HOME  .座標回転 (1)回転公式 (2)直交座標と極座標   2.球面三角法 (1)公式 (2)証明1 (3)証明2  3.参考文献

 このページを印刷される方はこちらのバージョンをご利用下さい。ブラウザーでは見にくいのですが印刷は鮮明です。

座標回転公式と球面三角法

 天球上の天体の位置を議論する位置天文学は、あらゆる天文学分野の基礎です。位置天文学の最も重要なツールが座標回転公式球面三角法です。高等学校では習いませんが、知っておくと便利なのでここで説明します。

1.座標回転公式

)座標軸の周りの回転

 下図の様に球面上の点Pを、右手系3次元直交座標系(x,y,z)座標系で表す。

 上図の(x,y,z)座標系をx軸の周りに角度θだけ回転させた座標系を(X,Y,Z)とする。その際、右手系の場合反時計周りに正とする。そうすると点Pの(X,Y,Z)の値は(x,y,z)とθを用いると以下のように表される。

同様に、y軸とz軸の周りの回転については

と表される。

 この3つの回転行列を用いれば任意の回転で得られる新座標系(X,Y,Z)の座標値を旧座標系(x,y,z)の座標値で表すことが出来る。今新しい座標系(X,Y,Z)が旧座標系(x,y,z)をx軸の周りに角度αだけ回転させて(x,Y’,Z’)とし、それをさらにY’軸の周りに角度βだけ回転させて(X’,Y’,Z)とする。そしてさらにZ軸の周りに角度γだけ回転させることによって(X,Y,Z)に一致させることが出来るとすると新旧の座標は次式で関係づけられる。

最終的な成分計算は行列の積のルールに従って右から順に計算すればよい。

 

HOME  1.座標回転 (1)回転公式 (2)直交座標と極座標   2.球面三角法 (1)公式 (2)証明1 (3)証明2  3.参考文献

(2)直交座標と極座標

1.変換公式

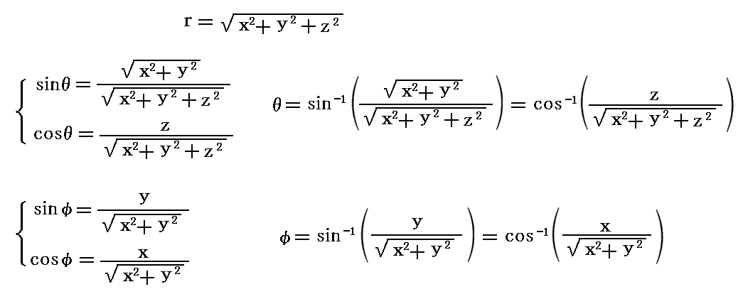
 天球上の天体Pの位置は下図の様に右手系3次元直交座標系や、極座標系で表すことができる。それぞれの成分表示を(x,y,z)と(r,α,δ)すると、図から明らかなように両者は下記の関係式で結びつけられる。

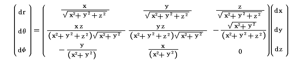
2.微少変位の変換公式

ここで、P(x,y,z)P’(x+dx,y+dy,z+dz)に変化させたときの微少変位dx,dy,dzとdr,dα,dδの間の関係を求める。

上図のx0y平面と、z0A平面を拡大して表示する。図を検討すれば下記の関係が成り立つのは明らかである。

 

.微少変位の変換公式 2

以下の状況も良く用いられる。

線素dsの表現からそれぞれの微小単位セルの計量テンソルを求めておくと

となる。

補足説明1
 微小変位の逆変換式を導くには、連立方程式

Cramerの公式によって解けば良い。そのとき係数の行列式は

となるので、各成分を計算すれば



となるので、逆変換してとして

が得られる。
 もちろん、この変換係数の行列は前出の変換係数とは“逆行列”の関係

にある。
 さらに、上記係数を

に従ってx、y,zの関数に変換しておけば変換式として完璧です。

補足説明2
 上で述べたように、逆変換の変換係数の行列は元の順方向変換の変換係数がつくる行列に対して、“逆行列”の関係になっています。
 ところで、別稿「余因子行列と逆行列の関係」1.(3)で説明したように、逆行列の成分は元の行列の“余因子行列”から構成することができます。だから、その方法を用いて逆変換の変換係数を求めても良い。

であるから、これを用いて実際に計算してみると


となり、確かに逆行列が得られる。

補足説明3
 多重積分の座標変換で必要になる体積素の変換式(ヤコビの定理)を導くと以下の様になる。



 ここで解りにくい所は、上記の
   (1)線形座標変換(線形写像)を“行列表示”できる。
   (2)“行列”の積を“行列式”の積に変換できる。
ことだと思います。
 (1)については別稿「行列式と行列」2.(6)2.を参照。
 (2)に付いては別稿「行列式と行列」2.(1)4.の定理1と、その定理証明の元になった別稿「行列式と行列」1.(6)1.の定理13を御覧下さい。

