HOME   .二次曲線の定義   2.離心率と準線   3.焦点との距離   4.反射面   5.極座標表示 

 このページを印刷される方はこちらのバージョンをご利用下さい。

二次曲線の性質

 質点の二次元運動を論じるときに必要な二次曲線の説明です。離心率eの変化に着目すると二次曲線を統一的に理解できる。

1.二次曲線とは

 平面上の直交座標(x、y)を用いて、実数係数の二次方程式 Ax2+2Hxy+By2+2Gx+2Fy+C=0 で表される曲線を二次曲線という。係数A、B、・・・ の値により、方程式を満たす点がまったく存在しない(x2+y2+1=0)、ただ1点になる(x2+y2=0)、一つの直線を表す(x2+2xy+y2=0)、二つの直線を表す(x2−y2=0)こともあるが、以下ではこのようにならない二次曲線を考える。
 二次曲線は AB−H2>0(楕円)、 AB−H2<0(双曲線)、 AB−H2=0(放物線)に応じて、適当な直交座標(x'、y')を用いることにより、(x'/a)2+(y'/b)2=1楕円、(x'/a)2−(y'/b)2=1双曲線、y'2=4px' 放物線となる。これらは、直円錐面をその頂点を通らない平面で切ったときの切口になり、円錐曲線と言われる。二次曲線は次の性質を持つ。

  1. 二次曲線は平面上で一つの定点(焦点)と定直線(準線)からの距離の比が一定な点の描く図形。一定な比の値を離心率eという。離心率が0<e<1(楕円)、e=1(放物線)、e>1(双曲線)の何れかである。
  2. 二次曲線は二つの定点(焦点)からの距離の和が一定(楕円、放物線)、差が一定(双曲線)の点の描く曲線である。ただし放物線は楕円の一方の焦点が無限の彼方に行った場合である。
  3. 二次曲面を鏡の面とすると、一方の焦点から出た光線が二次曲線により反射されて進む方向は、他方の焦点の方向(楕円)、無限の彼方の方向、つまり平行光線(放物線)、他方の焦点から出たと見なせる光線の進む方向(双曲線)の何れかになる。

 

HOME   1.二次曲線の定義   .離心率と準線   3.焦点との距離   4.反射面   5.極座標表示 

2.焦点と準線からの距離の比(離心率e)が一定な点の図形

()離心率eによる図形の変化

 平面上で一つの定点(焦点)と定直線(準線)からの距離の比が一定な点の描く図形が二次曲線である。一定な比の値を離心率eという。焦点Fの位置を(f、0)=(10、0)、準線をx=0の直線として、離心率eを変えた図を下に示す。0<e<1(楕円)、e=1(放物線)、e>1(双曲線)

 

()図形の対称性

 この図において条件を満たす点を数式で求めるとxおよびyについての二次方程式になり、同一のyに対して二つのx、また同一のxに対して二つのyが解として存在する。次にyを一定と考えてxについての解を求めてみる。

 これらの値を幾何学的に解釈すると図形はx=f/(1-e2)の直線に対して左右対称になることが解る。そのため、上で求めた解(x、y)を与える焦点と準線がもう一組存在する(放物線の場合は無限の彼方に)ことが解る。当然の事だが、それらは、元の焦点・準線の組と、x=f/(1-e2)の直線に対して対称な位置にある。二組の焦点(赤点)・準線(青線)と対称線x=f/(1-e2)(緑線)を下図に示す。

 

()離心率eによる焦点・準線・対称線の位置変化

 下図は焦点・準線・対称線のx座標が離心率eでどのように変化するかを示したものである。この図において放物線の場合はもう一方の焦点・準線と対称線は無限の彼方にあると考えればよい。

 離心率eによって焦点・準線・対称線の位置がどのように変化するかを検討すれば、二次曲線を統一的に理解する事ができる

 

()二次曲線の標準形

 上で述べたように、二次曲線の図形は対称線 x=f/(1-e2) に対して左右対称になる。そのため座標の原点を(f/(1-e2),0)に移動して、新たにx’y’座標をとると、方程式をx’y’に関して対称的な形にすることができる。

これらは、高校数学で習う馴染みの式である。ここでc/a=eとなり、高校で習う離心率の定義に一致する。

 e=1 の放物線の場合(1-e2)=0となるためa、b、cは無限大になり、この形の式は使えない。放物線のもう一方の焦点・準線と対称線は無限の彼方に行ってしまうからである。そのため、放物線の場合だけは、そのようにする必然性は特に無いのだが便宜的に座標原点を放物線とx軸との交点(f/2,0)に移動する。そうすると

