HOME   TOP 1.極値必要条件 2.変分形式 3.極値曲線場 4.極値曲線の決定 5.正準方程式 6.特別な場合 7.不連続性 8.極値十分条件 9.積分極小条件 10.Jacobi判定法  例T.光学  例U.力学  END

マックス・ボルン、エミル・ウォルフ共著「光学の原理T」付録Tからの引用です。

変分法
(calculus of variations)

HOME   TOP 1.極値必要条件 2.変分形式 3.極値曲線場 4.極値曲線の決定 5.正準方程式 6.特別な場合 7.不連続性 8.極値十分条件 9.積分極小条件 10.Jacobi判定法  例T.光学  例U.力学  END

1.極値を取る必要条件: Eulerの方程式

(1) 変分法の基本問題


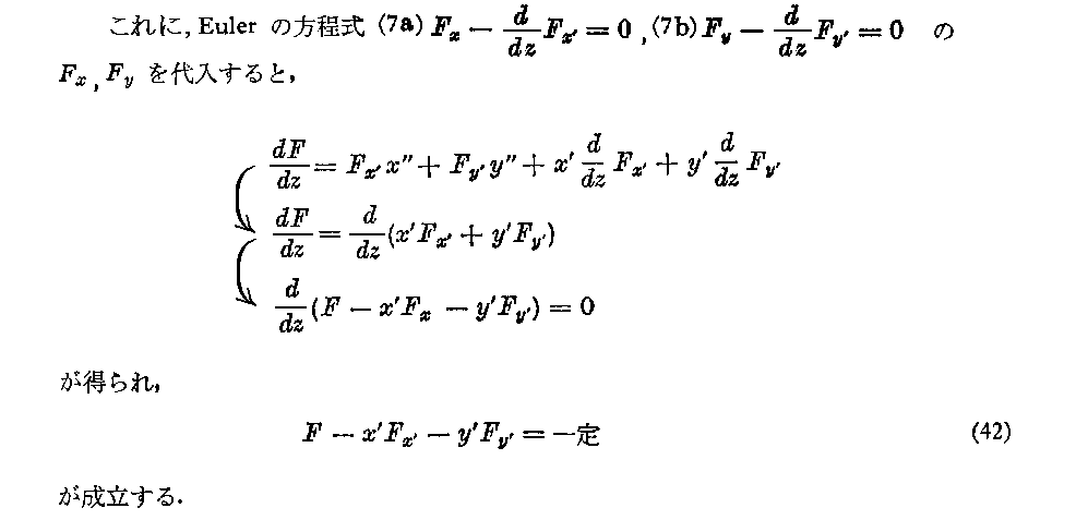
(2) Eulerの方程式





 
 連立1次方程式(8a)(8b)が解を持つ条件が(9)式が成り立つことである。この事に付いては別稿「行列式と行列(determinant and matrix)」1.(5)などを参照されたし。

HOME   TOP 1.極値必要条件 2.変分形式 3.極値曲線場 4.極値曲線の決定 5.正準方程式 6.特別な場合 7.不連続性 8.極値十分条件 9.積分極小条件 10.Jacobi判定法  例T.光学  例U.力学  END

