確率分布関数のグラフ表示 3
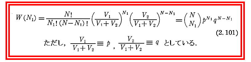
「統計力学」2.(10)[補足説明7]で導いた、総数N個 のうち N1個が箱1(体積V1)にN2個が箱2(堆積V2)に入る確率を示す “二項分布関数”

と、それが p→0、N→増大 した場合に正しい“ポアソン分布関数”

のグラフ表示の説明です。
以下では、各NとN1に対して真に正しい(2.101)式のグラフ(赤曲線で表示)と、近似的にしか正しくない(2.103)式のグラフ(青曲線で表示)を重ねて表しています。
1.N=100の場合
(1) V1=1,V2=99 (p=0.01,q=0.99)

(2) V1=2,V2=98 (p=0.02,q=0.98)

(3) V1=5,V2=95 (p=0.05,q=0.95)

(4) V1=10,V2=90 (p=0.10,q=0.90)

(5) V1=20,V2=80 (p=0.20,q=0.80)

(6) V1=40,V2=60 (p=0.40,q=0.60)

(7) V1=80,V2=20 (p=0.80,q=0.20)

(8) V1=90,V2=10 (p=0.90,q=0.10)

(9) V1=95,V2=5 (p=0.95,q=0.05)

(10) V1=98,V2=2 (p=0.98,q=0.02)

(11) V1=99,V2=1 (p=0.99,q=0.01)

2.N=1000の場合
(1) V1=1,V2=99 (p=0.01,q=0.99)

(2) V1=2,V2=98 (p=0.02,q=0.98)

(3) V1=5,V2=95 (p=0.05,q=0.95)

(4) V1=10,V2=90 (p=0.10,q=0.90)

(5) V1=20,V2=80 (p=0.20,q=0.80)

(6) V1=40,V2=60 (p=0.40,q=0.60)

(7) V1=80,V2=20 (p=0.80,q=0.20)