 これらの標準形が一番理解しやすいので、高校数学ではこの形から習う。しかし、このように表すことができるのも、二次曲線の図形は対称線 x=f/(1-e2) に対して左右対称になるからこそ出てきた性質で、本来の図形2.(1)から入った方が解りやすい。その方が物理で重要な次項(3.や4.)の性質の理解に適している。

 

)円←→楕円←→放物線←→双曲線 の関係

 離心率e=PF/PHを0←→1←→∞で変化させたときの、円←→楕円←→放物線←→双曲線の関係を幾つかの例で説明する。

  1. 準線gと楕円の左側焦点Fの位置を固定して離心率eを0→1→∞で変化させる。
     左側の焦点と準線の位置を固定していますので、e→0とともに右側焦点F’は左側焦点Fの位置に近づきe=0のときFに一致する。そのため円は凝縮した1点となる
     また、e→1とともに右側の焦点F’は右方へ移動していく。焦点F’が右側のx→+∞となった場合が図中の緑色の線の放物線です。

    さらに、離心率がe>1となると双曲線になる。そのあたりの様子は2.(1)の図を復習されたし。
  2. 楕円の頂点Aと左側焦点Fの位置を固定(距離AF=a(1−e)=一定≡a0とする)して、eを0→1→∞で変化させる。
     頂点Aと楕円の中点Cとの距離はAC=aはa=a0/(1−e)だから、e=0のときFを中心とする半径a0の円となる。楕円の準線gは、e=0のとき左方無限遠の位置にあり、e→1とともにAの左側a0の位置に近づく。
     また、e→1とともに中点Cは左側焦点Fから離れて右方向の無限遠へ移動していく。右側焦点F’も距離FF’=2c=2aeだけFから右方へ離れ対置に在りやがて無限遠に去る。 焦点F’の位置がx→+∞となった場合が図に緑色曲線で表した放物線です。
     さらに、離心率をe>1として増大させていくと、一方の焦点F’はx=−∞の位置に現れ、そこからx→−0に近づいていく双曲線となる。
     いずれの曲線も同一の点Aにおいてx軸(楕円の長軸)に垂直に交わる。その当たりは別稿「質点の二次元運動」3.「惑星探査機の軌道と飛行速度」2.を参照されたし。
  3. 楕円の頂点Aと右側焦点F’の位置を固定(距離AF’=a(1+e)=一定≡a0とする)して、eを0〜1で変化させる。
     e=0のとき楕円は半径a0の円となる。e→1とともに、FはF’から離れて左側に移動し頂点Aに近づく。e=1で左側焦点Fは頂点Aに一致する。e=1になると楕円は長さAF’の線分に縮退し、これが放物線に相当する
     楕円の準線gとg’は、e=0のとき左右無限遠の位置にあり、e→1とともにgは左からAの位置に、g’は右からF’の位置に近づく。

     これと前記2.を合わせたものが、原点に逆二乗法則に従う向心力中心(質量中心)が存在するとし、質点(人工衛星)にA点でx軸(楕円の長軸)に垂直な初速度を与え、その初速度を変化させたときに質点(人工衛星)がたどる軌道が変化していく様子を示している。
     A点において与えるx軸(楕円の長軸)に垂直な初速度を0から増大させて行く。最初A点と原点(焦点F’)を結ぶ直線だったものが原点F’とF1.0→F0.8→F0.6→F0.4→F0.2→F’を二つの焦点とする楕円軌道となる。二つの焦点が一致した時が円軌道です。さらにA点で与える速度を増やすと楕円の一方の焦点は原点を通過してxの正側に移動してx→+∞へ移動して行きます。二つの焦点が原点で一致して円軌道になった後再び原点とxの正側にある焦点からなる楕円軌道になります。右側焦点位置がx→+∞へなるとともにやがて放物線軌道となる。そしてさらにA点で与える速度を増大させると右側のx=+∞に移動した焦点は図の左側x=−∞に移動してからx→−0に近づく。そのときの軌道は双曲線軌道となる。
     x軸に垂直な初速度をあたえたのだから、以上のいずれの段階の軌道もA点においてx軸に垂直に交わる。このあたりの軌道の変化の様子は別稿「質点の二次元運動」3.「惑星探査機の軌道と飛行速度」2.を参照されたし。
  4. 楕円の二つの焦点FF’を固定(距離FF’=一定≡2c0とする)して、eを0〜1で変化させる。
     e→0のとき楕円は半径が無限大の円となる。またe→1で直線FF’に縮退し、これが放物線に相当する。
     準線gとg’はe=0のとき左右の無限遠にあり、e→1とともにgは左側焦点Fに、g’は右側焦点F’に近づく。

