このページを鮮明に印刷されたい方はこちらのバージョンをご利用下さい。
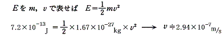
はじき出される陽子の運動エネルギーが4.5MeV=7.2×10-13Jだから、その速度は

となる。速度が光速の10分の1程度なので、以下非相対論的な計算で近似する。高校物理Uで習うように


となるが、今簡単のために正面衝突を考える。つまりcosθ=cos180°=−1、cosφ=cos0°=1とすると、

ここに1/2mv2=4.5MeV、m=1.67×10-27kg、v=2.94×107m/s、c=3.0×108m/sを代入すると
![]()
となり、入射γ線のエネルギーは50MeV程度でなければならないことが解る。
コンプトン効果の詳細は、別稿「コンプトン効果(1922年)と相対論的力学」をご覧下さい。