HOME 平行移動)()()()() 2.クリストッフェル記号)()()() 3.反変ベクトル平行移動 4.共変微分)()()()() 5.曲率テンソル)()() 6.文献  フレーム版

平行移動とリーマン幾何学

 本稿は多田知記氏の文献1.§12〜§23 のほぼそのままの引用です。本稿では“平行移動”の概念によってクリストッフェル記号が導入され、共変微分が説明されています。おそらく、レヴィ=チヴィタの説明(イタリア語なので私には読めませんが)もかくの如くなのでしょう。多田氏の説明はとても解りやすいので紹介します。ただし、さらに解りやすくなるように、章・節番号を振り直して題目を付け直し、内容も少し改変しています。

1.平行移動
 (1)平行移動とは何か
 (2)曲線座標上でのベクトルの平行移動
 (3)変分ベクトルCの定義
 (4)平行移動の例
 (5)《共変ベクトルの平行移動によるクリストッフェル記号の定義》

2.クリストッフェル記号(接続係数)
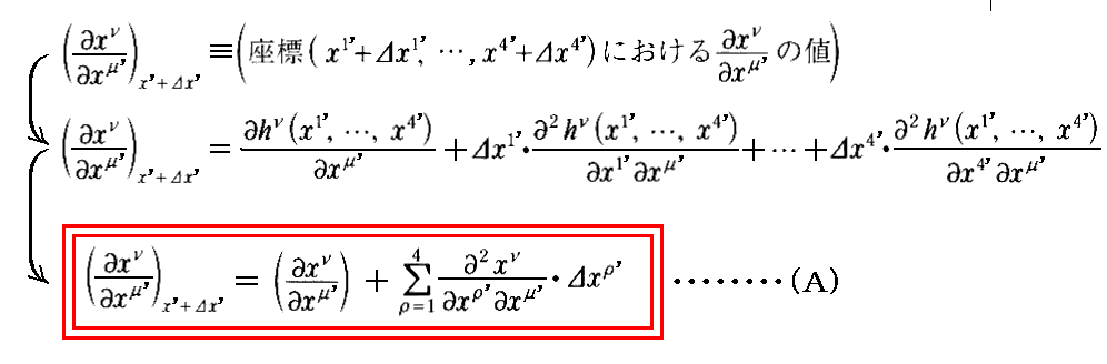
 (1)曲線座標間の座標変換とテイラーの定理
 (2)クリストッフェル記号の座標変換式
 (3)クリストッフェル記号の対称性
 (4)《クリストッフェル記号と基本計量テンソルの関係》

3.反変ベクトルの平行移動

4.共変微分
 (1)ベクトルの共変微分係数
 (2)ベクトルの共変微分係数の座標変換則
 (3)テンソルの共変微分係数
 (4)テンソルの共変微分係数の座標変換則
 (5)計量テンソルの共変微分はゼロ

5.曲率テンソル
 (1)《反変ベクトルの平行移動によるクリストッフェル記号の定義》
 (2)《曲率テンソル》
 (3)リッチテンソルとスカラー曲率

6.参考文献

補足説明
 本稿は、別稿「基底ベクトル・双対基底ベクトルと反変成分・共変成分(計量テンソル・クリストッフェル記号・共変微分とは何か)」4.章と対比しながら読まれる事を勧めます。そこでは、本稿と異なって“基底ベクトルの変化の様子”からクリストッフェル記号共変微分が導入され、本稿とは全く異なった観点で論じられています。
 
 さらに補足しますと、上記別稿の前半部1.章〜3.章の内容は、本稿でもそのまま成り立ちます。多田氏の文献1.では、その前半部§1〜§11で、その事が展開されているのですが、その部分の本稿への引用は差し控えています。本稿でその部分が必要になった場合は、上記別稿の前半部1.章〜3.章から引用します。
 
 もう一度強調しますが、本稿ではレヴィ=チヴィタの1917年論文の意図にそって、上記別稿の後半部4.章に相当する部分が“平行移動”という全く別の見方で論じられています

 

HOME 平行移動(1)()()()() 2.クリストッフェル記号)()()() 3.反変ベクトル平行移動 4.共変微分)()()()() 5.曲率テンソル)()() 6.文献

1.平行移動

)平行移動とは何か





 

HOME 平行移動)(2)()()() 2.クリストッフェル記号)()()() 3.反変ベクトル平行移動 4.共変微分)()()()() 5.曲率テンソル)()() 6.文献

(2)曲線座標上でのベクトルの平行移動




補足説明
 本節の図から明らかな様に、ベクトルBから平行移動後のベクトルAへ戻るための変分ベトクルCは当然空間を分割する網目の変化の様子に関係します。
 ところで網目の変化していく様子は、各点において網目の単位セルを構成する“基底ベクトル”の変化の様子に依存します。だから次節(3)で導入する変分ベクトルCを表現するための係数C〜C《基底ベクトルの変化の様子を表す係数》に関係するはずです。係数C〜Cを更に一般化した係数(1.(5)節で導入)であるΓλμνも当然《基底ベクトルの変化の様子を表す係数》に関係するはずです。
 これらの事は、本稿の平行移動におけるクリストッフェル記号の導入からはなかなか読み散れませんが、やがて本稿で導入するクリストッフェル記号は別稿「基底ベクトル・双対基底ベクトルと反変成分・共変成分(計量テンソル・クリストッフェル記号・共変微分とは何か)」4.(4)で導入したクリストッフェル記号と同じものであることが解ります

 

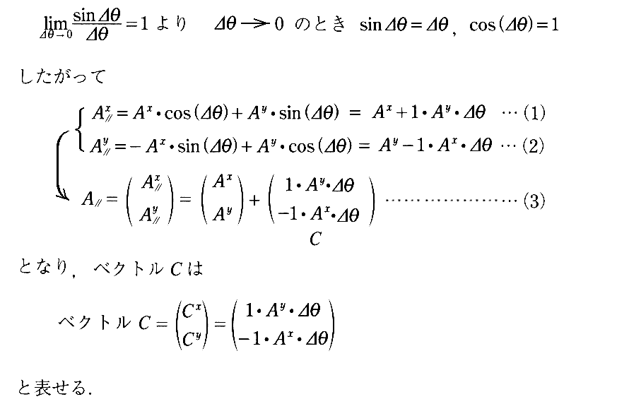
HOME 平行移動)()(3)()() 2.クリストッフェル記号)()()() 3.反変ベクトル平行移動 4.共変微分)()()()() 5.曲率テンソル)()() 5.文献