    この場合にはe>1は意味をなさないので、双曲線軌道は現れない。
  5. 楕円の中心Cを固定し、かつPから二つの焦点までの距離の和 PF+PF’=一定(≡2a0)のもとで、eを0〜1で変化させる。これは半長軸aを一定にして半短軸bを縮小することと同じです。
     e→0のとき楕円はABを直径とする円となる。距離の和が一定だから、e→1のときの楕円の焦点は両端のAとBに移動し、この二つの焦点を結ぶ一本の直線に縮退する。これが放物線に相当する
     準線gとg’はe=0のとき左右の無限遠にあり、e→1とともにgは左側焦点F(A点)に、g’は右側焦点F’(B点)に近づく。

    この場合にもe>1は意味をなさないので、双曲線軌道は現れない。
     上記の楕円を右側の焦点を一致させて描画すると下図のようになる。

     これは前期量子論に於いて原子核を回る電子軌道の描像として重要になる。ただし、離心率はこの図と異なり、例えばn=4の場合、aに対してbがb=a(=3)、b=3/4・a(=2)、b=2/4・a(=1)、b=1/4・a(=0)となる値から計算される離心率となる。

 

HOME   1.二次曲線の定義   2.離心率と準線   .焦点との距離   4.反射面   5.極座標表示 

3.二つの焦点から図形上の点までの距離の関係

 これは2.(2)で述べたように、二組の焦点・準線が対称線に対して対称な位置にあることから出でくる性質である。図形を描くとき準線gg’は固定されているので、それらの間隔は常に一定である。そのために図形の点は以下の条件を満たす点だと言うことができる。

()楕円=距離の和が一定

 すでに述べた焦点・準線からの距離による楕円(e<1)の定義より PF=ePH、PF’=ePH’である。これらを用いると、準線gg’の間隔は一定だから e(PH+PH’)=一定(gg’の間隔のe倍)=PF+PF’=2a となる。これは、まさに二つの焦点からの距離の和PF+PF’が一定値2aになることを意味する。

[別証]x'y'座標を用いるとF(-c,0)、F'(c,0)だから、PF+PF’=2a の条件式は {(x'+c)2+y'2}1/2+{(x'-c)2+y'2}1/2=2a となる。これを変形して {(x'+c)2+y'2}1/2=2a-{(x'-c)2+y'2}1/2 となる。これの両辺を二乗して整理すると {(x'-c)2+y'2}1/2=a-(c/a)x' となる。もう一度両辺を二乗して整理すると (a2-c2)x'2+a2y'2=a2(a2-c2) となる。ここで a2-c2=b2 の関係式を用いると (x'/a)2+(y'/b)2=1 となり、楕円の標準形が得られる。このことから確かに上記の性質が在ることが解る。

 

()放物線=(距離の和が一定)=焦点と準線までの距離が等しい=(距離の差が一定)

 すでに述べたように放物線は楕円の特別な場合で、一方の焦点・準線が無限の彼方へ移動したものであると考えることができる。そのとき、放物線(e=1)の定義は PF=PH、PF’=∞=PH’である。これらを用いると、準線gg’の間隔は無限大になるが、PH+PH’=PF+PF’ → PH=PF を意味する。

[別証]x'y'座標を用いるとF(p,0)だから、PH=PF の条件式は x'+p={(x'-p)2+y'2}1/2 となる。この両辺を二乗して整理すると 4px'=y'2 となり、放物線の標準形が得られる。このことから確かに上記の性質が在ることが解る。

 

()双曲線=距離の差が一定

 双曲線の場合も、焦点・準線からの距離による双曲線(e>1)の定義より PF=ePH、PF’=ePH’である。これらと準線gg’の間隔は一定であることを用いると e(PH’−PH)=一定(gg’の間隔のe倍)=PF’−PF=2a となる。これは、まさに二つの焦点からの距離の差が一定値2aになることを意味する。

