HOME  1.デカルト座標と極座標  2.偏微分  3.極座標表示 (1)一次偏微分 (2)角運動量 (3)ラプラシアン  END

極座標表示のラプラシアン

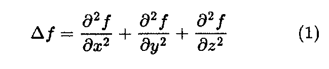
 3次元直交座標(x,y,z)で表したラプラシアンの定義は、デカルト座標 (x,y,z) で表すと

である。 この定義から始めると、 極座標で表したラプラシアンは

と成る事を証明する。
 3次元直交座標(x,y,z)は、デカルト座標 (x,y,z)とも呼ばれる。

1.デカルト座標と極座標の関係

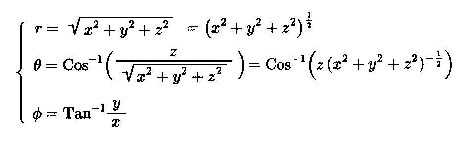
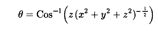
 デカルト座標と極座標の間には、

の関係があり、これより、

が成り立つ。
 このように極座標はデカルト座標の関数であるので、 極座標の関数 f は、 その極座標がデカルト座標の関数であるという合成関数である。 すなわち、

と表される合成関数である。
 したがって、 合成関数の微分の連鎖率(チェーンルール)を用いると、 f のデカルト座標による偏微分は、

と表される。 同様に、 ここで表された3つの微分もまた極座標の関数であり以下の様になる。

すなわち、その極座標がデカルト座標の関数であるという合成関数である。
 したがって、 再び合成関数の微分の連鎖率(チェーンルール)を用いると、 二階の偏微分が



と表される。 これらにより、ラプラシアン 0.(1)式 は、

と表される。

HOME  1.デカルト座標と極座標  2.偏微分  3.極座標表示 (1)一次偏微分 (2)角運動量 (3)ラプラシアン  END

2.極座標のデカルト座標による偏微分

 前記の式に含まれる極座標のデカルト座標による偏微分は、1.(3)式 から

と求められる。以下でこの関係式を導く。

(1) r の偏微分公式

 1.(4)式 より、

であるので、

であることが分かる。ただし、最後の式変形に1.(3)式を用いた。

(2) θ の偏微分公式

 1.(4)式 より、

が示されるので、

と置き、

であることを用いると、 合成関数の微分により、

であることが分かる。 途中の計算で sinθ≧0 (なぜなら 0≦θ≦π) であることを用いた。
 同様の計算により、

が得られる。

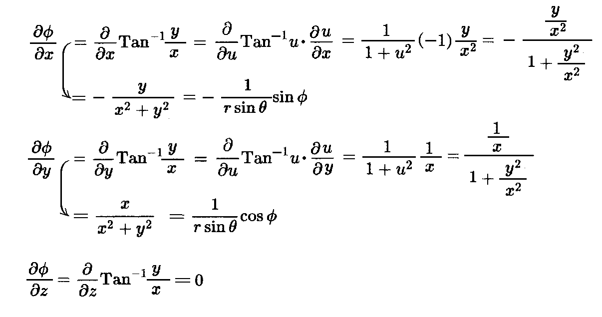
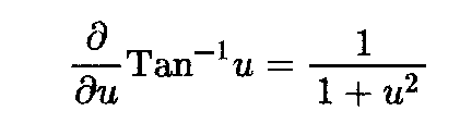
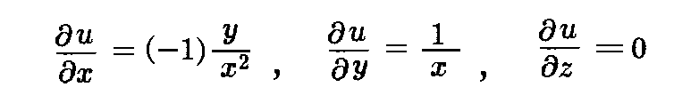
(3) φ の偏微分公式

 1.(4)式 より、

が示されるので、 y/x≡u と置くと

であり、逆三角関数の微分が

であることを用いると、

となる。

HOME  1.デカルト座標と極座標  2.偏微分  3.極座標表示 (1)一次偏微分 (2)角運動量 (3)ラプラシアン  END

3.偏微分公式の極座標表示

(1) 一次偏微分の極座標表示

 1.(5)式2.(7)式 を適用すると、 

が得られる。

HOME  1.デカルト座標と極座標  2.偏微分  3.極座標表示 (1)一次偏微分 (2)角運動量 (3)ラプラシアン  END

(2) 角運動量の極座標表示

 角運動量の定義式 (質量は単位値としている) に 2.(7)式 を適用すると、



が得られる。

HOME  1.デカルト座標と極座標  2.偏微分  3.極座標表示 (1)一次偏微分 (2)角運動量 (3)ラプラシアン  END

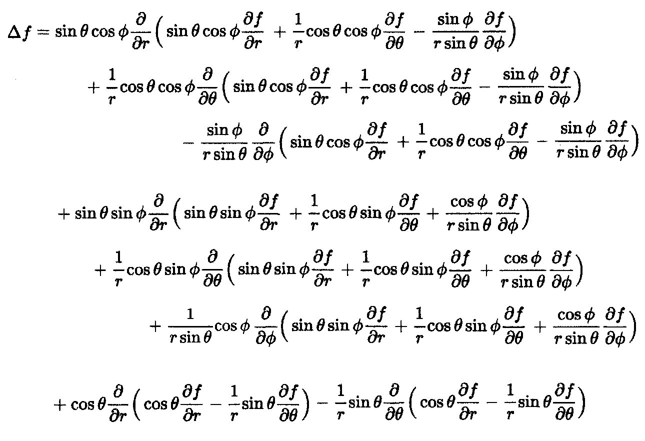
(3) ラプラシアンの極座標表示

 1.(6)式2.(7)式 を適用すると、

となる。
 式中の偏微分を実行して、式を整理すると

となる。
 更に、同種項をまとめると

となるので、最終的に下記の形に成る。

よって、極座標のラプラシアン

が得られる。

HOME  1.デカルト座標と極座標  2.偏微分  3.極座標表示 (1)一次偏微分 (2)角運動量 (3)ラプラシアン  END