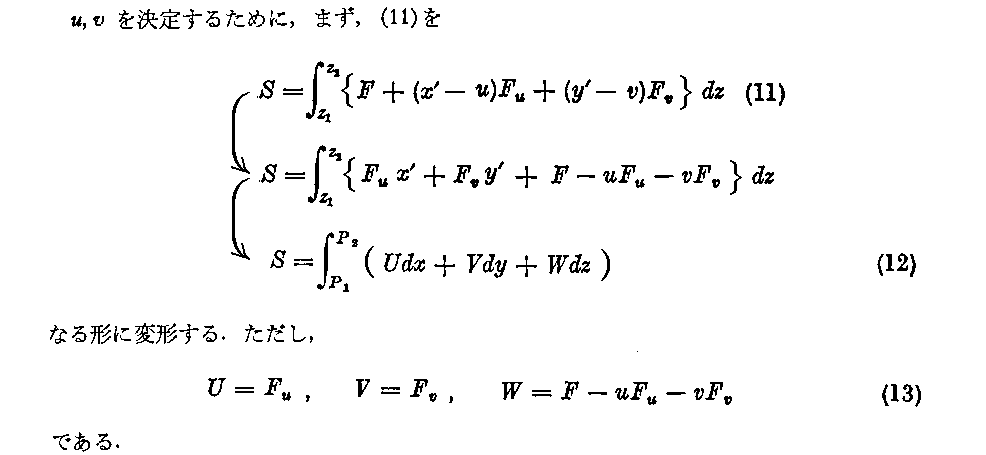
2.Hilbert の独立積分 と Hamilton-Jacobi 方程式

(1) Hilbert の独立積分




 (17)式が成り立てば

しなり、(14)式が言える。
 上記の手順を逆にたどり、(14)式が成り立ば(17)式の 関数S(x,y,z) の存在が言えて
となり Udx+Vdy+Wdz の全微分性が言える。

(2) Hamilton-Jacobi 方程式




HOME   TOP 1.極値必要条件 2.変分形式 3.極値曲線場 4.極値曲線の決定 5.正準方程式 6.特別な場合 7.不連続性 8.極値十分条件 9.積分極小条件 10.Jacobi判定法  例T.光学  例U.力学  END

3.極値曲線による場














HOME   TOP 1.極値必要条件 2.変分形式 3.極値曲線場 4.極値曲線の決定 5.正準方程式 6.特別な場合 7.不連続性 8.極値十分条件 9.積分極小条件 10.Jacobi判定法  例T.光学  例U.力学  END

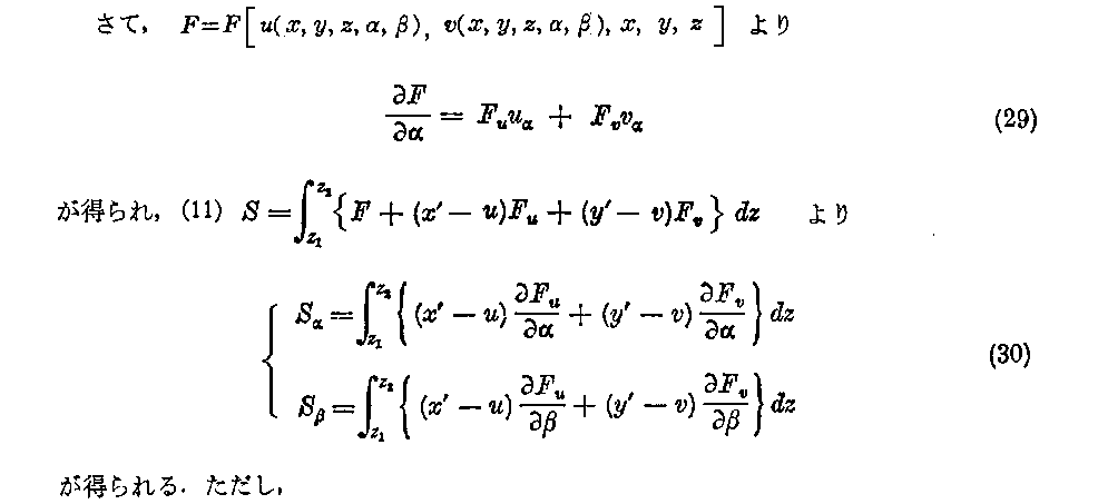
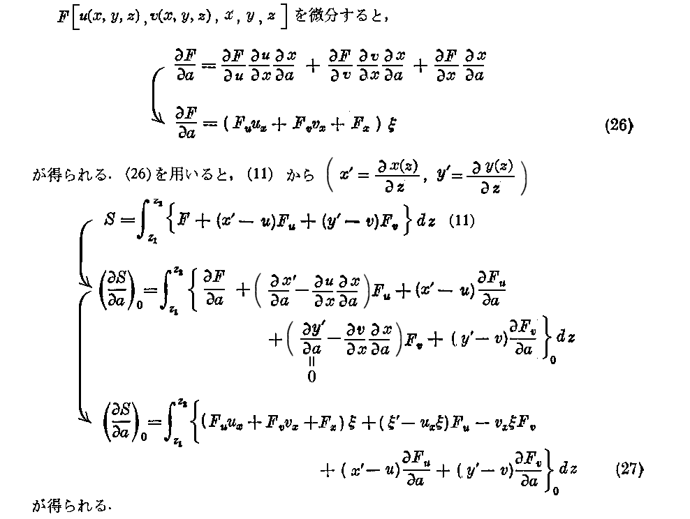
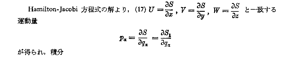
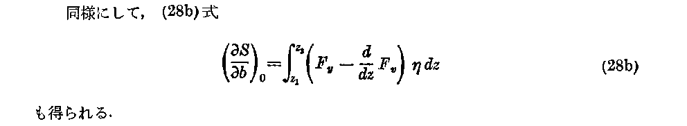
4.Hamilton-Jacobi 方程式の解よりすべての極値曲線の決定