[別証]x'y'座標を用いるとF(c,0)、F'(-c,0)だから、PF’-PF=2a の条件式は {(x'+c)2+y'2}1/2-{(x'-c)2+y'2}1/2=2a となる。これを変形して {(x'+c)2+y'2}1/2=2a+{(x'-c)2+y'2}1/2 となる。これの両辺を二乗して整理すると {(x'-c)2+y'2}1/2=-a+(c/a)x' となる。もう一度両辺を二乗して整理すると (a2-c2)x'2+a2y'2=a2(a2-c2) となる。ここで c2-a2=b2 の関係式を用いると (x'/a)2-(y'/b)2=1 となり、双曲線の標準形が得られることから確かに上記の性質が在ることが解る。

 

HOME   1.二次曲線の定義   2.離心率と準線   3.焦点との距離   .反射面   5.極座標表示 

4.光線の反射曲面としての二次曲線

 二次曲面を鏡の面とすると、一方の焦点から出た光線が二次曲線により反射されて進む方向は、他方の焦点の方向(楕円)、無限の彼方の焦点の方向、つまり平行光線(放物線)、他方の焦点から出たと見なせる光線の進む方向(双曲線)の何れかになる。3.で説明した性質(二つの焦点から図形上の点までの距離の関係)から出てくる結論である。

()楕円=点光源の光を一点に集める

 

()放物線=点光源の光を平行光線にする

 

()双曲線=点光源の虚像をつくる

 

HOME   1.二次曲線の定義   2.離心率と準線   3.焦点との距離   4.反射面   .極座標表示 

5.極座標表示の二次曲線

(1)極座標表示

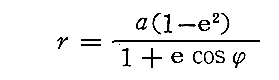
物理で利用するとき便利な二次曲線の極座標表示の説明です。

焦点Fを極座標の原点、動径の方位角θをx軸を基準に測ると

となる。これは 離心率 e の値に応じて楕円、放物線、双曲線を表す。
 ここでさらに2.(2)のグラフ図を参照すると

となる。

補足説明1
 天体の運動が楕円軌道(e<1)の場合、“公転周期“Tと軌道要素である“長軸半径”a、“離心率”eが解ると、楕円軌道方程式

で表される地点(r,φ)の“公転速度”a 、e 、φ 、T の関数として表せます。それは

となります。この式の証明は別稿「ブラックホール質量の決定法」2.(4)2.2.[補足説明1]をご覧下さい。

(2) 引力逆二乗法則 に従う軌道(楕円軌道)

 二次曲線の極座標表示の応用で最も重要です。、太陽のまわりを回る惑星や、原子核から距離の2乗に反比例する引力を 受けて、原子核のまわりを回る電子は、一般に楕円軌道を描く。
 これらの現象が楕円軌道となる事の力学に依る証明は、楕円軌道の発見と万有引力の法則(「プリンキピア」の説明)を参照されたし。
 ここでは、荷電粒子の持つ電荷 e との混同を避けるために、離心率を ε で表し, ε=0.9 の楕円を例にして説明する。更に、方位角φを下図のように取る。






 [逆二乗法則の下での楕円軌道形状]と、[エネルギー保存則]および[角運動量保存則]との関連に付いてこちらを参照されたし。

(3) 斥力逆二乗法則、あるいは 引力逆二乗法則 に従う軌道(双曲線軌道)

 ここでも、荷電粒子の持つ電荷 e との混同を避けるために、離心率を ε で表し, ε=1.1 の双曲線を例にして説明する。更に、方位角φ、φ”を下図のように取る。
 逆二乗法則 に従う軌道が双曲線軌道となる事の力学に依る証明は、楕円軌道の発見と万有引力の法則(「プリンキピア」の説明)を参照されたし。


(4) 引力逆二乗法則 に従う場合(放物線軌道)

 引力逆二乗法則に従う時、離心率ε=1.0 の 放物線軌道 を取る事が可能です。
 すでに述べたように放物線は楕円の特別な場合で、一方の焦点・準線が無限の彼方へ移動したものです。そのとき、放物線(ε=1.0)の定義は PF=PH、PF’=∞=PH’である。これらを用いると、準線gg’の間隔は無限大になるが、PH+PH’=PF+PF’ → PH=PF を意味し楕円の特別な場合である事が解る。


 x'y'座標を用いるとF(p,0)だから、PH=PF の条件式は x'+p={(x'-p)2+y'2}1/2 となる。この両辺を二乗して整理すると 4px'=y'2 となり、放物線方程式の標準形が得られる。

HOME   1.二次曲線の定義   2.離心率と準線   3.焦点との距離   4.反射面   5.極座標表示