なクーロン反発力による散乱の様子はだいたい下図のようになる。


 散乱の様子から明らかなように、原子に対してアトランダムにα粒子が入射するとき、[大角度散乱が起こる入射断面積πσ2]と[原子の断面積πR2]の比が[大角度で散乱されるα粒子の数][全入射粒子の数]の比を表していると言える。さらにこのときσは前述のminとほぼ同じ程度の大きさであることが解る。
 ところでガイガーやマースデンが用いた金箔(厚さ4×10-7m)では約20000回に1回の割合で大角度散乱が起こった。ところで金原子の大きさは、金原子の密度と当時知られていたアボガドロ数をもちいると

金箔の中には金原子が1.56×103個程度並んでいることになる。

 20000回に1回の割合で大角度散乱がおこったのは1.56×103層に並んだ金箔での割合だから、ただ一層からなる金箔なら20000×1.56×103回に1回の割合になる。つまり金原子の断面を20000×1.56×103等分に分割したその内の1つ分の面積が前述のπσ2〜πrmin2の面積ということになる。

つまり質量中心eZは原子の大きさの1/10000以下の狭い領域に集中していることになる。これがラザフォードの有核原子モデルである。

 そしてσ〜rminが解れば原子核の持つ電荷eZのが解る。実際ラザフォードたちは標的金属の種類を変えて様々な元素について測定してZは原子番号程度の値になることを確かめている。(詳細は6.項参照)

(2)数式による説明

 厳密に解くには、逆二乗法則に従う相互作用をする二つの質点の運動を数学的に解かねばならない。これは別稿「質点の二次元運動(放物運動、楕円運動)」3.F=−1/r2 の特別な場合である。ここでは引力ではなく斥力になるが、数学的な取り扱いは全く同じで、この場合双曲線軌道になる。軌道の形を導くには、変数変換を繰り返し用いた数学的な技巧を用いて微分方程式を解かねばならず、物理的にあまり面白くないので説明は省略する。たいていの大学の力学の教科書に載っているのでそれらを参照してください。
 ここでは、α粒子は双曲線軌道を描くことは解っているとして運動量保存則エネルギー保存則から何が言えるかを調べてみる。(別稿「質点の二次元運動(放物運動、楕円運動)」3.(3)で楕円軌道の場合を論じたが、同じ事を双曲線軌道についてやってみる)

 普通は入射の最初の状態と散乱後の任意の距離r、角度θにあるα粒子に対して、運動量保存則とエネルギー保存則を適用して議論する。そのときすでに力学的に解かれている双曲線軌道を表す関数を用いなければならない。
 今簡単化のために、α粒子が入射する最初の状態と、質量中心eZに最も近づいたときに対して運動量保存則とエネルギー保存則を適用しよう。質量中心に最も近づいた位置は双曲線軌道の対称性を具現する点だから様々な関係式を利用するのに都合がよい。その場合関数形を直接取り扱わなくても、軌道が双曲線軌道になるという事実から利用できる対称性を用いて重要な結論が導ける。
 α粒子は質量中心eZから距離p(衝突半径)離れた位置を入射してきて、角度θだけ偏向した方向へ散乱されたとする。そのとき 最接近点A と 焦点(原子核位置)F の関係は下図のようになる。

 このとき

上式のrminを偏向角θと関係づけるために、上図を反時計回りに角度φほど回転して標準形の双曲線グラフにする。

この形にしたときに成り立つ双曲線の性質(別稿「二次曲線性質」2.(4)参照)を用いて

がえられる。これこそ欲しかった結論で、質量中心eZからpだけ離れた位置に入射したα粒子は上式から導かれる角度θだけ屈曲した方向に散乱されることを言っている。 この公式中の衝突半径pは直接実験により測定できないので、この公式をこのままでは確かめることはできない。しかし、われわれはpを実験によって測定できる散乱数に結びつけることはできる。
 α粒子はバラバラの位置に入射してくるのだから、角度θからθ+Δθの方向に散乱されるα粒子の数は、下図の半径pと半径p+Δpで囲まれる円環状の面積内に入射したα粒子数となる。

 円盤の面積はπ×(半径)2で与えられるから、α粒子が単位時間に角度θとθ+Δθの間に散乱される数は円環の面積=π(p+Δp)2−πp2に比例するであろう。今単位体積当たりN個/m3の散乱体原子があるとする。そして、単位時間、単位面積当たりn個/mのα粒子が入射してくるとする。
 実際には金原子は球形で、細密構造で並んでいるのだが、以下では簡単のために立方体状の原子が上下・左右に積み重なっていると考える。散乱体原子がただ1層で密に並んでいる標的シートを考えると下図のようになる。

