HOME   熱伝導方程式(拡散方程式)とその解法   サイトマップ

積分公式1

 小平吉男著「物理数学 第2巻」岩波書店(1930年刊)復刻版は文献社(1971年刊) の第二章「固体内の熱伝導」§12.“無限の固体中に於ける一次元の熱伝導”の中の“積分公式の証明”です。
 この本には、熱伝導方程式の解法の様々な例題が載っています。





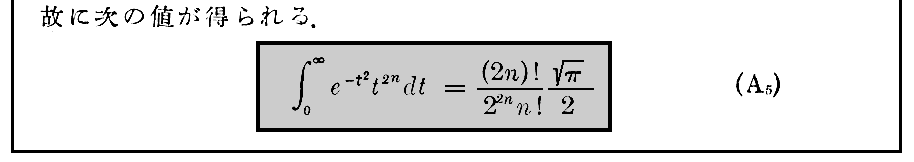
 (A4)式(A5)式は、別稿「マクスウェルの速度分布則1」2.(2)“積分公式”でも導出しています。そこと関連した補足の説明ですが、

HOME   熱伝導方程式(拡散方程式)とその解法   サイトマップ