(3)変分ベクトルCの定義



補足説明
 多田氏の説明はとても解りやすいのですが、上記の図は誤解を招きやすいので補足します。
 上記の図はあくまでユークリッド空間内での平行移動の様子を示しており、図中の斜交曲線座標もユークリッド空間内に引かれた斜交曲線座標です。そのためベクトルAベクトルAは、見ての通り平行になっています。
 しかし、平行移動の概念は歪んだ空間(リーマン空間)に於いても定義できるものですし、そのときの座標曲線はリーマン空間内に引かれた斜交曲線座標です。その様に歪んだ空間でのベクトルの平行移動がどのように図示されるのかは難しいところです。単純に平行になるように図示すれば良いと言うものではありません。
 それは二次元リーマン空間である曲面上でのベクトルの平行移動を考えてみれば解ります。曲面上での平行移動の例として良くとりあげられる下図の状況を検討されれば解ります。このとき経線は測地線です。また赤道も測地線です。もちろん任意の緯度に引いた緯度線は測地線ではありません。緯度0度の緯度線である赤道線だけが測地線です。

 だから平行移動をユークリッド空間での平行移動のイメージで捉えていると分けが解らなくなります。以後の議論でも平行移動がユークリッド空間での平行移動の様なものであるとは、どこにも書かれていないことに注意して下さい。
 
 補足しますと、上述の矢印の移動は“測地線”に沿っており、常にその移動が沿っている測地線と同一角度を保っていますから、広義の“平行移動”です。広義の平行移動と測地線との関係は 別稿3.(8)4. や 別稿6.(4)2. などをご覧下さい。

 

HOME 平行移動)()()(4)() 2.クリストッフェル記号)()()() 3.反変ベクトル平行移動 4.共変微分)()()()() 5.曲率テンソル)()() 5.文献

(4)平行移動の例









補足説明
 次の段落で、“共変ベクトル”“反変ベクトル”がいきなり出てきて面食らわれるかも知れません。これらの意味については別稿「基底ベクトル・双対基底ベクトルと反変成分・共変成分(計量テンソル・クリストッフェル記号・共変微分とは何か)」2.をご覧下さい。
 “共変ベクトル”の場合は成分表示の添字を右下に、“反変ベクトル”の場合は成分表示の添字を右上に記すことになっています。

 

HOME 平行移動)()()()(5) 2.クリストッフェル記号)()()() 3.反変ベクトル平行移動 4.共変微分)()()()() 5.曲率テンソル)()() 5.文献

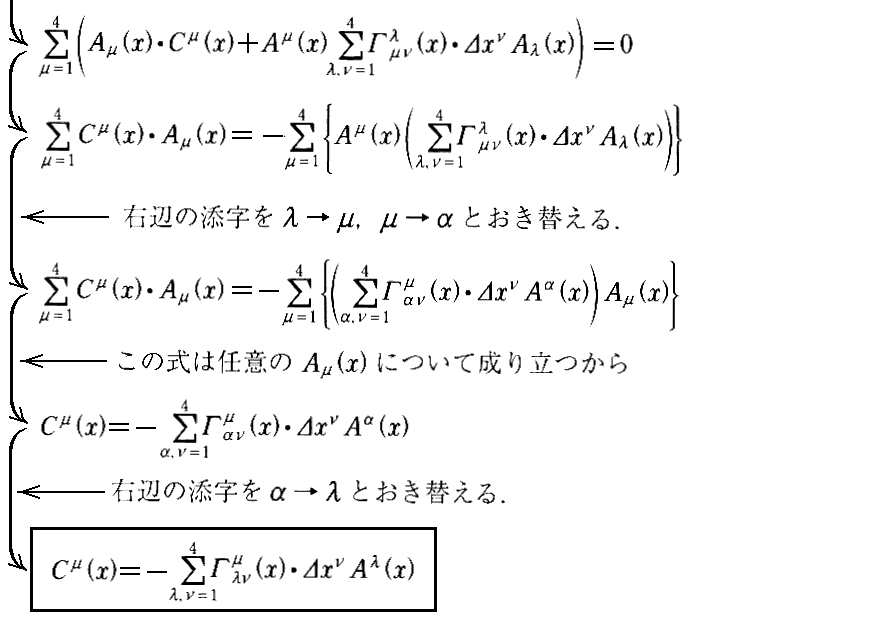
(5)共変ベクトルの平行移動によるクリストッフェル記号の定義





 この定義式は後で、《計量テンソルとの関係式の導入2.(4)や、《反変ベクトルの平行移動のクリストッフェル記号の導出3.や、《共変微分係数の導入4.(1)2.4.(1)3.4.(3)で繰り返し利用されます。

補足説明1
 ここで、いきなり“クリストッフェル記号”が出てきますが、難しく考えないで下さい。前記のそのような呼び方にしただけです。 Γλμν には3個の添字μ、ν、λがありますが、 μΔν・Aλ(x) に関係する係数である事を明示する為に書き添えられています。
 2次元の場合は2×2×2=8組ですみますが、4次元の場合は4×4×4=64組 の係数が必要になりますので係数Γλμν は64個在ります。式中の係数 Γλμν の添字λμν単にそれぞれを区別するために付けてあるだけです。
 
 ここでは“平行移動の概念”を用いて導入されているので、別稿「基底ベクトル・双対基底ベクトルと反変成分・共変成分(計量テンソル・クリストッフェル記号・共変微分とは何か)」4.(4)の導入法と同じでは無いのですが、3つの添字で区別する考え方は同じです。
 
 
 注意して欲しい事は、ここで言う“平行移動”は、ユークリッド空間に於ける平行移動ではなくて、リーマン空間に対して一般化されたものだということです。
 そのとき上記の式が平行移動を定義すると言っても、今までの多田氏の説明から明らかな様に、これは元々ユークリッド空間に於ける平行移動というものを考えて、クリストッフェル記号を定義している式でした。いままでの説明に斜交曲線座標が用いられていますが、これらはユークリッド空間に引かれたものであったことは確かです(1.(3)[補足説明]参照)。
 しかし、今からの議論では、これをリーマン空間に一般化したクリストッフェル記号の定義とし、そのクリストッフェル記号を通して、リーマン空間での平行移動を定義していると考えます。斜交曲線座標もユークリッド空間ではなくてリーマン空間に引かれたものと考えます。
 だから上記の定義式は、わけの解らないクリストッフェル記号で平行移動を定義し、その様にして定義されたわけの解らない平行移動でもって、もう一度クリストッフェル記号を定義している式だと言えます。
 
 その当たりを考慮すると、“平行移動”の定義としては、別稿「テンソル解析学(絶対微分学)」6.(4)1.矢野先生の説明の様にならざるを得ないのかもしれません。そこの平行移動の定義は非常に回りくどいのですが、数学的に厳密です。本稿の“平行移動”の定義は解りやすいのですが、かなり曖昧です。
 
 この当たりについては、別稿「微分幾何学3(曲面幾何学)」3.(8)をご覧下さい。そこの[定義]で説明されている様に、もともと、共変微分 δv=0 によって定義されるベクトル平行性“レヴィ=チヴィタの平行性”と言います。
 だから、そこの図の2次元リーマン空間(曲面)で平行移動を説明すると、点Pに於けるベクトル をリーマン空間(2次元)中のQ点に平行移動したものは下図の赤矢印(点線で描かれています)になります。

