HOME  §16.気体の重さ  §23.エネルギー等分配則   アインシュタインのブラウン運動理論   サイトマップ

江沢洋著「だれが原子をみたか」岩波書店(1976年刊)

第6章“とびまわる分子”の§22.からの引用です。


 上記のグラフの形を理解するのは結構難しいです。別稿「マクスウェルの速度分布則1」2.〜3.を参照。





234-02



236-02 以下で引用されているMaxwellの講演「Molecules」(1873年)の記録は別稿で引用しています。





 §23.“エネルギー等分配の法則”に続く。
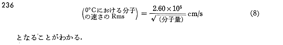
 本節の内容は別稿「マクスウェルの速度分布則1“気体の動力学的理論の説明”(1860年)」で、より詳しく説明しています。

HOME  §16.気体の重さ  §23.エネルギー等分配則   アインシュタインのブラウン運動理論   サイトマップ