 厚さ方向には1mあたりN1/3層の散乱層が並んでいるのだから、いま1辺1mの立方体の散乱体に、単位時間・単位面積あたりn個の割合でα粒子が入射するとすると、単位時間にθ〜θ+Δθの角度領域に散乱されてくるα粒子の個数は

となる。ここでマイナス符号が出てくるが、それは単に衝突半径pが増大すればθが減少することから出てきたのであって本質的なものではない。だから数としては絶対値を取ればよい。
 ここでΔθの角度間隔に散乱される数を、立体角θ〜θ+Δθ当たりに散乱される数にするには、立体角が

のように表されることを用いて、上式をさらに変形すればよい。

ただし、実際の散乱数を求めるには散乱体の厚さを考慮したnNの値を用いなければならない。
 こうして、角度θの方向へ散乱されるα粒子の数は、sin(θ/2)の4乗の逆数に比例して変化する。また、観測する角度が一定ならばその角度に散乱されてくるα粒子の数は散乱体の中心電荷Zの2乗に比例し、入射するα粒子の速度v0の4乗に逆比例する
 つまり、ラザフォードは[原子が正に帯電した小さくて重い原子核と、そのまわりをとりまく電子からなる]ことを見いだした。そして、[それを確かめる実験方法を提案]し、[その実験を通して中心電荷の大きさを知ることができることを示した]。そしてさらに、入射α粒子の総数と大角度散乱するα粒子の数の割合を調べれば[原子中で原子核が占める大きさの最大値を見積もる]ことができたのである。

 5.(1)の最初に述べた大胆な仮定が成り立てば大角度散乱の生じる割合を説明できる。もちろん当時何も解っていない原子内部のことであるからそれ以外の説明も可能である。たとえば、α粒子はものすごい速度(α粒子と電子の質量比から、その速度は進入するα粒子の速度の数千倍以上)で向かってくる電子と衝突してはね返されるのかもしれない。又は、散乱に関わる力が、クーロンの法則以外の全く新しい未知の法則にしたがっているのかもしれない。あるいは、原子の中では運動量保存則やエネルギー保存則は成り立たないのかもしれない。
 そのようにいくらでも説明の方法は考えられるが、ラザフォードの提出した原子の有核モデルは、それらの可能性の中で圧倒的な説得力と実現性を持つ仮説であった。そして次項6.で述べるように散乱数の実験結果はまさしくsin(θ/2)の4乗の逆数に比例して変化したのだ。このことにより、原子のような小さな領域についてもクーロンの法則、運動量保存則、エネルギー保存則が成り立つことが確かめられたのだ。

 

HOME 1.α粒子 2.当時の状況 3.大角度散乱 4.多数回散乱の困難 5.有核原子モデル .確認実験 7.その後 8.文献

6.散乱の角度分布の測定と核電荷の見積もり(1913年の実験)

 以下は、ラザフォードによって提出された単一散乱理論(1911年)を確かめるために、ガイガーとマースデンが1913年に行った実験の説明です。
H. Geiger, E.Marsden, Philosophical Magazine, Series 6, Volume 25, Number 148,p604〜623, April 1913年
(ダウンロードサイト http://www.chemteam.info/Chem-History/GeigerMarsden-1913/GeigerMarsden-1913.html)

このとき、彼らは5項目の実験をした。
 (1)散乱数の角度による変化。
 (2)散乱体の厚さによる変化。
 (3)散乱体金属の原子量による変化。
 (4)α粒子の速度による変化。
 (5)特定の角度に散乱される入射粒子にたいする割合。

(1)散乱数の角度による変化

 下図は、彼らがアルファ線散乱の角度分布を測定した際に用いた有名な装置です。Rはアルファ線源で鉛の支持具に埋め込まれている。アルファ線は細穴Dからビーム状に放出され、金属箔Fで散乱され、ZnSのスクリーンSに入射する。ZnSの発光は望遠鏡Mで観察される。望遠鏡は容器Bとともに回転するが、線源R、金属箔Fは固定されている。望遠鏡を回転させることによって、散乱角の異なったアルファ線粒子が望遠鏡に入ってくる。

