HOME   Einstein著「一般相対性理論の基礎」(1916年)   矢野「相対性理論」7.   サイトマップ

一石賢著「道具としての相対性理論」日本実業出版者(2005年刊)
第8章“一般相対性理論の具体的で重要な成果”p214〜234からの引用です。




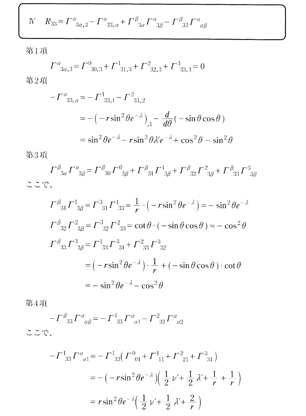
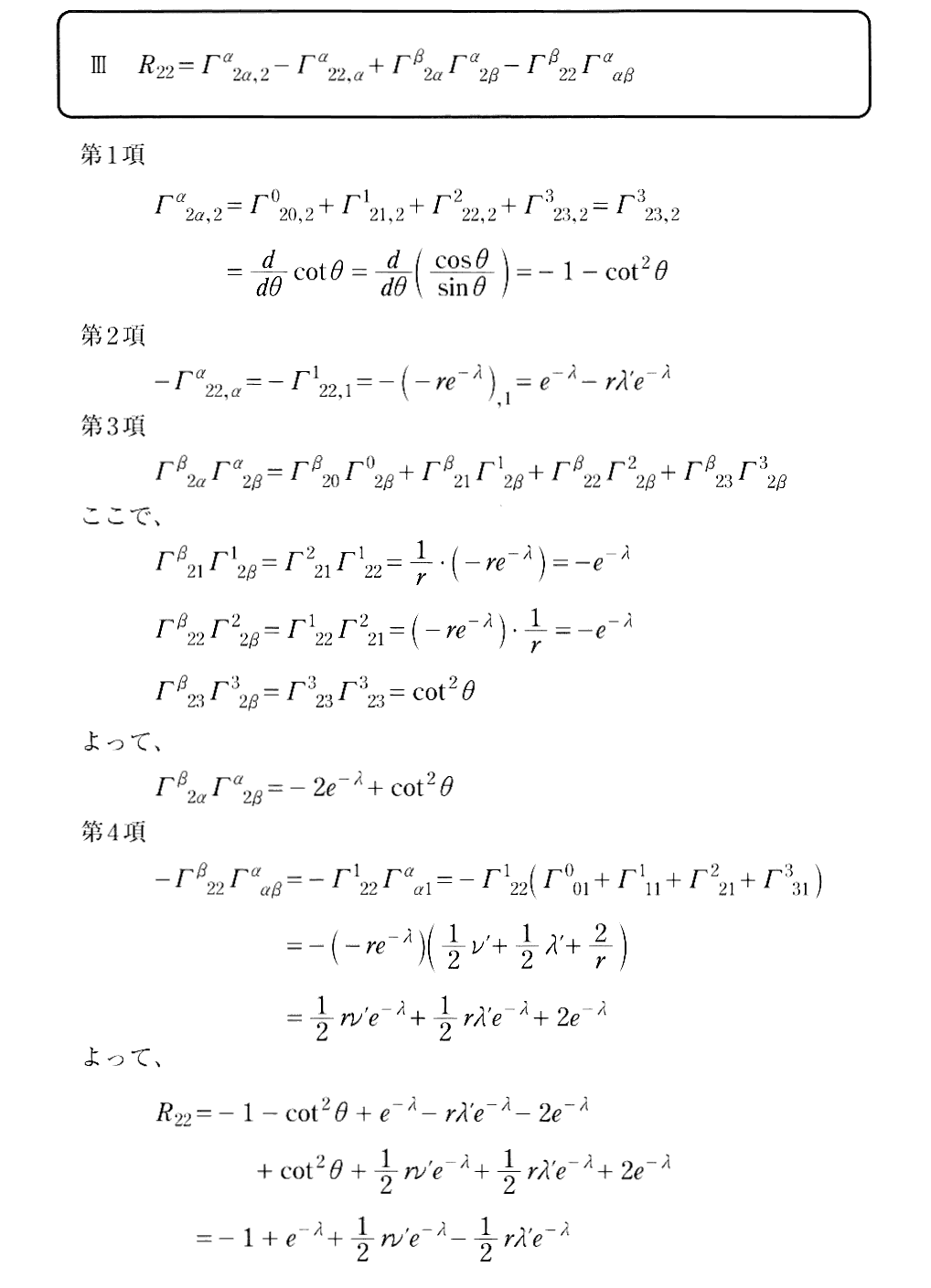
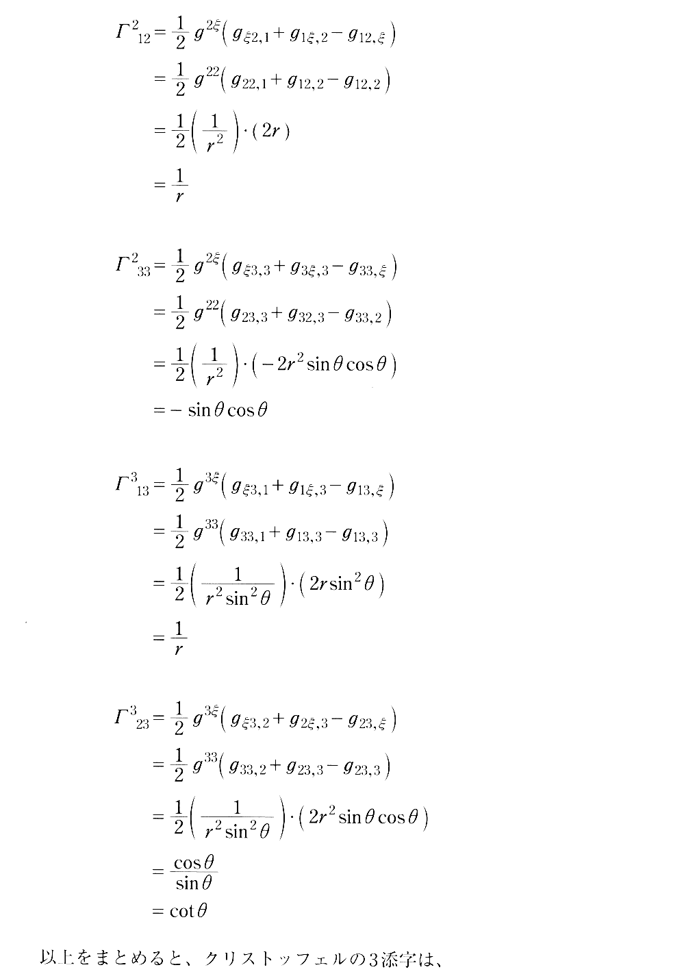
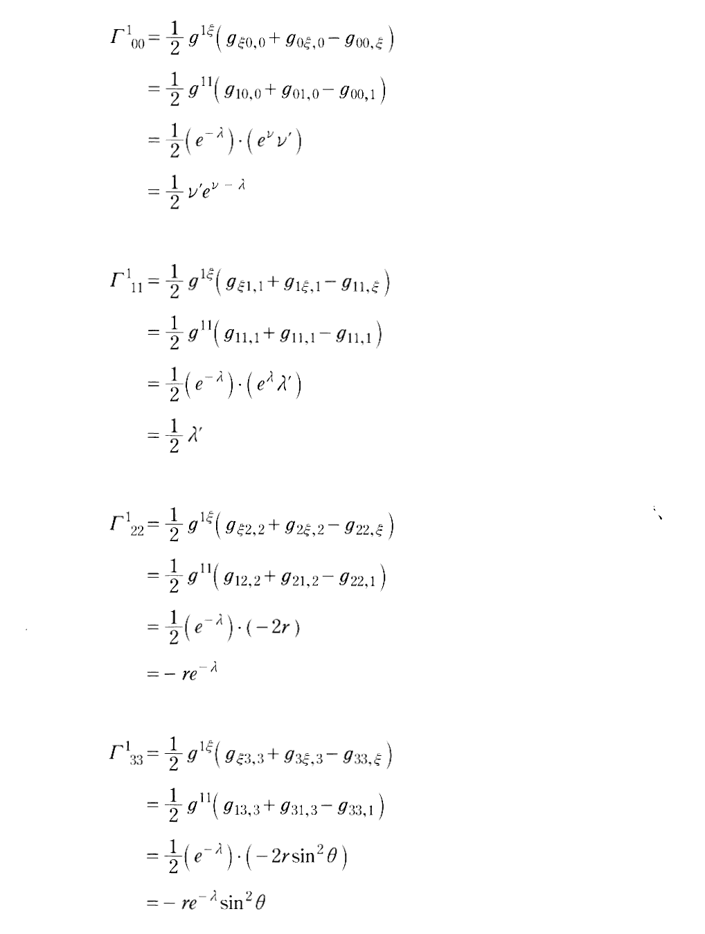
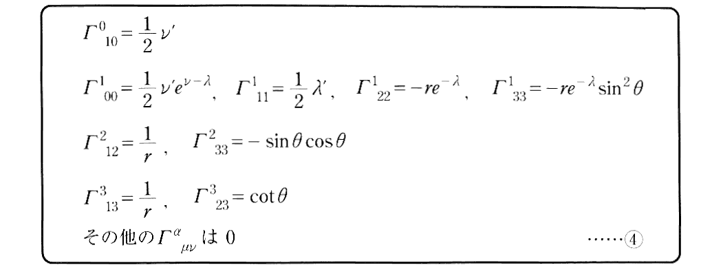
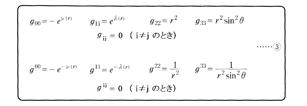
217-02





