HOME   指数関数の底eについて

対数関数、指数関数の導関数

1.対数関数の導関数




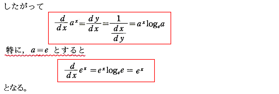
2.指数関数の導関数



3.指数関数の場合






4.対数関数の場合




HOME   指数関数の底eについて