だから、いわゆるユークリッド空間(上図の2次元接平面)に於ける平行移動ベトクルとは異なります。
 それでは、3次元リーマン空間での“平行移動”はどうなるのかと言うことですが、3次元リーマン空間中のP点に於ける“接ユークリッド空間”が想像できるかにかかっています。
 そのときリーマン空間の各点に於ける接ユークリッド空間は互いに別のユークリッド空間です。ちょうど2次元リーマン空間の各点に於ける接平面がごく一部でしか有効でないのと同じです。だからリーマン空間においては、ベクトルの平行性は非常に近い2点におけるベクトル同士の間だけで定義されています。
 P点に於けるベクトルを3次元リーマン空間中のQ点に平行移動したベクトルの接ユークリッド空間への射影がこの稿で今まで説明してきたになります。だからそのものが、3次元リーマン空間に於ける平行移動ベクトルというわけではありません。とは違ったものになります。このことの最終的な解決については、4.(1)2.[補足説明2]をご覧下さい。
 
 
 別稿「テンソル解析学(絶対微分学)」6.(5)2.[補足説明4]の図

はその当たりの事情を示しています。
 もう少し補足しますと、上図の曲線が“測地線”であれば、広義の“平行移動”の場合、ベクトルと移動が沿っている測地線とは同一角度を保ちます。しかし、広義の“平行移動”でも、それが沿う曲線が測地線ではない場合ベクトルと移動曲線のなす角は一定値を保ちません。このことにつきましては別稿6.(4)2.[補足説明1]や別稿3.(8)4.[補足説明1]で注意しました。
 そのとき、上図の移動経路 P→P1→P3 と P→P2→P3 のそれぞれが測地線の場合、その移動曲線とベクトルのなす角は一定値を保ってP3まで平行移動しますが、その場合でも空間が曲がっている場合には移動後の2つのベクトルが一致しないことが生じると言っているのです。これは1.(3)[補足説明]で取り上げた簡単な例からも明らかです。
 
 いま、歪んでいない二次元ユークリッド空間(単なる平面)を考えてみると上記の意味はさらに良く解ります。
 平面上に引かれた下図の様な“直線”はすべて“測地線”になります二次元ユークリッド空間(平面)の場合の測地線は真っ直ぐな線ならばどの方向を向いていてもよく、直線ならばすべて測地線です。しかし曲線は絶対に測地線とは成りません。測地線とは二点間を最短距離で結ぶ線なのですから。
 下図においてどの経路も測地線に沿った平行移動ですから、測地線とベクトルが交わる角度は常に一定値を保ちます。そのため移動の様子は

となります。
 このとき、移動させる経路が曲線の場合上記の折れ線をもっと細かく分割して極短い直線の連なりと見なせば良い。その場合、各直線部の移動の間はそれぞれの部分で直線素片とベクトルは同一の角度を保って平行移動します。しかし、その事から、その折れ線の連なり全体を一つの曲線と見なせば、その曲線に沿ってのベクトルの平行移動は、曲線素片とベトクルのなす角は移動と共に変化していくことになります。
 移動する経路が直線を折れ線状に繋いだものであれ、滑から曲線であれ、いずれの場合も、任意の経路に沿って平行移動したベクトルのすべてが、移動後に一致します。つまり、曲がっていない二次元ユークリッド空間(平面)の場合、平行移動するベクトルが、測地線(直線)の連なりを経由して移動しようと、任意の曲線(測地線では無い)を経由して移動しようと、そういった経路の違いに拘わらず移動後のベクトルはすべて一致します。
 
 ところが曲がった曲面(二次元リーマン空間)では、同一終点に移動したベクトルは平行移動する経路(それが測地線であるかどうかに関係無く)により異なると言うことです。
 多くの解説書では、曲がった曲面として球面を考え、その上の経線赤道を利用した二経路を用いて平行移動後のベクトルが異なることを説明しています。そのように経線と赤道を用いるのは、それが測地線だからです。測地線に沿っての“平行移動”は、測地線とベクトルのなす角が一定であることで簡単に実現できるからです。

補足説明2
 別稿「基底ベクトル・双対基底ベクトルと反変成分・共変成分(計量テンソル・クリストッフェル記号・共変微分とは何か)」4.(4)では、基底ベクトルがリーマン空間の中を移動したとき、“基底ベクトルの変化量を表す係数”として、クリストッフェル記号が導入された。
 一方ここでは、リーマン空間の中で1つのベクトルを“平行移動したとき、そのベクトルが同じになるために必要な“変分ベクトルCを表す係数”として導入された。
 クリストッフェル記号の導入法は全く異なりますが、両者は同じものであることがやがて解ります。
 
 ここでは、ベクトルの“反変”成分ではなくて、“共変”成分を用いてクリストッフェル記号が定義されていることに注意して下さい。その様にしたのは、上記別稿のやり方での定義したクリストッフェル記号と一致させるためです。
 そのことは3.“反変ベクトル平行移動”や、5.(1)“反変ベクトルの平行移動によるクリストッフェル記号の定義”をご覧頂いた後に、上記別稿でのクリストッフェル記号の計量テンソル表現と比較してみられれば了解して頂けます。

 

HOME 平行移動)()()()() 2.クリストッフェル記号(1)()()() 3.反変ベクトル平行移動 4.共変微分)()()()() 5.曲率テンソル)()() 5.曲率テンソル)()() 6.文献

2.クリストッフェル記号(接続係数)

)曲線座標間の座標変換とテイラーの定理






 これは、“クリストッフェル記号”の座標変換式の導出2.(2)で用いる重要な式です。

 

HOME 平行移動)()()()() 2.クリストッフェル記号)(2)()() 3.反変ベクトル平行移動 4.共変微分)()()()() 5.曲率テンソル)()() 5.曲率テンソル)()() 6.文献

(2)クリストッフェル記号の座標変換公式

補足説明1
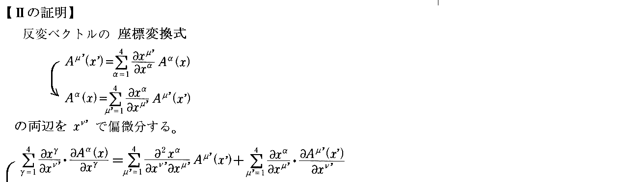
 以下では反変ベクトルではなく、共変ベクトルの座標変換則から出発する。共変ベクトルを用いるのは、本稿1.(5)におけるクリストッフェル記号の定義共変ベクトルでなされているからです。このことについては1.(5)[補足説明2]もご覧下さい。
 