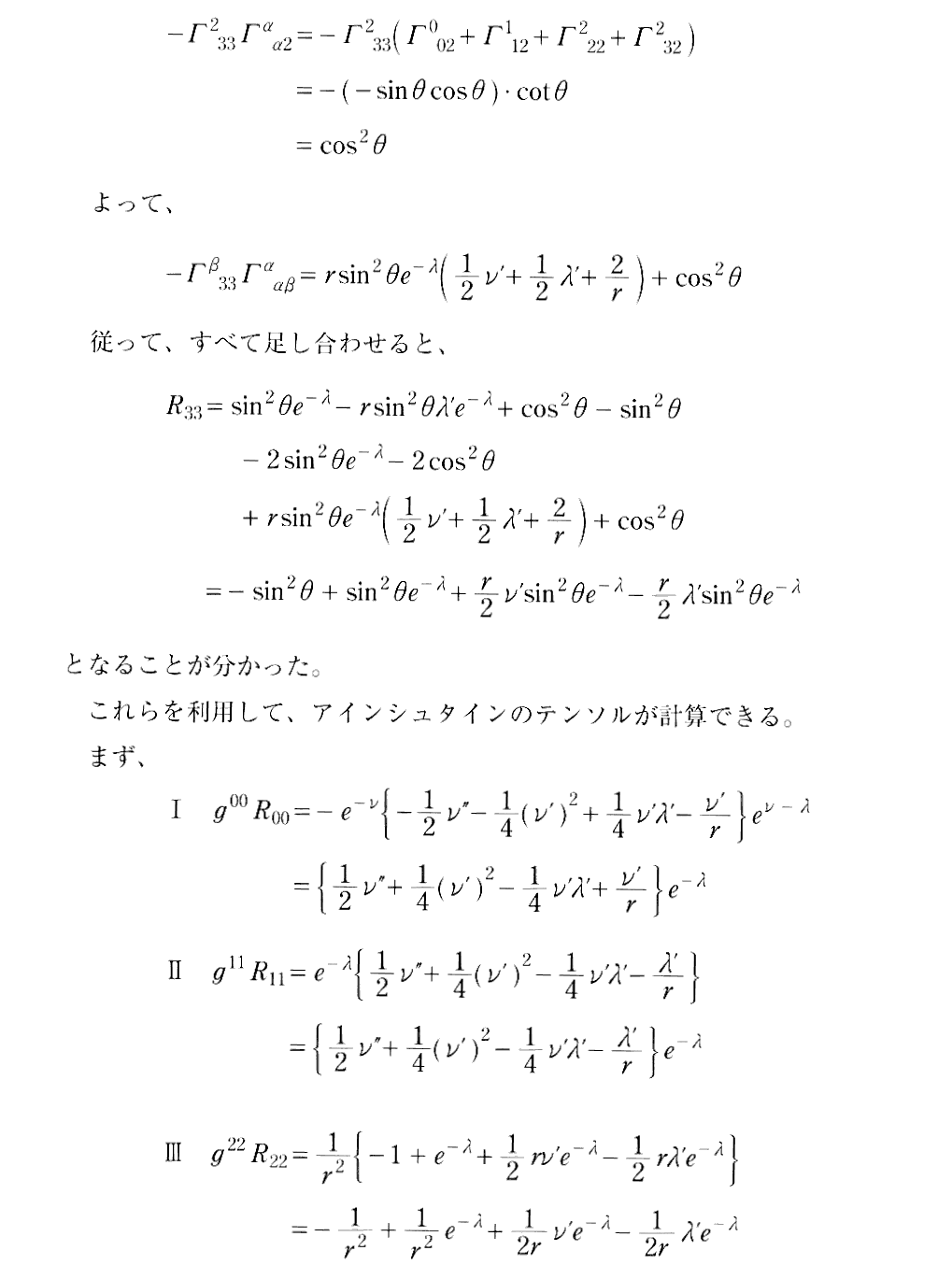
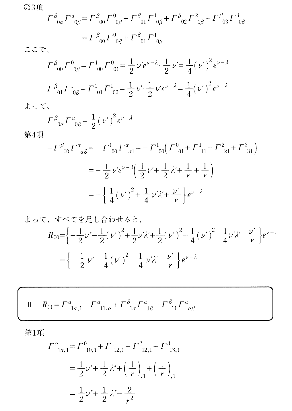
221-02