HOME   TOP 1.極値必要条件 2.変分形式 3.極値曲線場 4.極値曲線の決定 5.正準方程式 6.特別な場合 7.不連続性 8.極値十分条件 9.積分極小条件 10.Jacobi判定法  例T.光学  例U.力学  END

5.Hamilton の正準方程式





HOME   TOP 1.極値必要条件 2.変分形式 3.極値曲線場 4.極値曲線の決定 5.正準方程式 6.特別な場合 7.不連続性 8.極値十分条件 9.積分極小条件 10.Jacobi判定法  例T.光学  例U.力学  END

6.積分の中で従属変数が陽でない特別な場合







HOME   TOP 1.極値必要条件 2.変分形式 3.極値曲線場 4.極値曲線の決定 5.正準方程式 6.特別な場合 7.不連続性 8.極値十分条件 9.積分極小条件 10.Jacobi判定法  例T.光学  例U.力学  END

7.不連続性












HOME   TOP 1.極値必要条件 2.変分形式 3.極値曲線場 4.極値曲線の決定 5.正準方程式 6.特別な場合 7.不連続性 8.極値十分条件 9.積分極小条件 10.Jacobi判定法  例T.光学  例U.力学  END

8.Weierstrass の条件 と Legendore の条件(極値であるための十分条件)
















HOME   TOP 1.極値必要条件 2.変分形式 3.極値曲線場 4.極値曲線の決定 5.正準方程式 6.特別な場合 7.不連続性 8.極値十分条件 9.積分極小条件 10.Jacobi判定法  例T.光学  例U.力学  END

9.1つの端点が曲面上に束縛された場合,積分が極小になる条件




HOME   TOP 1.極値必要条件 2.変分形式 3.極値曲線場 4.極値曲線の決定 5.正準方程式 6.特別な場合 7.不連続性 8.極値十分条件 9.積分極小条件 10.Jacobi判定法  例T.光学  例U.力学  END

10.極小に対する Jacobi の判定法





HOME   TOP 1.極値必要条件 2.変分形式 3.極値曲線場 4.極値曲線の決定 5.正準方程式 6.特別な場合 7.不連続性 8.極値十分条件 9.積分極小条件 10.Jacobi判定法  例T.光学  例U.力学  END

例題T.光学














DIV>HOME   TOP 1.極値必要条件 2.変分形式 3.極値曲線場 4.極値曲線の決定 5.正準方程式 6.特別な場合 7.不連続性 8.極値十分条件 9.積分極小条件 10.Jacobi判定法  例T.光学  例U.力学  END

例題U.質点の力学












 上記の付録Uの第2節はこちらです。

HOME   TOP 1.極値必要条件 2.変分形式 3.極値曲線場 4.極値曲線の決定 5.正準方程式 6.特別な場合 7.不連続性 8.極値十分条件 9.積分極小条件 10.Jacobi判定法  例T.光学  例U.力学  END