 共変ベクトルの座標変換は反変ベクトルの座標変換の逆変換の変換係数で変換される事を思い出して下さい。このことは別稿「基底ベクトル・双対基底ベクトルと反変成分・共変成分(計量テンソル・クリストッフェル記号・共変微分とは何か)」3.(1)〜(3)を復習されたし。ただし、そこの座標変換係数を表す文字Aと、本稿でのベクトル成分を表す文字Aを混同しないで下さい。


補足説明2
 以下の(D)、(E)式が成り立つことは、別稿「基底ベクトル・双対基底ベクトルと反変成分・共変成分(計量テンソル・クリストッフェル記号・共変微分とは何か)」3.(1)〜(3)を参照して下さい。






 この変換式は、《Γλμνが添字μとνの入れ替えに対して対称(Γλμν=Γλνμ)であることの証明2.(3)に用いる。



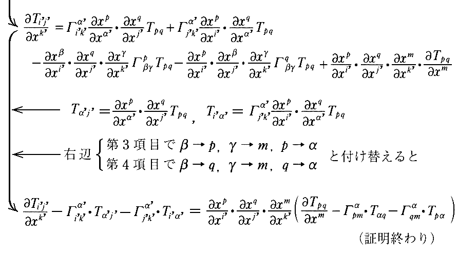
 これは、《ベクトルやテンソルを共変微分したものは共変階数が1つ増えたテンソルとなることの証明4.(2)4.(4)で用いる。また、次節の《クリストッフェル記号の下付添字の入れ替えに対して対称であることの証明》に用いる。

補足説明3]
 ここでは、“平行移動”を表現する為の係数として“クリストッフェル記号”を導入し、その“平行移動”のときに成り立たねばならない性質から、クリストッフェル記号の“座標変換公式”が導かれた。つまり、ここまでの話には、“クリストッフェル記号”(接続係数)とリーマン空間の“基本計量テンソル”との関係はどこにも用いられていません。
 すなわち、平行移動の概念だけから“クリストッフェル記号”(接続係数)を導入し、平行移動の概念だけから“クリストッフェル記号”の座標変換則が導かれたのです。
 
 この座標変換公式は、平行移動を用いない違ったやり方で求めることもできます。別稿「微分幾何学3(曲面幾何学)」3.(3)1.や、別稿「テンソル解析学(絶対微分学)」6.(2)5.などを参照されたし。そこでは、別なやり方でクリストッフェル記号を定義し、それと基本計量テンソルとの関係式を導いてから、その関係式中の基本計量テンソルに対する座標変換公式を利用してクリストッフェル記号の座標変換公式を求めています。

 

HOME 平行移動)()()()() 2.クリストッフェル記号)()(3)() 3.反変ベクトル平行移動 4.共変微分)()()()() 5.曲率テンソル)()() 5.曲率テンソル)()() 6.文献

(3)クリストッフェル記号の対称性


例えば、別稿「時空の曲がりと測地線(測地線方程式とは何か)」2.(6) など参照。

例えば、内山龍雄「相対性理論」第X章“一般相対性理論”など参照。



















 ここで証明した、“クリストッフェル記号 Γλμνは添字μとνの入れ替えに対して対称(Γλμν=Γλνμ)である”は、次節でクリストッフェル記号と基本計量テンソルの関係式を導くときに用います。

補足説明
 普通は、この稿とは逆の手続きを取ります。別稿「基底ベクトル・双対基底ベクトルと反変成分・共変成分」4.(4)1.の様な方法でクリストッフェル記号Γijを導入して、基本計量テンソルgij、gijとの関係

を導きます。
 そして、その関係式の右辺の計量テンソルgijが添字 i と j の入れ替えに関して対称ですから、クリストッフェル記号も下の二つの添字 i と j の入れ替えに関して対称

であると証明します。
 しかし、本稿では、全く別なやり方でクリストッフェル記号を導入していますので、計量テンソルとの関係式を導くときにクリストッフェル記号の対称性が必要となる。そのためあらかじめ証明されています。

 

HOME 平行移動)()()()() 2.クリストッフェル記号)()()(4) 3.反変ベクトル平行移動 4.共変微分)()()()() 5.曲率テンソル)()() 5.曲率テンソル)()() 6.文献

(4)クリストッフェル記号と基本計量テンソルの関係 (平行移動の方法による導出)

補足説明1
 ここで、“クリストッフェル記号”“リーマン空間”“基本計量テンソル”gijijとの関係を求めます。
 ここで基本計量テンソルがいきなり出てきますが(最初の[補足説明]で説明したように)、ベクトルの反変成分共変成分及びその間を取り持つ基本計量テンソルの定義とその性質に関しては、別稿「基底ベクトル・双対基底ベクトルと反変成分・共変成分(計量テンソル・クリストッフェル記号・共変微分とは何か)」1.〜3.章の説明がそのまま成り立ちます。そのため、そこの結論を引用して以下の議論を進めます。

補足説明2
 ここで共変成分の平行移動式を用いているのは、もともと1.(5)で導入した“クリストッフェル記号”Γλμνの定義式は共変成分の平行移動”で定義したからです。
 何故共変成分で定義したのかと言いますと、別稿「基底ベクトル・双対基底ベクトルと反変成分・共変成分(計量テンソル・クリストッフェル記号・共変微分とは何か)」4.(4)で説明している
“基底ベクトルの変化の様子”から定義したクリストッフェル記号Γλμνと一致させるためです。
このことは第3章をご覧になれば納得して頂けます。

補足説明3
 次で初めてリーマン空間の各点に於ける“基本計量テンソル”gμνとgμνが登場します。その意味は別稿「基底ベクトル・双対基底ベクトルと反変成分・共変成分(計量テンソル・クリストッフェル記号・共変微分とは何か)」2.(4)〜(6)で説明しています。
 最初[補足説明]で注意した様に、上記別稿の前半部1.章〜3.章は本稿でもそのまま成り立ちますので、そこの結論をそのまま利用します。
 
 “基本計量テンソル”gμνを用いた、下記(2)式が成り立つことは、別稿「基底ベクトル・双対基底ベクトルと反変成分・共変成分(計量テンソル・クリストッフェル記号・共変微分とは何か)」2.(5)を復習して下さい。
 そこで示したように、在る点のベクトルの長さの2乗はその点でのベクトルの共変成分の内積で表されるのでした。もちろんここでいう内積とはその点での基本計量テンソルを間に挟んで縮約する操作を含みます。 













 上式リーマン幾何学で最も重要な関係式です。また、ここで導いた(5)、(6)式基本計量テンソルが満たす重要な関係式で“リッチの補助定理”といい、《計量テンソルの重要な性質の導出4.(5)で用います。これらの関係式は、いずれも“平行移動の方法”を用いて導かれたことに注意して下さい。 

補足説明4
 上記関係式は、別稿「基底ベクトル・双対基底ベクトルと反変成分・共変成分(計量テンソル・クリストッフェル記号・共変微分とは何か)」4.(4)1.や、別稿「テンソル解析学(絶対微分学)」6.(2)でも説明していますが、ここと異なる方法で基底ベクトルの変化の定義式から導かれています。