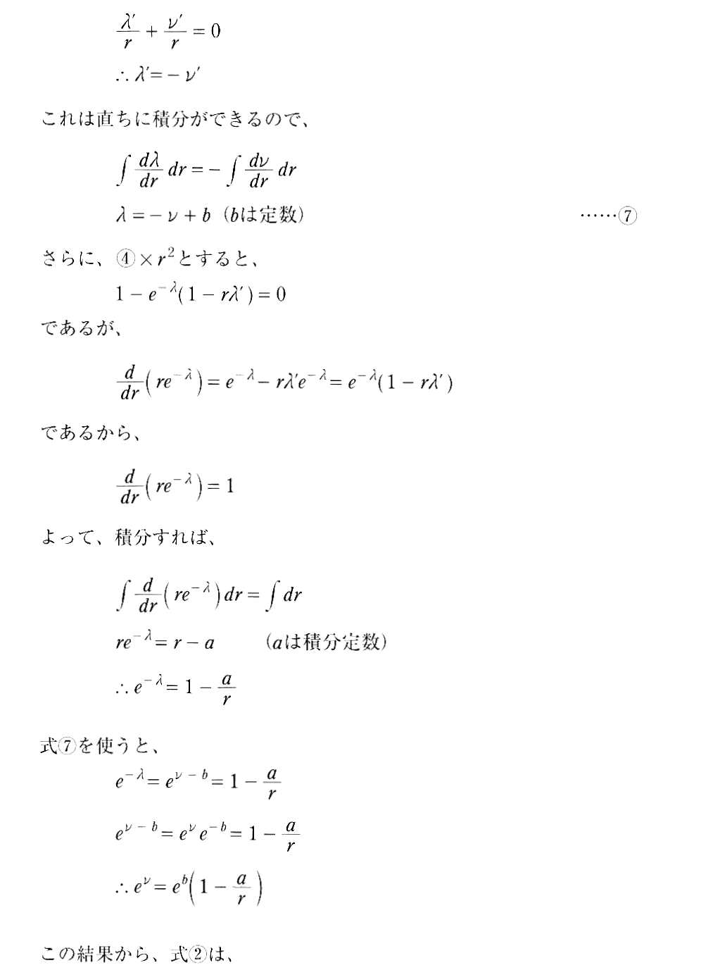
230


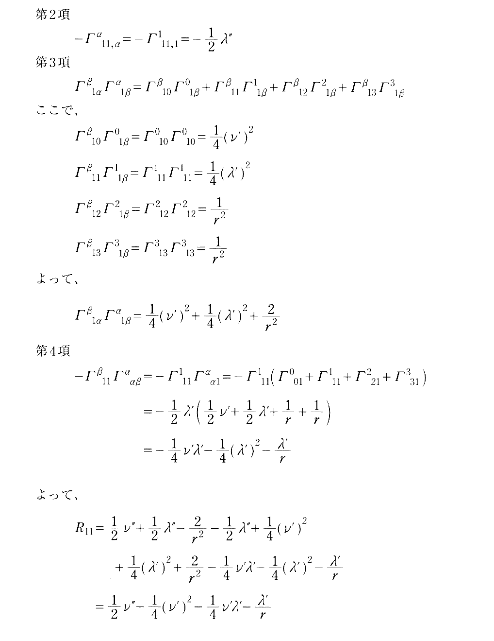
232

233

HOME   Einstein著「一般相対性理論の基礎」(1916年)   矢野「相対性理論」7.   サイトマップ