このページを印刷される方はこちらのバージョンをご利用下さい。ブラウザーでは見にくいのですが印刷は鮮明です。
電源の一般的性質の説明です。

化学反応を用いる充電式の化学電池は出力電圧がほぼ一定で内部抵抗が小さく理想的な電圧源に近い働きをする。そのため蓄電池を短絡すると大電流が流れて電池を破壊してしまうので注意しなければならない。



以上の説明からわかるように現実の電源に於いては電圧源と電流源は同等になリ、それらの区別は意味をなさない。要するに内部抵抗が比較的小さい電源を電圧源といい、比較的大きな電源を電流源と言うだけである。
電源の内部抵抗はいかにして知るか。高校物理の生徒実験「電池の起電力と内部抵抗の測定」を例にして説明する。
現実の電池は理想的な電圧源(起電力Eとする)と内部抵抗rの直列回路で近似できる。そこで下図の様な回路を組み立てる。ここで電圧計も電流計も理想的なものとする。つまり電圧計の内部抵抗は無限大、電流計の内部抵抗はゼロと考える。

この回路で抵抗値Rを様々に変えて電圧と電流を測定する。上記(2)式のグラフを電圧を縦軸に、電流を横軸にして描くと下図のようになる。

ここで得られる直線(2)のグラフをI→0(R→∞)の極限値まで延長した点(グラフが縦軸と交わる点)の値が電池の起電力Eとなる。実際(3)式でRを大きくしてIを小さくすると電池内部抵抗における電圧降下Irが無視できるようになり、電圧計の読みV=RIがEに近づくからである。
また直線の傾きから内部抵抗rが求まる。ちなみに1.5Vの単一乾電池の内部抵抗は 0.5Ω程度、自動車用鉛蓄電池の内部抵抗は
0.01Ω程度である。ニッケル・カドミウム蓄電池の内部抵抗は特に小さく0.005Ω以下である。この様な内部抵抗が小さな電源は、ほぼ理想的な電圧源と見なせる。
電源には内部抵抗があるため、外に取り出せる電力に制約が出てくる。下図の外部抵抗Rで取り出せる電力はP=VI=I2R=V2/Rだから、電源の内部抵抗が無い場合はRが小さいほど大きくなる。しかし、実際には内部抵抗rがあるためRが小さくなると電源の起電力Eは内部抵抗rに分配され抵抗Rにかかる電圧Vが減少してPが小さくなる。そのためRを小さくしたからといって取り出せる電力が際限なく大きくなることはない。以下で述べるように取り出せる電力には限界がある。

ここで(4)式のグラフを書いてみると以下の様になる。

この様に、最大の電力を電源から取り出すために外部抵抗Rを電源の内部抵抗rに等しくすることをインピーダンス整合という。このとき取り出せる電力の最大値はPmax=E2/4r である。
ここで R=r/2 又は R=2r の場合 P=E2/(4.5r)=0.89Pmax となるので、外部抵抗Rを内部抵抗rの1/2倍から2倍まで変えても、利用できる電力は11%程度しか減少しない。ゆえに、普通はインピーダンス整合にあまり神経質になる必要はない。しかしRがrと桁違いに異なると、大小いずれにせよ取り出せる電力はかなり小さくなる。
別講「高電圧送電が有利なわけ」で説明したように、理想的なトランスでは端子にかかる電圧は巻数に比例し、流れる電流は巻数に反比例する。

下図の様に電源V1をトランスの一次側に接続すると、二次側の負荷Rにはトランスの理論により電圧 V2=V1(m/n) が作用する。そのとき負荷Rを流れる電流I2はオームの法則により I2=V2/R=(V1/R)(m/n) となる。またそのとき一次側を流れる電流I1はトランスの理論により I1=I2(m/n)=(V1/R)(m/n)2 となる。この式を変形すると V1/I1=R(n/m)2 となる。
この式は一次側から見ると、もともとRの抵抗が、その(n/m)2倍のR(n/m)2になったように見えることを意味する。つまり、間にトランスを挟み、その巻き数比を調整すれば負荷抵抗の値を自由に変換できる事になる。別講「高電圧送電が有利なわけ」で利用されていたのはこのインピーダンス変換の原理です。

今下図の様に[内部抵抗rの電源]と[負荷抵抗R]を繋いで、負荷で最大電力を取り出すためのインピーダンスマッチングをおこなうためには、巻数比 n:m のトランスを挟み r=R(n/m)2 とすればよい。これを解くと巻数比は n:m=r1/2:R1/2 にすればよい事が解る。

ただし交流の場合、コンデンサーやコイルもからんでくると位相の変化も出てきて話はもう少し複雑になる。(説明は省略)
前節のトランスの変わりにトランジスター回路を配置してインピーダンスマッチングをとることができる。別講「ダイオードとトランジスター」で述べたようにトランジスターにはインピーダンス変換機能がある。
ベース接地回路は入力側(エミッタ側)から見ると非常に低いインピーダンスの回路に見え、出力側(コレクタ側)から見ると非常に高いインピーダンスの回路に見える。だから、入力側が低インピーダンス回路で、出力側が高インピーダンス回路の場合ベース接地回路を間に挟むと、入力側と出力側のインピーダンスマッチングを取ることができる。

ベース接地回路とちょうど反対の働きをするのがコレクタ接地回路である。これは下図のようなものである。

回路の形はエミッタ接地回路と似ているが、出力端子がコレクタでなくエミッタになっており、エミッタホロワ回路とも言われる。コレクタは接地されていないではないかという疑問を持つ人がいるかもしれないが、この回路のVECはコレクタに一定電圧を与える働きだけをしている。そして本講1.(1)で述べたように理想的な定電圧源の内部抵抗はゼロだから回路的にはコレクターが接地されているのと同じである。
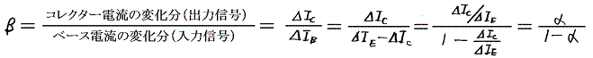
この回路の特徴は抵抗REを通して出力を取り出すところにある。エミッタ−ベース間の抵抗は本来数十Ω程度であるが、500Ω程度のREを直列にいれると入力側から見た交流抵抗(インピーダンス)はその2つの抵抗の和をβ倍したものになる。そのため入力側から見たインピーダンスは非常に大きくなる。ここでβとは別講「ダイオードとトランジスター」2.(3)で述べたエミッタ接地回路の電流増幅率の事である。また出力側から見たインピーダンスはRE程度でかなり小さい。

回路の特性から明らかなように電圧増幅率は1よりやや小さいが、電流増幅率はエミッタ接地回路と同様にきわめて大きい。 この回路は、入力側からみた交流抵抗(インピーダンス)は高く、逆に出力側から見たインピーダンスは低いので、インピーダンス変換回路としても働きインピーダンスマッチングが取れて低インピーダンスの負荷(ケーブルとかスピーカ)にも、大きな電力を供給することができる。