 

HOME 平行移動)()()()() 2.クリストッフェル記号)()()() 3.反変ベクトル平行移動 4.共変微分)()()()() 5.曲率テンソル)()() 6.文献

3.反変ベクトルの平行移動

補足説明1
 ここで、以下の関係式を用いる。

 これらはリーマン空間の基本計量テンソルを乗じて縮約することで、“共変成分”“反変成分”に変換できる事を示している。詳細は別稿「基底ベクトル・双対基底ベクトルと反変成分・共変成分(計量テンソル・クリストッフェル記号・共変微分とは何か)」2.(4)を参照して下さい。







 ここのやり方は、別稿「基底ベクトル・双対基底ベクトルと反変成分・共変成分(計量テンソル・クリストッフェル記号・共変微分とは何か)」4.(4)4.で用いた考え方と同じです。
 そこでは“基底ベクトル”の係数から“双対基底ベクトル”に対する係数を求めたのですが、ここでは“共変ベクトル”の係数から“反変ベクトル”に対する係数を求めた。

補足説明2
 この章の結論をご覧頂ければ、1.(5)[補足説明2]で注意したこと、すなわちクリストッフェル記号の定義に、反変ベクトルではなくて、共変ベクトルを用いた理由がお解りになったと思います。共変ベクトルを用いたのは、それ以前(1869年)にクリストッフェルによって定義されていたクリストッフェル記号の意味と同じになるようにするためです。
 
 つまり、元々のクリストッフェル記号は基底ベクトルの変化を表す係数”として導入されたのですが、本稿で説明してきたように、“平行移動した共変ベクトルにもどすための変分ベクトルを表す係数”と同じなのです。
 
 これは1916年にレヴィ=チヴィタが気づいたことで、これは“リーマン空間”の性質を論じるための新しい見方を提供した。!!

補足説明3
 クリストッフェル記号(接続係数)Γ平行移動への関わり方が、共変ベクトルの場合と反変ベクトルの場合でなぜ異なるのかは解りにくい所です。
 別稿「基底ベクトル・双対基底ベクトルと反変成分・共変成分(計量テンソル・クリストッフェル記号・共変微分とは何か)」4.(4)1.では基底ベクトルの変化の様子からクリストッフェル記号(接続係数)が導入されているのですが、その場合の双対基底ベクトルでの定義式4.(4)4.との違いを、ここの(1)式(2)式の違いと比較検討してみて下さい。上記の違いの意味が明瞭になると思います。
 補足すると、反変ベクトルの接続係数を求めるためにここで用いた巧妙な方法は、別稿「基底ベクトル双対基底ベクトルと反変成分・共変成分」4.(4)4.で用いた基底ベクトルと双対基底ベクトルの内積を偏微分して導く方法と類似です。また、別稿「平川文献4.“Riemann幾何学”」(5)の(4・27)〜(4・28)式の説明も参照されたし。
 さらに補足すると、反変ベクトルの接続係数を直接求めることもできます。その事を5.(1)“反変ベクトルの平行移動によるクリストッフェル記号の定義”で説明していますので御覧下さい。
 
 さらに、(1)式(2)式の違いにつきましては別稿「テンソル解析学(絶対微分学)」6.(4)1.[補足説明]もご覧下さい。

 

HOME 平行移動)()()()() 2.クリストッフェル記号)()()() 3.反変ベクトル平行移動 4.共変微分(1)()()()() 5.曲率テンソル)()() 6.文献

4.共変微分

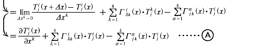
)ベクトルの共変微分係数

.ユークリッド空間での微分係数


 

.共変ベクトルの共変微分係数


補足説明1
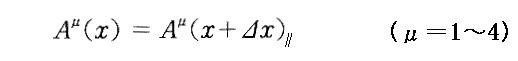
 上記の(x+Δx)は、1.(2)〜(3)で出てきたベクトルAに対するベクトルBの成分では在りません。ここのベクトル成分A(x+Δx)はリーマン空間内に分布している任意のベクトル場A(場所と共に変化)の場所 x+Δx における成分値を意味します。
 1.(2)〜(3)で出てきたBi≡A(x+Δx)は、場所 x におけるベクトルAと同じ成分Aを x+Δx の位置で持つベクトルの事でした。ここの成分A(x+Δx)はそこのベクトルBの成分とは関係ありません。



共変微分係数”の表現方法については別稿「テンソル解析(絶対微分学」6.(3)1.[補足説明]を参照されたし。

補足説明2
 上記の共変微分係数(x)がもし 0 ならば、(x+Δx)(x+Δx) に等しいことを意味する。つまり、 (x+Δx) に於けるベクトル(x)x+Δ に平行移動したベクトルだと言うことです。
 最初の1.(5)[補足説明1]“本稿の“平行移動”の定義は解りやすいのですが、かなり曖昧です。”と言った不完全さが、ここに至って解消されました。つまり「リーマン空間に於ける平行移動はここで言う共変微分係数が 0 となる様なものを平行移動と言うことにする。」とすれば良いのです。
 すなわち、“リーマン空間に於ける“平行移動”とは共変微分係数が0となる様に移動すること。”です。
 
 
 ただし、ここに至っても“クリストッフェル記号”そのものの定義の曖昧さは解消されていません。おそらくクリストッフェル記号の厳密な定義は今日用いられている新しい定義によるしか無いと思います。
 それは別稿「基底ベクトル・双対基底ベクトルと反変成分・共変成分(計量テンソル・クリストッフェル記号・共変微分とは何か)」4.(4)1.で定義されている方法です。
 この定義なら厳密です。それは別稿4.(2)[補足説明2]で述べた様にアインシュタインが最初に心に描いていた方法です。すなわち現実のリーマン空間の中を物指し棒を持って上下左右に移動して、網目格子を伸ばしていくのです。そうすれば歪んだ空間であるリーマン空間の場合には、そのうち立法格子状の網目を構成してゆくことはできなくなり立方格子が歪んできます。そうなればその歪んだ格子と元の隣の格子の稜を比較することにより、実際のクリットッフェル記号を測定して決めてゆくことができるでしょう。
 
 そのとき、別稿2.(6)[補足説明1]で説明した a)の立場b)の立場 の違いに注意して下さい。現実に物指し棒を持って重力によって歪んだリーマン空間の中を移動していく観測者にとって自分の持っている物指し棒が重力場の為に縮んていることなどけっして認知することはできないのですから。縮んでいることを認知できなくても、その測定棒(物指し棒)を持って重力場の中を動き回る事によって各点に於けるクリストッフェル記号は観測者が持っている測定棒によって測定して決めて行けます。それが b)の立場 による説明です。
 もちろん別稿4.(4)2.[補足説明2]で説明したように現実にそれを実行するのは難しい。そのため a)の立場 によって説明される現象を測定するわけです。

