HOME   TOP 1. 2. 3. 4. 5. 6. 7. 8. 9. 10. 補遺 文献 END  Einsteinの光量子論の解説(辻哲夫)

アインシュタインの光量子論(1909年_1)

 アインシュタインの光量子説第4論文(1909年_1)を紹介します。以下の訳文は文献1.より引用した。ただし、解りやすくする為に少し改変しています。元の表現はこちらでご確認下さい。
 左欄に記入の数字は原論文のページ数です。 


 

HOME   TOP 1. 2. 3. 4. 5. 6. 7. 8. 9. 10. 補遺 文献 END  Einsteinの光量子論の解説(辻哲夫)














 

HOME   TOP 1. 2. 3. 4. 5. 6. 7. 8. 9. 10. 補遺 文献 END  Einsteinの光量子論の解説(辻哲夫)




  以下の議論については、別稿「アインシュタインの光量子論(1905年)」§1.を復習されたし。



 上記の注2)の論文はこちらです。この翻訳版での該当ページはこちらの§13です。あるいは Planck著『熱輻射論』 の§183です。


 上記の注3)の(V)式は Planck著『熱輻射論』 の8.(5)[補足説明2]を参照。

 

HOME   TOP 1. 2. 3. 4. 5. 6. 7. 8. 9. 10. 補遺 文献 END  Einsteinの光量子論の解説(辻哲夫)




 

HOME   TOP 1. 2. 3. 4. 5. 6. 7. 8. 9. 10. 補遺 文献 END  Einsteinの光量子論の解説(辻哲夫)


 




[補足説明]
 上記の式中の定数 R/N≡kB(今日ではボルツマン定数と呼ばれている)について、テル・ハールの補注を以下に引用しておきます。

 





 上記でEinsteinが参照する事を進めている『気体論講義』のページはこちらだと思います。

 

HOME   TOP 1. 2. 3. 4. 5. 6. 7. 8. 9. 10. 補遺 文献 END  Einsteinの光量子論の解説(辻哲夫)



   上記の1906年論文と、1906年論文



 

HOME   TOP 1. 2. 3. 4. 5. 6. 7. 8. 9. 10. 補遺 文献 END  Einsteinの光量子論の解説(辻哲夫)




 O この訳書の第1論文の(21)とはこちらです。






 上記の 注1)式 の導出は別稿§116.“光の場のゆらぎ”347−03 を参照。



 上記21のこの訳書の第1論文のEはこちらです。

 

HOME   TOP 1. 2. 3. 4. 5. 6. 7. 8. 9. 10. 補遺 文献 END  Einsteinの光量子論の解説(辻哲夫)








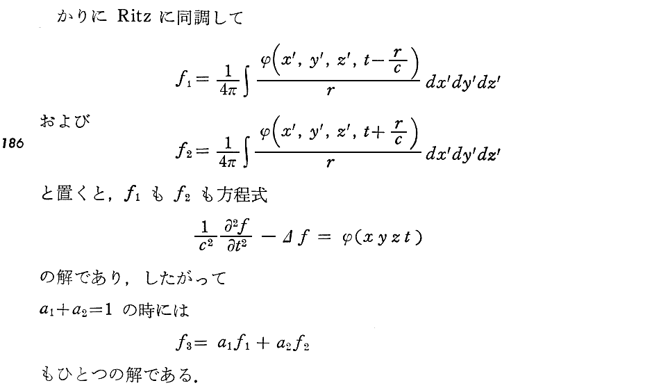
 下記の方程式を導く “純粋に電気力学的な計算” の詳細は別稿1909_2年論文p823〜824を参照。


 上記の計算が良く解りません?
  

 

HOME   TOP 1. 2. 3. 4. 5. 6. 7. 8. 9. 10. 補遺 文献 END  Einsteinの光量子論の解説(辻哲夫)




 

HOME   TOP 1. 2. 3. 4. 5. 6. 7. 8. 9. 10. 補遺 文献 END  Einsteinの光量子論の解説(辻哲夫)


 



 



 上記の 2)論文§9 はこちらです。
 

 上記の 1)論文 はこちらです。

 

HOME   TOP 1. 2. 3. 4. 5. 6. 7. 8. 9. 10. 補遺 文献 END  Einsteinの光量子論の解説(辻哲夫)

















 

HOME   TOP 1. 2. 3. 4. 5. 6. 7. 8. 9. 10. 補遺 文献 END  Einsteinの光量子論の解説(辻哲夫)



 

HOME   TOP 1. 2. 3. 4. 5. 6. 7. 8. 9. 10. 補遺 文献 END  Einsteinの光量子論の解説(辻哲夫)

参考文献

  1. 物理学史研究会編「物理学古典論文叢書2 光量子論」東海大学出版会(1969年刊)
     本稿は、この中の4. A.Einstein著「輻射の問題の現情について」の引用です。
    Einstein, “Zum gegenwa¨rtigen Stand die Strahlungsproblem”, Physikalische Zeitschrift, 10, 185-193(1909)
     原論文は、下記URLにて閲覧可。これはプリンストン大学のアーカイブスの原本と英訳版のURLです
    https://einsteinpapers.press.princeton.edu/vol2-doc/385
    https://einsteinpapers.press.princeton.edu/vol2-trans/377#,
  2. Einstein,“Eine Theorie der Grundlagen der Thermodynamik”, Annalen der Physik, ver.4, vol.11, p170〜187, 1903年
     これは、本文中で自らの論理を展開するとき、参考として引用している論文です。プリンストン大学のアーカイブスの下記URLに原本と英訳版があります。
    https://einsteinpapers.press.princeton.edu/vol2-doc/578
    https://einsteinpapers.press.princeton.edu/vol2-trans/112#
     この論文の邦訳版を別稿で引用していますので参照されて下さい。
  3. 物理学史研究会編「物理学古典論文叢書2 光量子論」東海大学出版会(1969年刊)
     この中の1. A.Einstein著「光の発生と変脱とに関する一つの発見法的観察について」が光量子説の第1論文です。
  4. A.Pais 著「神は老獪にして・・・」産業図書(1986年刊)
    U.統計物理 4.“エントロピーと確率”、 5.“分子の実在性”
    Y.量子力学 19.“光量子”、 20.“アインシュタインと比熱”、 21.“光子”
  5. 広重徹 著 『物理学史T』〈新物理学シリーズ 6〉培風館、1968年3月 (原著1966年)
     この中から。 9-4.“アンサンブルの理論” を引用。
    広重徹 著 『物理学史U』〈新物理学シリーズ 6〉培風館、1968年3月 (原著1967年)
     この中から、 15-3.“光量子と比熱” を引用。
  6. シュポルスキー 著、玉木英彦他 訳 『原子物理学T』(増訂新版)東京図書、1996年
     この中の§116.“光の場のゆらぎ”と、§118.“アインシュタインの方程式の実験的検証”を別稿で引用。
  7. 荒木源太郎 著「原子物理学」倍風館(1963年刊)
     この中から第2章3.“光電子”、第4章1.“光電効果”2.“光子” を引用。
  8. 吉田伸夫 著「光の場、電子の海(量子場理論への道)」新潮社(2008年刊)
     第1章“粒子としての光”−アインシュタイン を別稿で引用。
  9. 吉田伸夫 著「思考の飛躍(アインシュタインの頭脳)」新潮社(2010年刊)
     第4章“光の統計力学を求めて”−量子論 を別稿で引用。
HOME   TOP 1. 2. 3. 4. 5. 6. 7. 8. 9. 10. 補遺 文献 END  Einsteinの光量子論の解説(辻哲夫)