補足説明4
 このとき上式は、下図で示されている同じdsを形成するdxdydzの微小体積素片の実際の体積値とdrddθdφで構成される微小体積素片の実際の体積値との関係を示しているのではありません。

 それでは、“Jacobiqn”=|∂(x,y,z)/∂(r,θ,φ)|=r2sinθは何を表しているのかといいますと、 dx=1,dy=1,dz=1 で構成される体積素片の実際の体積値と、 dr=1,dθ=1radian,dφ=1radian で構成される体積素片の実際の体積値との比を表しています。この場合、“Jacobian”はrとθの関数ですから、この比は場所と共に変化します。
 このことの意味は非常に解りにくいのですが、このことに付いては別稿「基底ベクトル・双対基底ベクトルと反変成分・共変成分」4.(6)5.で説明していますので、そこの図を復習して下さい。
 また、別稿「重積分の変数変換とヤコビアン(リーマン空間における多重積分)」を御覧下さい。

 

HOME  1.座標回転 (1)回転公式 (2)直交座標と極座標   .球面三角法 (1)公式 (2)証明1 (3)証明2  3.参考文献

2.球面三角法の基本公式

)球面三角法の公式

 球面三角形とは3つの異なる大円で作られる三角形のことである大円とは、球を球の中心を通る平面で切ったときの切り口の円のことである。次図の様な単位球面上の球面三角形ABCで、3つの角A、B、Cと3つの辺a、b、cが定まる。これらの間に下記の関係が成り立つ。

 

HOME  1.座標回転 (1)回転公式 (2)直交座標と極座標   2.球面三角法 (1)公式 (2)証明1 (3)証明2  3.参考文献

(2)座標回転公式による証明

 1.(1)の結論を用いれば球面三角形に関する基本公式を導くことが出来る。
 まず、下図の様に座標系(x,y,z)と座標系(X,Y,Z)を取る。

 上図に於いて、座標系(x,y,z)を@z軸の周りに角度(−B)だけ回し、次にA新しいy軸の周りに角度aだけ回転する。そして最後にB新しいz軸の周りに角度(π−C)だけ回転すると座標系(X,Y,Z)が得られる。
 この座標回転で結びつけられる座標系(X,Y,Z)と座標系(x,y,z)に対して1.(1)の関係式を適応すれば

となる。
 この関係式を図中の点Aに対して適応すれば

の関係式が得られる。つまり

となる。
 ここで(3)式は余弦法則を表している。
 (1)式と(2)式から右辺第一項を消去すると

という正弦法則が得られる。
 (1)式と(2)式から右辺第二項を消去すると正弦余弦法則

が得られる。A点に関して得られたこれらの三式は、角度について(A→B→C→A)、辺について(a→b→c→a)の置き換えを順番にすることによってB点、C点に関する同様な式となる。

 

HOME  1.座標回転 (1)回転公式 (2)直交座標と極座標   2.球面三角法 (1)公式 (2)証明1 (3)証明2  3.参考文献

(3)平面三角法による証明

下図の様に球面三角形ABCにA点で接する平面三角形AB'C'を考える。角OAB'=角OAC'=π/2である。

1.余弦法則

 平面三角形AB'C'の余弦定理を利用すると

となる。
 また平面三角形OB'C'に同じく余弦定理を適用すると

となる。
 ここで(1)=(2)とすると

となる。両辺にcos2b・cos2cを乗じると

となり球面三角形の余弦法則が得られる。角Aに関して得られた(3)式は、角度について(A→B→C→A)、辺について(a→b→c→a)の置き換えを順番にすることによって角B、角Cについての式となる。

2.正弦法則

 次に、(3)式より

この両辺を二乗すると


となるが、両辺をsin2a・sin2b・sin2cで割り算すると

が得られる。残りの二つの余弦法則から同様な式

が得られる。これら三式の右辺はすべて等しいので

となるが、平方根を取ると

となる。ここでA、B、C、a、b、cはすべてπより小であるから+の符号のみを選択すればよい。そうすると正弦法則が得られる。

3.正弦余弦法則

 余弦公式(3)のcoscにさらに余弦法則を適応すれば

となり正弦余弦法則が得られる。他の法則は角度について(A→B→C→A)、辺について(a→b→c→a)の置き換えを順番にすれば得られる。

 

HOME  1.座標回転 (1)回転公式 (2)直交座標と極座標   2.球面三角法 (1)公式 (2)証明1 (3)証明2  .参考文献

3.参考文献

 ここの説明は下記の文献を参考にしています。高校生向きに出来るだけ解りやすくしました。

  1. 現代天文学講座1 若生康二郎編「地球回転」恒星社厚生閣(1979年刊)§1.1、§1.3
  2. 渡辺敏夫著「数理天文学」恒星社厚生閣(1969年刊)第二章球面三角法
HOME  1.座標回転 (1)回転公式 (2)直交座標と極座標   2.球面三角法 (1)公式 (2)証明1 (3)証明2  3.参考文献