 

.反変ベクトルの共変微分係数



 

.補足

補足説明1

上記の表現については別稿「テンソル解析学(絶対微分学)」6.(4)1.[補足説明]もご覧下さい。
 ここでは“平行移動”の概念を仲介にして共変微分が導入されていることに注意して下さい。
 
 “基底ベクトル”の変化を仲介にして共変微分を導入した別稿「基底ベクトル・双対基底ベクトルと反変成分・共変成分(計量テンソル・クリストッフェル記号・共変微分とは何か)」4.(5)34.(5)5.とは導入方法が異なりますが、平行移動の概念を仲介にしても同様な結論が得られるということです。

補足説明2

 

HOME 平行移動)()()()() 2.クリストッフェル記号)()()() 3.反変ベクトル平行移動 4.共変微分)(2)()()() 5.曲率テンソル)()() 6.文献

(2)ベクトルの共変微分係数の座標変換則







補足説明
 ここで用いられている共変微分係数がテンソルとなることの証明方法は、別稿「微分幾何学(曲面幾何学)」3.(3)などで用いた方法と同じです。

 

HOME 平行移動)()()()() 2.クリストッフェル記号)()()() 3.反変ベクトル平行移動 4.共変微分)()(3)()() 5.曲率テンソル)()() 6.文献

(3)テンソルの共変微分係数












 

HOME 平行移動)()()()() 2.クリストッフェル記号)()()() 3.反変ベクトル平行移動 4.共変微分)()()(4)() 5.曲率テンソル)()() 6.文献

(4)テンソルの共変微分係数の座標変換則




 

HOME 平行移動)()()()() 2.クリストッフェル記号)()()() 3.反変ベクトル平行移動 4.共変微分)()()()(5) 5.曲率テンソル)()() 6.文献

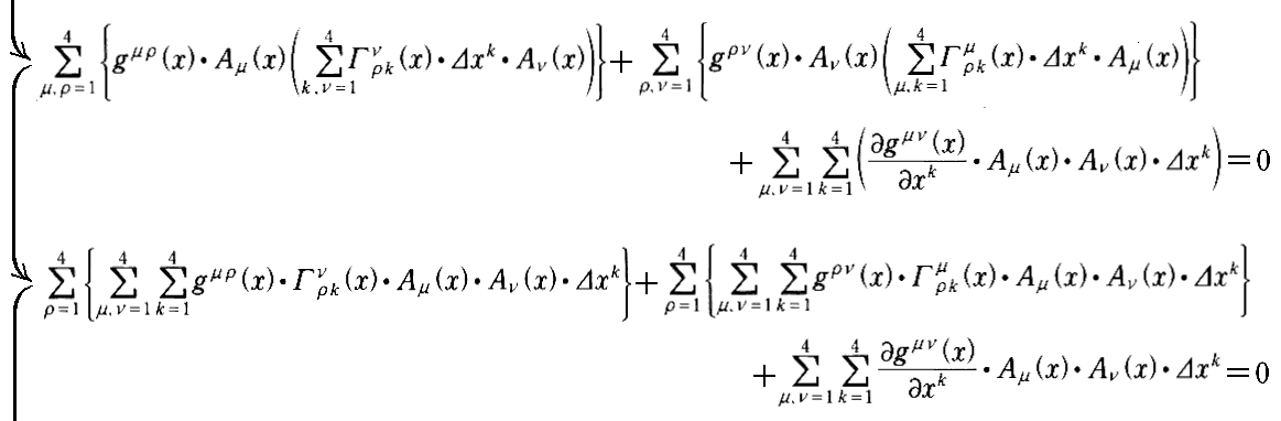
(5)計量テンソルの共変微分はゼロ



 

HOME 平行移動)()()()() 2.クリストッフェル記号)()()() 3.反変ベクトル平行移動 4.共変微分)()()()() 5.曲率テンソル(1)()() 6.文献

5.曲率テンソル

 文献1.には平行移動による曲率テンソルの導入の説明が無いので、文献4.砂川重信著「相対性理論の考え方」岩波書店(1993年刊)8.3“曲率テンソル”のp113114115116から引用して補足する。

)反変ベクトルの平行移動によるクリストッフェル記号の定義

 最初に、曲線座標系における平行移動の概念を復習する。そのとき反変ベクトルに付いての“接続係数”の導入も同時に行う。

 上左図の様にユークリッド空間内の直線上でベクトルA(x)をx点からx+Δx点まで平行移動させたときを考える。その4個の成分の大きさは等しいすなわち

である。ここでAμ(x+Δx)はAμ(x)をΔxμだけ平行移動させたときのベクトルの成分である。このとき、Aμが反変ベクトルならば移動したAμも反変ベクトルとして変換する。
 しかし、上右図のように反変ベクトルAμ(x)をリーマン空間の曲線座標にそって平行移動したときには、図から明らかな様に、その成分の大きさは変化し、その変化量はΔxμとAμ(x)に比例する。そこでその成分を

と表す。以下同じ指数表示が上下で二度現れるものに関しては“アインシュタインの規約”に従って和を取るものと考えて下さい。右辺の係数Xμνλ“接続係数”という。ここで文字“Γ”を使わないのは、反変ベクトルに関しての定義だから共変ベクとの場合と区別してのことです。このことは1.(5)[補足説明2]を復習されたし。もちろん“接続係数”μνλはリーマン空間の場所ごとで変化する係数です。また、すでに説明したが“接続係数”はテンソルではありません。
 いずれにしてもこの場合もAμ(x+Δx)が(x+Δx)点において反変ベクトルとして変換するものとしています。すなわち

で座標変換されるものとする。
 ユークリッド空間での平行移動ではベクトルの長さは変わらないのでした。リーマン空間における平行移動でもその長さは当然不変であるとできる。すなわち

