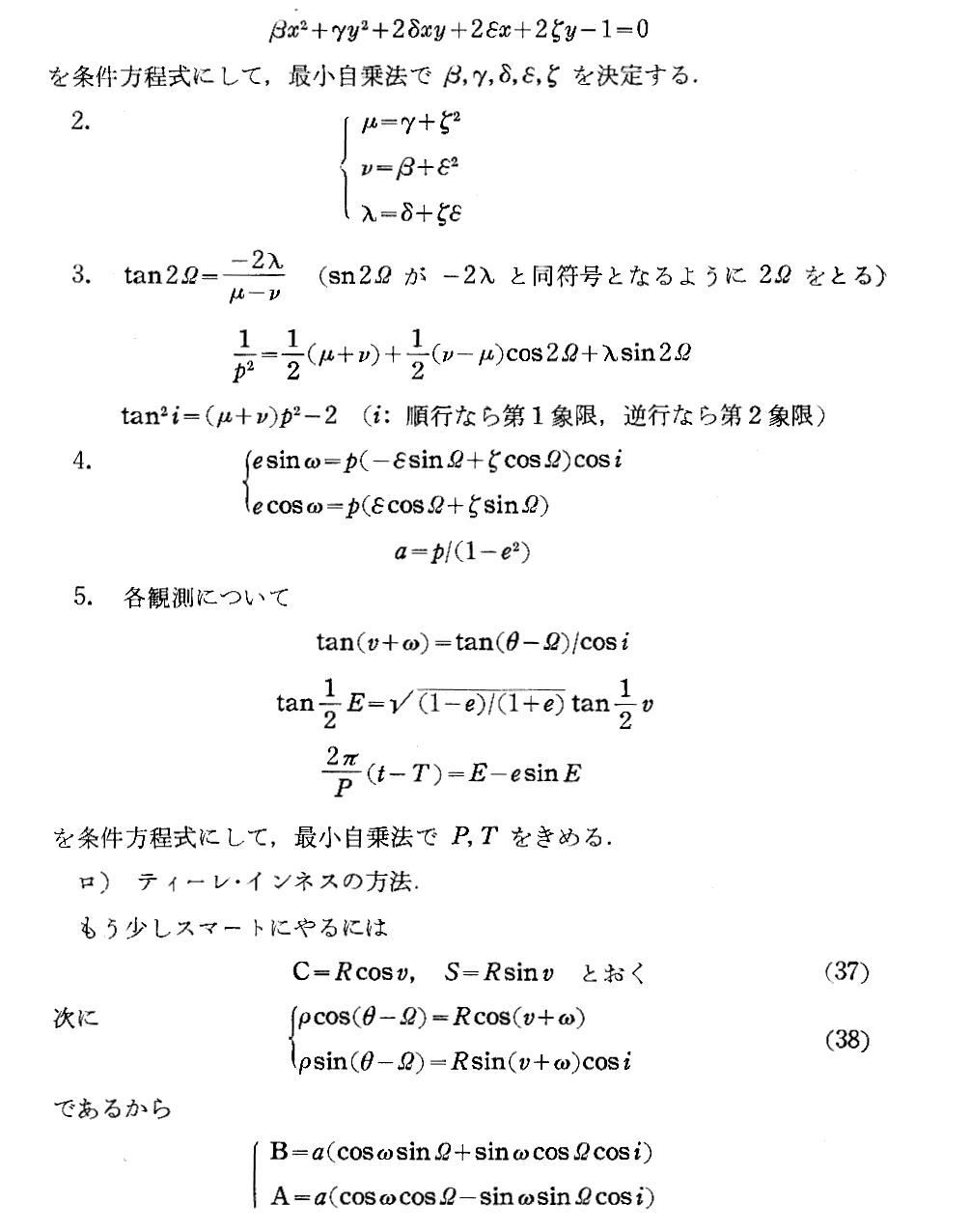
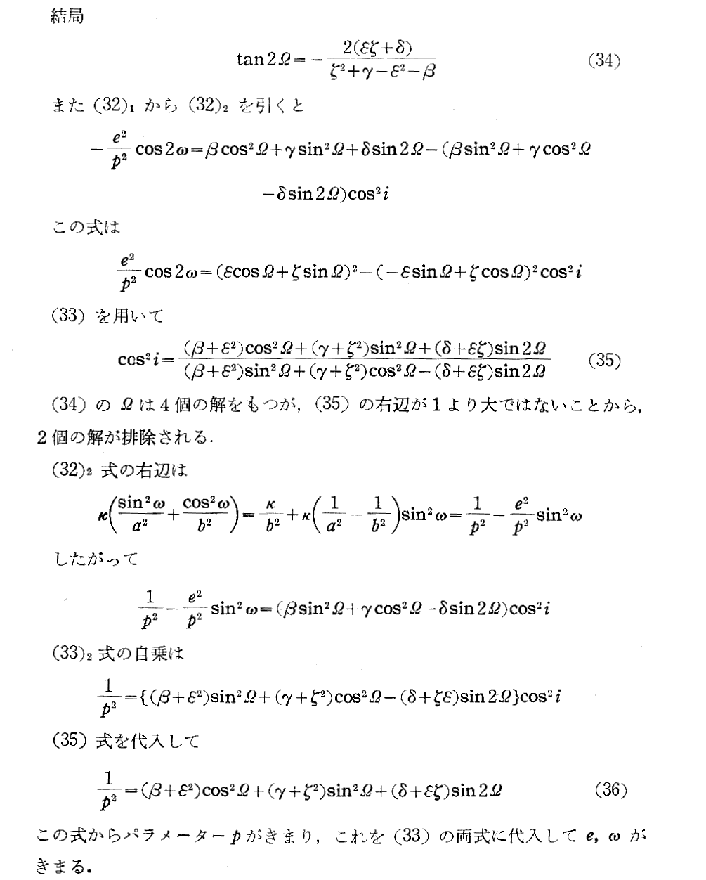
HOME  連星の軌道決定法  サイトマップ

これには、かなり誤植がありますが、そのままにしています。誤植は本文「連星の軌道決定法」では直しています。

























HOME  連星の軌道決定法  サイトマップ