彼らは様々な金属箔をターゲットにして散乱粒子数の角度依存性を調べた。次に、このとき得られたデータの一例を示す。

これは積dN・sin4(θ/2)が非常に広い範囲(約3500倍)で変化するにもかかわらずほぼ一定に保たれていることを示している。つまり、シンチレーションの数が正確に1/sin4(θ/2)に比例していることを表しており、まさしく理論の正当性を確かめることができた。

(2)散乱体の厚さによる変化

このとき以下の装置が用いられた。

 様々な金属(金、錫、銅、アルミニウム)についてその厚さを変えて、特定の角度θへ散乱される粒子数が数えられた。いずれの金属の場合も散乱数はその厚さにきれいに比例して増大した。

(3)散乱体金属の原子量による変化

 ラザフォードは特定の散乱角への散乱数はZ2に比例することを求めたが、彼らは中心電荷Zは原子量Aに比例すると考えていたからA2に比例することになると考えた。また原子量の増大に伴い原子の大きさか増えるから同じ厚さ、同じ面積当たりの原子数はA-1/2で減少するだろうと考えた。
 そのため特定角度への散乱数は原子量Aの3/2乗に比例すると考えた。そして実験結果はまさにその通りの結果を与えた。

(4)α粒子の速度による変化

 彼らは様々な厚さの雲母の箔を通すことでα粒子の速度を変化させ、様々な速度で金属箔に衝突させた。そして一定角度方向への散乱数が、まさしく理論が予測する通りの(1/v04)に比例して変化する事を確かめた。

補足説明
 ダーウィン(C.G.Darwin)は Phil. Mag. 27, p499〜506, 1914年に於いて、α粒子と原子核との間に作用する力が二粒子間の距離のn乗に反比例する場合には、一定角度方向への散乱数が

で与えられることを示した。
 ガイガーとマースデンの実験結果は、まさにこの式の n=2 の場合だから、α粒子を散乱させる力がクーロンの逆二乗法則に従うことを示している。

(5)特定の角度に散乱される入射粒子にたいする割合

 全入射粒子数nに対する特定角θ方向への散乱粒子数dnの割合dn/nを求めることができれば、ラザフォードの公式を使って実験的な方法で数Z、すなわち核の正電荷が電気素量の何倍になるかという事を見積もることができる。
 ただし、そのためには、全入射粒子数nと特定角θ方向への散乱粒子数dnを別々に求めなければならない。ところが、nの値とdnの値はいちじるしく異なるので、別々の実験装置で求めざるをえず、そのため誤差が大きくなり正確な値Zを求めることはできなかった。それでも彼らは、Zが原子量のほぼ半分に近い数字であることを確かめることができた。原子量の半分こそ当時原子番号と呼ばれていた数字だったのである。

 

HOME 1.α粒子 2.当時の状況 3.大角度散乱 4.多数回散乱の困難 5.有核原子モデル 6.確認実験 .その後 8.文献

7.その後の展開

(1)チャドウィックのZ測定実験(1920年)

6.(5)項で述べた核電荷の正確な測定は1920年に弟子のチャドウィックによってなされた。すでに述べたように、α線の散乱実件において、単位時間にθ〜θ+Δθの立体角に散乱されてくるα粒子の数dnは

と表される。この式の中でZ以外はすべて測定可能である。ただし、問題は比dn/nの正確な測定である。nとdnはあまりにも大きさが違いすぎるため今までは異なる実験的手法でそれぞれ別々に測定されていた。それが大きな誤差を生む原因であった。
 チャドウィックは二つの数nとdnが同一の装置で測定されうるような工夫をしてZを非常に正確に(誤差数%以下で)測定することに成功した。下図は彼が測定に用いた装置の概念図である。(Phil.Mag., 6th ser. vol 40, p734〜746, 1920年)

 彼はまず、散乱体を円環状の箔AA’にすることにより散乱体の面積の増大を図った。その大面積の散乱体からの特定角度への散乱をすべて集約するためにシンチレーション測定用の硫化亜鉛板Sとの配置を工夫した。図を詳細に検討すればわかるように散乱体から測定器Sに入るものは、すべて2θ〜2(θ+Δθ)の立体角へ散乱されたものになる。このようにして数dnの増大をはかり、nに対するdnの比を大きくした。
 次に同じ装置でRからSへ直接到達するα粒子数を計りnを求めた。そのときnはdnよりも桁違いに大きな数なので同じ装置で数を数えられるようにするためにnを計るときは、RとSの間に細い切れ込みを持った回転円盤を置き入射α線を適度に減じることにより、シンチレーションを同じ装置で測定可能な数に減らして測定した。
 以上の2つの工夫により飛躍的に測定精度を向上させたチャドウィックは次の結果を得ることができた。白金、銀、銅のそれぞれのZの値はPt(78)は77.4、Ag(47)は46.3、Cu(29)は29.3であった。これはメンデレーエフの周期表における原子番号(元素記号の後ろにある括弧内の数)に数%以内の誤差で一致した。この結果、核の電荷を決定するということは元素の原子番号を決定することと同等だと言うことが確立したのである。