が成り立つものとする。この式の由来は共変ベクトルAμ(x)の場合に説明したのと同じです。2.(4)[補足説明3]を復習されたし。
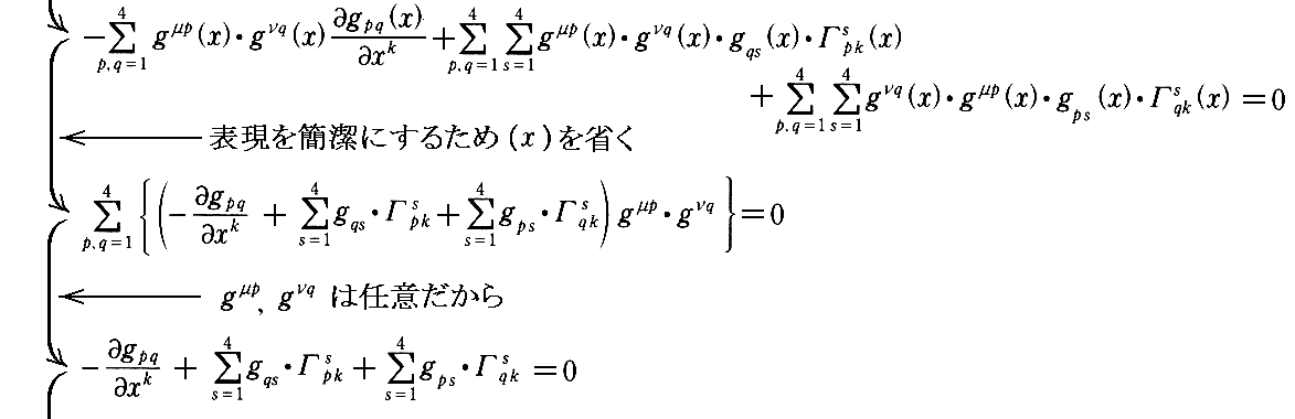
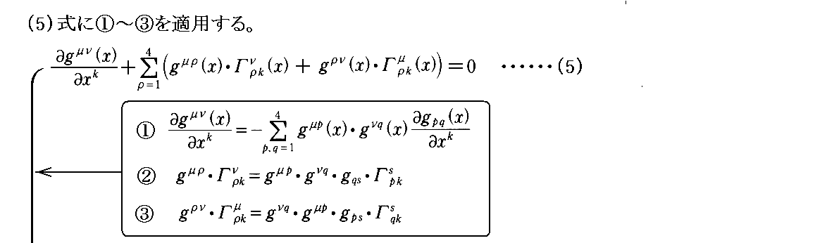
 上記の《Aμ(x+Δx)の座標変換則》と、《Aμ(x)の長さの不変性の要求》の2つの要請に)って“接続係数”μνλを決定することができる。すなわち

となる。この式の導出計算は結構面倒です。2.(4)で説明した共変ベクトルの場合と同様ですから、詳細な式変形についてはそこを参照して下さい。
 ここでμ、ν、λをサイクリックに変えると

が得られる。
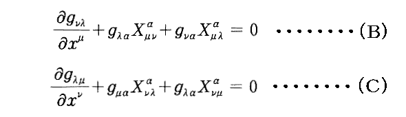
 ここで、Xμν=Xνμと仮定する。つまり下付の二つの添字の入れ替えに関して対称であるとする。この対称性は、等価原理により局所ローレンツ系を取ることで証明できるが、この対称性Xμν=Xνμを仮定して得られた結果がこの対称性を満たしていることを確かめても良い。実際最終的に得られた結果のgμν=gνμの対称性から接続係数Xμνの対称性が満たされていることが確認できる。
 (B)+(C)−(A)をつくると、上述の対称性(Xμν=Xνμ)のおかげで

を得る。ここも2.(4)で説明した共変ベクトルの場合と同様な手順です
 そこでgρλを乗じてgρλλa=δρであることを考慮し、その結果を共変ベクトルを用いて定義した“接続係数”の表現式(これは2.(4)で求めたもの)

と比較すると

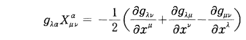
となり、“接続係数”μνλを計量テンソルgρλ、gλaで表す事ができた。こうなることは別稿「基底ベクトル・双対基底ベクトルと反変成分・共変成分」4.(4)4.、 別稿「平川文献4.“Riemann幾何学”」(5)の(4・27)〜(4・28)式 も参照されたし。
 こうしてリーマン空間では、平行移動された反変ベクトルは

で与えられる。
 この当たりは3.“反変ベクトルの平行移動”ですでに説明したことですが、大事な所なので別な見方の説明として引用しています。 

 

HOME 平行移動)()()()() 2.クリストッフェル記号)()()() 3.反変ベクトル平行移動 4.共変微分)()()()() 5.曲率テンソル)(2)() 6.文献

(2)曲率テンソル

 平行移動による反変ベクトルの成分の変化が求まったので、この結果を用いて4次元リーマン時空の曲がり具合を与える“曲率テンソル”を導入する。
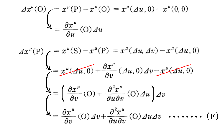
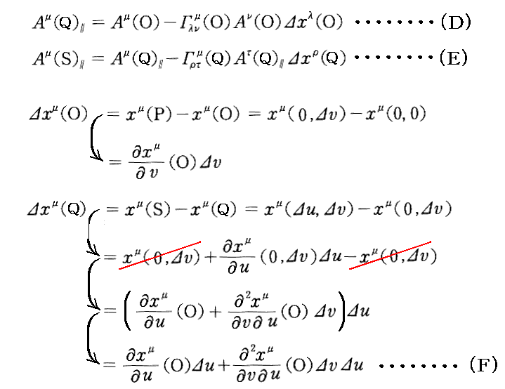
 まず、4次元時空内の2次元の曲面を考える。時空内の世界線は適当なパラメーターuを用いてxμ=xμ(u)と表す事ができる。そこでもう一つ別のパラメーターvを導入してxμ=xμ(u,v)とすれば、vを固定してuを変えれば1本のせかいせんができ、逆にuを固定してvを変えれば別の世界線が得られる。両方を変えれば、4次元時空内に網目状の曲線郡が得られる。そこでこの曲線郡によってつくられる曲面上に微小面を取って、その周囲に沿ってベクトルAを平行移動させる。

