HOME  TOP  Index  Introduction)  Part1)()()()()  Part2)()()(10)(11)(12)(13)(14)  Appendix  END  Minkowskiの4次元世界  特殊相対性理論(1905年)   E=mc2 の証明  相対論的力学  サイトマップ

H.Minkowski著「The Fundamental Equations for Electromagnetic Processes in Moving Bodies」

Hermann Minkowski,“Die Grundgleichungen fu¨r die elektromagnetischen Vorga¨nge in bewegter Ko¨rpern”, Nachrichten der K. Gesellschaft der Wissinschaften zu Go¨ttingen. Mathematisch-physikalische Klasse., S.53〜111, 1908年の英訳版



 

HOME  TOP  Index  Introduction)  Part1)()()()()  Part2)()()(10)(11)(12)(13)(14)  Appendix  END

Index

Introduction
§1.Notations
 
First Part.Consideration of aether as a limiting cace
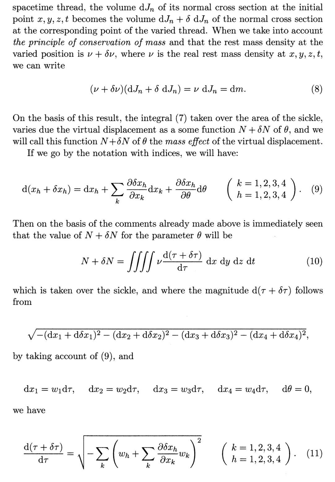
§2.The basic equations for ether
§3.The theorem of Relativity of Lorentz
§4.Special Lorentz trasnformations
§5.Specetime Vectors of the Tst and Und kind
§6.Concept of Time
 
Second Part.The electromagnetic phenomena
§7. Fundamental Equations for Bodies at Rest
§8.The Fundamental Equations for Moving Bodies
§9.The fundamental equation in the theory of Lorentz
§10.The fundamental equations of E.Cohn
§11.Typical represintation of the fundamental equations
§12.The differential operator Lor
§13.The product of the fiels vectors f F
§14.The ponderomotive forces
 
Appendix.Mechanics and the relativity postulate

 

HOME  TOP  Index  Introduction()  Part1)()()()()  Part2)()()(10)(11)(12)(13)(14)  Appendix  END

Introduction



 

HOME  TOP  Index  Introduction(1)  Part1)()()()()  Part2)()()(10)(11)(12)(13)(14)  Appendix  END

§1.Notations


 

HOME  TOP  Index  Introduction)  Part1(2)()()()()  Part2)()()(10)(11)(12)(13)(14)  Appendix  END

1.Consideration of aether as a limiting case

§2.The basic equations for ether



 

HOME  TOP  Index  Introduction)  Part1)(3)()()()  Part2)()()(10)(11)(12)(13)(14)  Appendix  END

§3.The theorem of Relativity of Lorentz



 

HOME  TOP  Index  Introduction)  Part1)()(4)()()  Part2)()()(10)(11)(12)(13)(14)  Appendix  END

§4.Special Lorentz trasnformations



 

HOME  TOP  Index  Introduction)  Part1)()()(5)()  Part2)()()(10)(11)(12)(13)(14)  Appendix  END

§5.Specetime Vectors of the Tst and Und kind




 

HOME  TOP  Index  Introduction)  Part1)()()()(6)  Part2)()()(10)(11)(12)(13)(14)  Appendix  END

§6.Concept of Time


 

HOME  TOP  Index  Introduction)  Part1)()()()()  Part2(7)()()(10)(11)(12)(13)(14)  Appendix  END

2.The electromagnetic phenomena

§7. Fundamental Equations for Bodies at Rest



 

HOME  TOP  Index  Introduction)  Part1)()()()()  Part2)(8)()(10)(11)(12)(13)(14)  Appendix  END

§8.The Fundamental Equations for Moving Bodies




 

HOME  TOP  Index  Introduction)  Part1)()()()()  Part2)()(9)(10)(11)(12)(13)(14)  Appendix  END

§9.The fundamental equation in the theory of Lorentz


 

 

HOME  TOP  Index  Introduction)  Part1)()()()()  Part2)()()(10)(11)(12)(13)(14)  Appendix  END

§10.The fundamental equations of E.Cohn


 

HOME  TOP  Index  Introduction)  Part1)()()()()  Part2)()()(10)(11)(12)(13)(14)  Appendix  END

§11.Typical represintation of the fundamental equations











 

HOME  TOP  Index  Introduction)  Part1)()()()()  Part2)()()(10)(11)(12)(13)(14)  Appendix  END

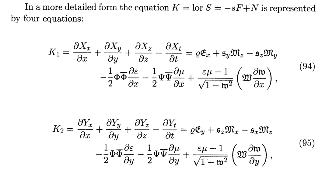
§12.The differential operator Lor





 

 

HOME  TOP  Index  Introduction)  Part1)()()()()  Part2)()()(10)(11)(12)(13)(14)  Appendix  END

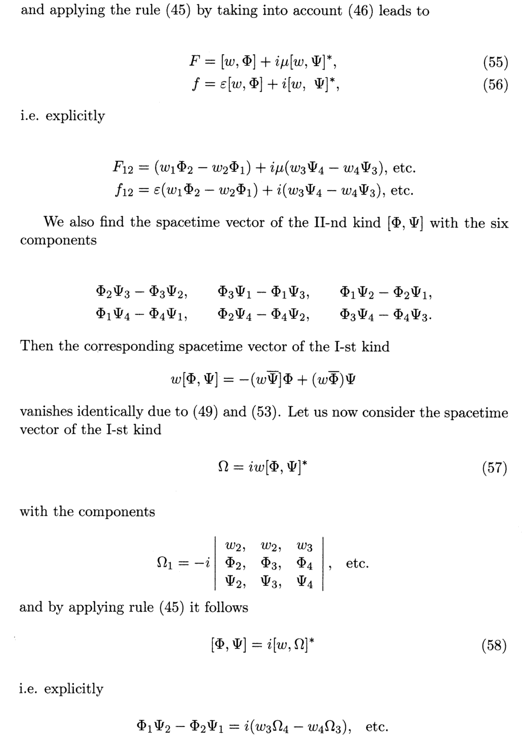
§13.The product of the fiels vectors f F







 

 

HOME  TOP  Index  Introduction)  Part1)()()()()  Part2)()()(10)(11)(12)(13)(14)  Appendix  END

§14.The ponderomotive forces


 

HOME  TOP  Index  Introduction)  Part1)()()()()  Part2)()()(10)(11)(12)(13)(14)  Appendix  END

Appendix.Mechanics and the relativity postulate















 

HOME  TOP  Index  Introduction)  Part1)()()()()  Part2)()()(10)(11)(12)(13)(14)  Appendix  END  Minkowskiの4次元世界  特殊相対性理論(1905年)   E=mc2 の証明  相対論的力学  サイトマップ