(2)原子核と原子番号

 原子量(原子の相対質量)が元素によって定まった値であり、それぞれ特有な値を持つということは当時確立していた。そして元素をその原子量の順番に並べたとき、原子の核電荷が単純に1ずつ増加すると言うことが当時予想されており、その数を原子番号とする考え方が確立されつつある時代だった。
 上に述べたα粒子散乱実験はまさしく原子番号核電荷を電気素量で割った値(これをとおいた)であることを明らかにした実験なのだ。ラザフォードが見つけた原子核が電気素量の整数倍(原子番号倍〜原子量/2倍)程度の電荷を持っているということは、その[核の周りを同程度の数の電子が取り巻いて核電荷を中和している]そして正電荷の原子核が負電荷の電子に引力を及ぼし電子を原子核の周りの軌道上に束縛して[原子の大きさを実現している]という考えに到達する。
 この[ラザフォードの原子模型]と、当時化学者の間に知られていた[原子は水素原子の質量の整数倍の質量を持つ(プラウトの仮説)]を考慮すると、原子核は水素イオン(水素の原子核=陽子)という正に帯電した重い粒子の集合体からできているという考え方がでてくる。

このとき様々な疑問が新たに生じてくる。

何が原子中の電子軌道の大きさとエネルギーを決めているのか?またなぜ、軌道上を回る電子は電磁波を放出してエネルギーを失い核に落ち込んで行かないのか?(朝永振一郎著「量子力学T」“ラザフォード原子模型の困難”などを参照)
これに答える形でボーア水素原子モデル(1913年)が出てくる。
さらに、モーズリーは、自らが行ったX線スペクトルの測定実験(1913年)にボーアの理論を適用して、原子の核電荷が原子番号に一致することを示した。モーズリーの実験は核の正確な電荷を、ラザフォードの散乱実験とは全く異なる方法でより精度良く決定する方法だった。詳細は別稿「モーズリーの法則(1914年)と周期律における原子番号」参照。
原子核が水素原子核(陽子)の複合体だとすると、その正電荷は実際に測定されたeZの値の2倍以上にならねばならないのに、そうなっていないのはなぜか?
当時科学者は原子核は正電荷(陽子)の複合体の中に負電荷の電子が混じっていると考えていた。つまり原子量と原子番号Zの差だけの電子を含んでいると考えていた。しかしチャドウィックによる中性子の発見(1932年)により原子核は陽子と中性子よりなるという考え方に変更される。そして素粒子としての中性子の性質が次第に明らかになり、原子核物理の発展の基礎を与えることになっていく。
正電荷を持つ陽子の複合体である原子核が、なぜその正電荷どうしの反発力により互いに飛び散ってしまわないのか?
核力の理論に基づく原子核物理の発展へ引き継がれる。

 

HOME 1.α粒子 2.当時の状況 3.大角度散乱 4.多数回散乱の困難 5.有核原子モデル 6.確認実験 7.その後 .文献

8.参考文献

このページを作るとき利用した参考書
1.スティーブン・ワインバーグ著、本間三郎訳「電子と原子核の発見」日系サイエンス社、1986年
2.物理学史研究刊行会編「物理学古典論文叢書9 原子模型」東海大学出版会
3.物理学史研究刊行会編「物理学古典論文叢書10 原子構造論」東海大学出版会
4.エミリオ・セグレ著、久保亮五、矢崎裕二訳「X線からクオークまで」みすず書房、1982年
5.荒木源太郎著「原子物理学」倍風館
6.菊池健著「原子物理学」共立出版
7.E.シュポルスキー「原子物理学T」東京図書
8.それぞれの源論文
9.物理学史研究刊行会編「物理学古典論文叢書7 放射能」東海大学出版会

HOME 1.α粒子 2.当時の状況 3.大角度散乱 4.多数回散乱の困難 5.有核原子モデル 6.確認実験 7.その後 8.文献