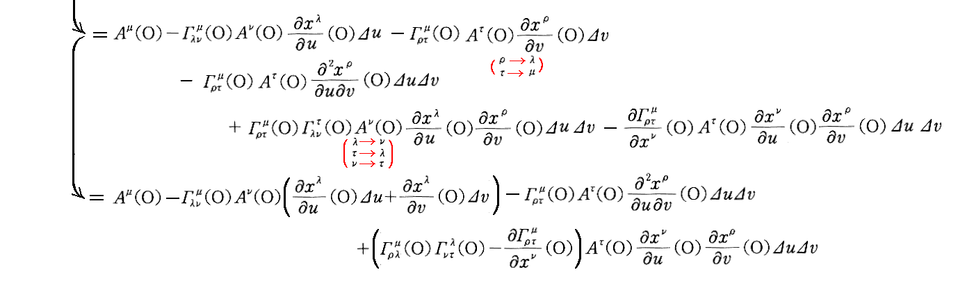
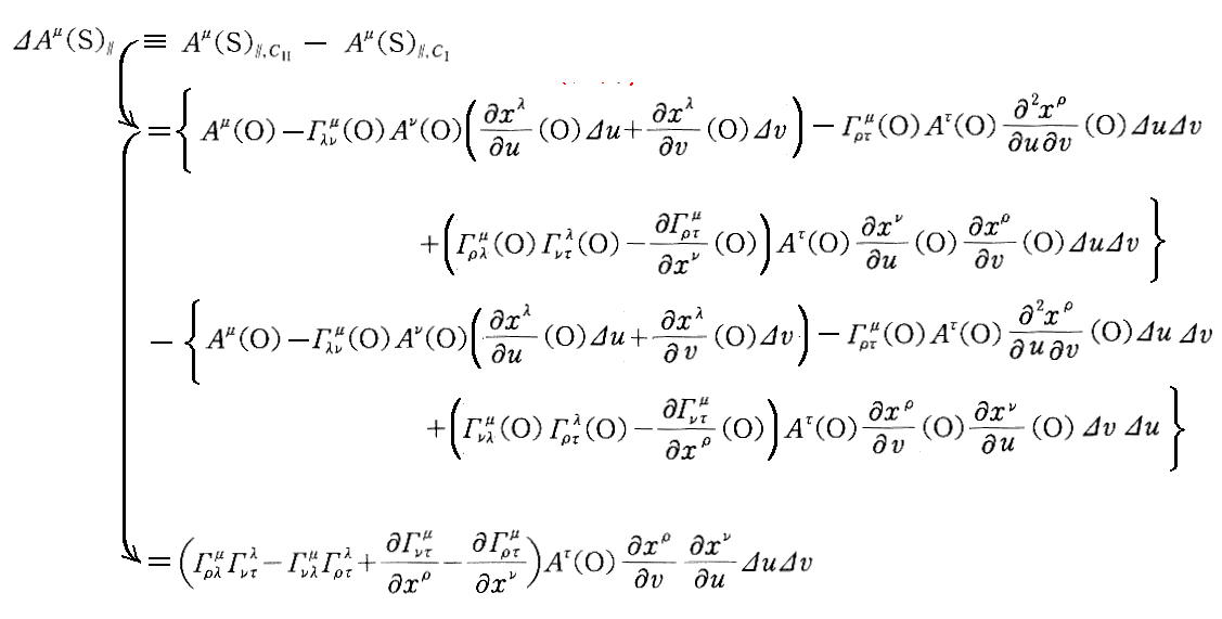
 図のO→P→Sの経路をCT、O→Q→Sの経路をCUとする。まずO点の反変ベクトルAμ(O)を経路CTに沿って平行移動する。すると前節の結論を用いて

となる。ここで

である。
 (D)(F)(E)に代入し、高次の項を省略すると [拡大版



が得られる。
 ここでuとvを入れ替えればO→Q→S経路CUを通って平行移動したAμ(S)Uが得られる。つまり、上式のuとvを入れ替えるだけなのですが、上記の手順はかなり込み入っていますので、O→Q→S経路の場合も最初から計算してその事を確かめておきます。

を用いて同様な計算をする。 [拡大版



が得られる。
 そこで、Aμ(S)UとAμ(S)Tの差を求めると右辺の第2項と第3項とはuとvに関して対称であるために相殺し、第4項からの寄与だけが残って

となる。
 ここで、

と置くと、二種類の経路で平行移動したときの反変ベクトルの差は

で与えられる。

 “リーマン・クリストッフェルの曲率テンソル”μτρνを構成する Γ は g とその微係数∂g/∂x を含むから、R は g、∂g/∂x、∂2g/∂x2の関数です。∂g/∂xはgの勾配を表し、∂2g/∂x2は関数g(x)の曲がり具合を表す。したがって、“g” の曲率に関係する量です
 Rμτρνの成分の数は4×4×4×4=256個であるが、様々な対称性のために、独立な成分は20個しかない(このことは別稿「対称テンソルと反対称テンソルの独立成分の数」3.を参照)。
 またΓはテンソルとしての変換はしないが、Rμτρν4階(1,3)型混合テンソルとしての変換をする。なぜなら、先ほどの式の左辺のΔμは4元反変ベクトルであり、右辺のAτと(∂xρ/∂v)Δv=Δρおよび(∂xν/∂u)Δu=Δνも4反変元ベクトルだからです(“テンソルの商法則”により)。
 そして大事なことは次の事です。“Rμτρνの20個の独立な成分のすべてが0ならばΔμ=0となり、時空は平坦です。また、逆に時空が平坦なときにはRμτρν=0となる”

 ここの説明は 別稿平川浩正「相対論」4.(8)、 別稿矢野「テンソル解析学(絶対微分学)」6.(5)2.、 別稿「微分幾何学」3.(8)3. などと同じ内容です。
 ただし、曲率テンソルの定義に関しては様々な流儀がありますので別稿「テンソル解析学(絶対微分学)」6.(5)1.[補足説明]を参照されたし。この節で引用している砂川文献4.はそこの(A)の場合です。

 

HOME 平行移動)()()()() 2.クリストッフェル記号)()()() 3.反変ベクトル平行移動 4.共変微分)()()()() 5.曲率テンソル)()(3) 6.文献

(3)リッチテンソルとスカラー曲率

 “リーマン・クリストッフェルの曲率テンソル”のμとνを縮約すると、2階のテンソル

が得られる。これを“リッチのテンソル”(2階共変テンソル)と言う。
 これは添字τとρの入れ替えに対して対称なテンソルで、独立な成分は10個であることが証明できます(このことは別稿「微分幾何学(曲面上の幾何学)」3.(5)[問題3]を参照)。
 さらに、リッチのテンソルにgμνを乗じてμとνについての和を取って縮約して得られるスカラー

“スカラー曲率”と言う。

 

HOME 平行移動)()()()() 2.クリストッフェル記号)()()() 3.反変ベクトル平行移動 4.共変微分)()()()()  5.曲率テンソル)()() 6.文献

6.参考文献

 この稿を作るに当たって、下記文献を参考にしました。感謝!
 多田さんの本はとても解りやすかったのですが、最初の平行移動の定義が何故かしっくり理解できなかったのです。後になって 1.(5)[補足説明1]4.(1)2.[補足説明2] で説明したことが、その原因なのだどやっと解りました。

  1. 多田知記著「新版 相対性理論への数学的第一歩(共変微分の易しい説明)」プレアデス出版(2011年刊)§12〜§23
  2. Levi-Civita, Tullio, “Nozione di parallelismo in una varieta qualunque e consequente specificazione geometrica della curvatura Riemanniana”, Rend. Circ. Mat. Palermo 42: 173-204, 1917年
    “リーマン曲率の多様性とその結果としての幾何学的仕様における平行性の概念”
  3. E.B. Christoffel, “Ueber die Transformation der homogenen Differentialausdru¨cke zweiten Grades”,
     Journal fu¨r die reine und angewandte Mathematik 70: p46〜70, 1869年
    “2次微分形式の変換について”
  4. 砂川重信著「相対性理論の考え方」岩波書店(1993年刊)
     この中の8.3“曲率テンソル”のp113114115116を引用。
HOME 1.平行移動)()()()() 2.クリストッフェル記号)()()() 3.反変ベクトル平行移動 4.共変微分)()()()() 5.曲率テンソル)()() 6.文献